QR Code
01-17190
Νείλος Σακελλαρίου

Άλγεβρα δια τας ανωτέρας τάξεις των Γυμνασίων
[1966, 9η Έκδοση]

Σχολικό εγχειρίδιο Μαθηματικών Γυμνασίου που παρουσιάζει τις βασικές έννοιες της Άλγεβρας, εστιάζει τις ιδιότητες των αριθμών και περιέχει ασκήσεις εξισώσεων, λογαρίθμων και παραγώγων.


TopΠΕΔΙΟ ΑΝΑΓΝΩΡΙΣΗΣ

Κωδικός αναγνώρισης: 01-17190

Τίτλος: Άλγεβρα δια τας ανωτέρας τάξεις των Γυμνασίων

Συγγραφέας: Νείλος Σακελλαρίου

Εικονογράφος: Τάσος Χατζής (εξώφυλλο)

Μέγεθος και υπόστρωμα: Σχολικό εγχειρίδιο, 20εκ., σκληρό εξώφυλλο, 358 σελίδες. Εξώφυλλο (έγχρωμο).

TopΠΕΔΙΟ ΠΕΡΙΕΧΟΜΕΝΟΥ

Βαθμίδα εκπαίδευσης: Δευτεροβάθμια

Τάξη: Γυμνάσιο

Μάθημα: Μαθηματικά

Γλώσσα: Απλή καθαρεύουσα

Παρουσίαση περιεχομένου: Σχολικό εγχειρίδιο Μαθηματικών Γυμνασίου που παρουσιάζει τις βασικές έννοιες της Άλγεβρας, εστιάζει τις ιδιότητες των αριθμών και περιέχει ασκήσεις εξισώσεων, λογαρίθμων και παραγώγων.

TopΠΕΔΙΟ ΠΛΗΡΟΦΟΡΙΩΝ ΕΚΔΟΣΗΣ

Εκδότης: Οργανισμός Εκδόσεως Διδακτικών Βιβλίων

Έτος έκδοσης: 1966

Τόπος έκδοσης: Αθήνα

Έκδοση:

Υπουργική απόφαση / Σύμβαση: 1372-1373/21-4-1966

Έτος έγκρισης: 1966

TopΠΕΔΙΟ ΠΑΡΑΤΗΡΗΣΕΩΝ

Εντοπισμός πρωτοτύπου: Ινστιτούτο Εκπαιδευτικής Πολιτικής

Κωδικός βιβλιοθήκης: 17190

TopΕΥΡΕΤΗΡΙΟ ΘΕΜΑΤΙΚΩΝ ΟΡΩΝ

Σχετιζόμενα πρόσωπα:

Σχετιζόμενοι όροι:


368 εγγραφές [161 - 180]
Σελίδα #157
Σελίδα #158
Σελίδα #159
Σελίδα #160
Σελίδα #161
Σελίδα #162
Σελίδα #163
Σελίδα #164
Σελίδα #165
Σελίδα #166
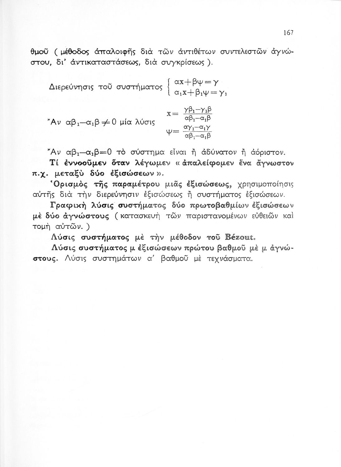
Σελίδα #167
Σελίδα #168
Σελίδα #169
Σελίδα #170
Σελίδα #171
Σελίδα #172
Σελίδα #173
Σελίδα #174
Σελίδα #175
Σελίδα #176
Σελίδα #177
Σελίδα #178
Σελίδα #179
Σελίδα #180
[Σχολικό Εγχειρίδιο]
Νείλος Σακελλαρίου, Ι. Αγγελής (επιμέλεια)
Τάξη:  Γυμνάσιο
Μάθημα:  Μαθηματικά
Σχολικό εγχειρίδιο Μαθηματικών Γυμνασίου που παρουσιάζει τις βασικές έννοιες της Άλγεβρας, εστιάζει τις ιδιότητες των αριθμών και περιέχει ασκήσεις εξισώσεων, λογαρίθμων και παραγώγων.
[Σχολικό Εγχειρίδιο]
Νείλος Σακελλαρίου
Τάξη:  Γυμνάσιο
Μάθημα:  Μαθηματικά
Σχολικό εγχειρίδιο Μαθηματικών Γυμνασίου που παρουσιάζει τις βασικές έννοιες της Άλγεβρας, εστιάζει τις ιδιότητες των αριθμών και περιέχει ασκήσεις εξισώσεων, λογαρίθμων και παραγώγων.
[Σχολικό Εγχειρίδιο]
Χρίστος Α. Μπαρμπαστάθης
Τάξη:  Γυμνάσιο
Μάθημα:  Μαθηματικά
Σχολικό εγχειρίδιο Άλγεβρας Γυμνασίου που εστιάζει στις αλγεβρικές πράξεις και παραστάσεις και είναι χωρισμένο σε θεωρία και ασκήσεις.
[Σχολικό Εγχειρίδιο]
Νείλος Σακελλαρίου, Δ. Κάρτσωνας (επιμέλεια)
Τάξη:  Γυμνάσιο
Μάθημα:  Μαθηματικά
Σχολικό εγχειρίδιο Μαθηματικών Γυμνασίου που παρουσιάζει τις βασικές έννοιες της Άλγεβρας, εστιάζει τις ιδιότητες των αριθμών και περιέχει ασκήσεις εξισώσεων, λογαρίθμων και παραγώγων.
[Σχολικό Εγχειρίδιο]
Νείλος Σακελλαρίου, Δ. Κλήμης (επιμέλεια)
Τάξη:  Γυμνάσιο
Μάθημα:  Μαθηματικά
Σχολικό εγχειρίδιο Μαθηματικών Γυμνασίου που παρουσιάζει τις βασικές έννοιες της Άλγεβρας, εστιάζει τις ιδιότητες των αριθμών και περιέχει ασκήσεις εξισώσεων, λογαρίθμων και παραγώγων.
[Σχολικό Εγχειρίδιο]
Νείλος Σακελλαρίου
Τάξη:  Γυμνάσιο
Μάθημα:  Μαθηματικά
Σχολικό εγχειρίδιο Μαθηματικών Γυμνασίου που παρουσιάζει τις βασικές έννοιες της Άλγεβρας, εστιάζει τις ιδιότητες των αριθμών και περιέχει ασκήσεις εξισώσεων, λογαρίθμων και παραγώγων.
[Σχολικό Εγχειρίδιο]
Νείλος Σακελλαρίου
Τάξη:  Γυμνάσιο
Μάθημα:  Μαθηματικά
Σχολικό εγχειρίδιο Μαθηματικών Γυμνασίου που παρουσιάζει τις βασικές έννοιες της Άλγεβρας, εστιάζει τις ιδιότητες των αριθμών και περιέχει ασκήσεις εξισώσεων, λογαρίθμων και παραγώγων.
[Σχολικό Εγχειρίδιο]
Νείλος Σακελλαρίου
Τάξη:  Γυμνάσιο
Μάθημα:  Μαθηματικά
Σχολικό εγχειρίδιο Μαθηματικών Γυμνασίου που παρουσιάζει τις βασικές έννοιες της Άλγεβρας, εστιάζει τις ιδιότητες των αριθμών και περιέχει ασκήσεις εξισώσεων, λογαρίθμων και παραγώγων.
[Σχολικό Εγχειρίδιο]
Νικόλαος Δ. Νικολάου, Ι. Αγγελής (επιμέλεια)
Τάξη:  Γυμνάσιο
Μάθημα:  Μαθηματικά
Σχολικό εγχειρίδιο Γεωμετρίας Γυμνασίου που περιλαμβάνει θεωρία και ασκήσεις και είναι χωρισμένο σε Επιπεδομετρία και Στερεομετρία.
[Σχολικό Εγχειρίδιο]
Αχιλλέας Α. Τζάρτζανος
Τάξη:  Γυμνάσιο
Μάθημα:  Λατινικά
Σχολικό εγχειρίδιο Λατινικών Γυμνασίου που περιλαμβάνει γραμματική και συντακτικό και είναι χωρισμένο σε φθογγολογικό, τυπολογικό και ετυμολογικό μέρος.