QR Code
01-17571
Σπ. Γ. Κανέλλος

Ευκλείδειος γεωμετρία Δ΄, Ε΄, ΣΤ΄ Γυμνασίου θετικής κατευθύνσεως
[1975, 1η Έκδοση]

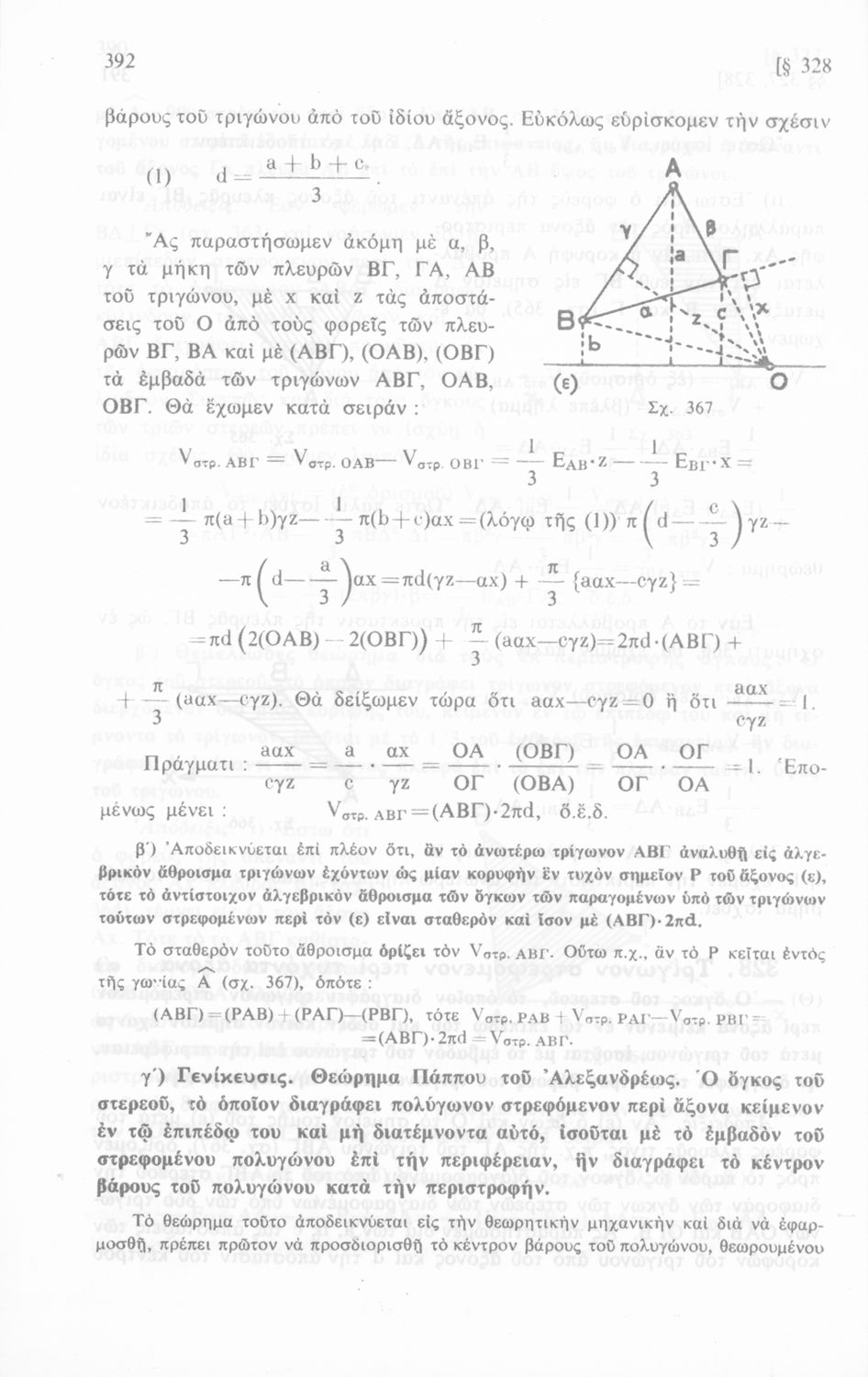
Σχολικό εγχειρίδιο Γεωμετρίας για τις Δ΄, Ε΄ και ΣΤ΄ Γυμνασίου που περιλαμβάνει αξιώματα, θεωρήματα και κατασκευές και είναι χωρισμένο σε γεωμετρία επιπέδου και γεωμετρία χώρου.


TopΠΕΔΙΟ ΑΝΑΓΝΩΡΙΣΗΣ

Κωδικός αναγνώρισης: 01-17571

Τίτλος: Ευκλείδειος γεωμετρία Δ΄, Ε΄, ΣΤ΄ Γυμνασίου θετικής κατευθύνσεως

Συγγραφέας: Σπ. Γ. Κανέλλος

Μέγεθος και υπόστρωμα: Σχολικό εγχειρίδιο, 23εκ., μαλακό εξώφυλλο, 527 σελίδες. Σκίτσα (ασπρόμαυρα).

TopΠΕΔΙΟ ΠΕΡΙΕΧΟΜΕΝΟΥ

Βαθμίδα εκπαίδευσης: Δευτεροβάθμια

Τάξη: Δ' Γυμνασίου / Ε' Γυμνασίου / ΣΤ' Γυμνασίου

Μάθημα: Μαθηματικά

Γλώσσα: Απλή καθαρεύουσα

Παρουσίαση περιεχομένου: Σχολικό εγχειρίδιο Γεωμετρίας για τις Δ΄, Ε΄ και ΣΤ΄ Γυμνασίου που περιλαμβάνει αξιώματα, θεωρήματα και κατασκευές και είναι χωρισμένο σε γεωμετρία επιπέδου και γεωμετρία χώρου.

TopΠΕΔΙΟ ΠΛΗΡΟΦΟΡΙΩΝ ΕΚΔΟΣΗΣ

Εκδότης: Οργανισμός Εκδόσεως Διδακτικών Βιβλίων

Έτος έκδοσης: 1975

Τόπος έκδοσης: Αθήνα

Έκδοση:

Υπουργική απόφαση / Σύμβαση: 2617/7-6-1975

Έτος έγκρισης: 1975

TopΠΕΔΙΟ ΠΑΡΑΤΗΡΗΣΕΩΝ

Εντοπισμός πρωτοτύπου: Ινστιτούτο Εκπαιδευτικής Πολιτικής

Κωδικός βιβλιοθήκης: 17571

TopΕΥΡΕΤΗΡΙΟ ΘΕΜΑΤΙΚΩΝ ΟΡΩΝ

Σχετιζόμενα πρόσωπα:

Σχετιζόμενοι όροι:


530 εγγραφές [381 - 400]
Σελίδα #381
Σελίδα #382
Σελίδα #383
Σελίδα #384
Σελίδα #385
Σελίδα #386
Σελίδα #387
Σελίδα #388
Σελίδα #389
Σελίδα #390
Σελίδα #391
Σελίδα #392
Σελίδα #393
Σελίδα #394
Σελίδα #395
Σελίδα #396
Σελίδα #397
Σελίδα #398
Σελίδα #399
Σελίδα #400
Σελίδα #401
Σελίδα #402
Σελίδα #403
Σελίδα #404
[Σχολικό Εγχειρίδιο]
Χρ. Γ. Παπανικολάου
Τάξη:  Γ' Γυμνασίου / Δ' Γυμνασίου / Ε' Γυμνασίου / ΣΤ' Γυμνασίου
Μάθημα:  Μαθηματικά
Σχετιζόμενοι όροι:  πολύγωνα, κύκλος, εμβαδόν, όγκος, προβολή
Σχολικό εγχειρίδιο Γεωμετρίας για τις Γ΄, Δ΄, Ε΄, ΣΤ΄ Γυμνασίου που περιλαμβάνει θεωρία και ασκήσεις και είναι χωρισμένο σε Επιπεδομετρία και Στερεομετρία.
[Σχολικό Εγχειρίδιο]
Νικόλαος Δ. Νικολάου
Τάξη:  Γ' Γυμνασίου / Δ' Γυμνασίου / Ε' Γυμνασίου / ΣΤ' Γυμνασίου
Μάθημα:  Μαθηματικά
Σχολικό εγχειρίδιο Γεωμετρίας για τις Γ΄, Δ΄, Ε΄, ΣΤ΄ Γυμνασίου που περιλαμβάνει θεωρία και ασκήσεις και είναι χωρισμένο σε Επιπεδομετρία και Στερεομετρία. Φέρει το σύμβολο της δικτατορίας.
[Σχολικό Εγχειρίδιο]
Νικόλαος Δ. Νικολάου
Τάξη:  Γ' Γυμνασίου / Δ' Γυμνασίου / Ε' Γυμνασίου / ΣΤ' Γυμνασίου
Μάθημα:  Μαθηματικά
Σχετιζόμενοι όροι:  θεώρημα, τρίγωνα, κύκλος, πολύεδρα
Σχολικό εγχειρίδιο Γεωμετρίας για τις Γ΄, Δ΄, Ε΄, ΣΤ΄ Γυμνασίου που εστιάζει στα βασικά θεωρήματα και ιδιότητες των γεωμετρικών σχημάτων.
[Σχολικό Εγχειρίδιο]
Νικόλαος Δ. Νικολάου
Τάξη:  Γ' Γυμνασίου / Δ' Γυμνασίου / Ε' Γυμνασίου / ΣΤ' Γυμνασίου
Μάθημα:  Μαθηματικά
Σχετιζόμενοι όροι:  θεώρημα, τρίγωνα, κύκλος, πολύεδρα
Σχολικό εγχειρίδιο Γεωμετρίας για τις Γ΄, Δ΄, Ε΄, ΣΤ΄ Γυμνασίου που εστιάζει στα βασικά θεωρήματα και ιδιότητες των γεωμετρικών σχημάτων.
[Σχολικό Εγχειρίδιο]
Νικ. Δ. Νικολάου
Τάξη:  Γ' Γυμνασίου / Δ' Γυμνασίου / Ε' Γυμνασίου / ΣΤ' Γυμνασίου
Μάθημα:  Μαθηματικά
Σχετιζόμενοι όροι:  θεώρημα, τρίγωνα, κύκλος, πολύεδρα
Σχολικό εγχειρίδιο Γεωμετρίας για τις Γ΄, Δ΄, Ε΄, ΣΤ΄ Γυμνασίου που εστιάζει στα βασικά θεωρήματα και ιδιότητες των γεωμετρικών σχημάτων. Φέρει το σύμβολο της δικτατορίας.
[Σχολικό Εγχειρίδιο]
Νικόλαος Δ. Νικολάου
Τάξη:  Γ' Γυμνασίου / Δ' Γυμνασίου / Ε' Γυμνασίου / ΣΤ' Γυμνασίου
Μάθημα:  Μαθηματικά
Σχετιζόμενοι όροι:  θεώρημα, τρίγωνα, κύκλος, πολύεδρα
Σχολικό εγχειρίδιο Γεωμετρίας για τις Γ΄, Δ΄, Ε΄, ΣΤ΄ Γυμνασίου που εστιάζει στα βασικά θεωρήματα και ιδιότητες των γεωμετρικών σχημάτων. Φέρει το σύμβολο της δικτατορίας.
[Σχολικό Εγχειρίδιο]
Χρίστος Α. Μπαρμπαστάθης
Τάξη:  Δ' Γυμνασίου / Ε' Γυμνασίου / ΣΤ' Γυμνασίου
Μάθημα:  Μαθηματικά
Σχολικό εγχειρίδιο Γεωμετρίας για τις Α΄, Β΄, Γ΄ Γυμνασίου που είναι χωρισμένο σε Επιπεδομετρία και Στερεομετρία και περιλαμβάνει θεωρία και ασκήσεις.
[Μαθητικό Βοήθημα]
Γεώργιος Γαρδίκας
Τάξη:  Γ' Γυμνασίου / Δ' Γυμνασίου / Ε' Γυμνασίου / ΣΤ' Γυμνασίου
Σχολικό εγχειρίδιο Αρχαίων και Νέων Ελληνικών για τις Γ΄, Δ΄, Ε΄, ΣΤ΄ Γυμνασίου που παρουσιάζει τα είδη λογοτεχνίας και την εξέλιξη της ελληνικής γλώσσας από την εποχή του Όμηρου μέχρι την Ελληνική Επανάσταση.
[Σχολικό Εγχειρίδιο]
Νικόλαος Δ. Νικολάου
Τάξη:  Δ' Γυμνασίου / Ε' Γυμνασίου / ΣΤ' Γυμνασίου
Μάθημα:  Μαθηματικά
Σχολικό εγχειρίδιο Τριγωνομετρίας για τις Δ΄, Ε΄ και ΣΤ΄ Γυμνασίου που περιλαμβάνει θεωρία και ασκήσεις. Φέρει το σύμβολο της δικτατορίας.
[Σχολικό Εγχειρίδιο]
Νικόλαος Δ. Νικολάου
Τάξη:  Δ' Γυμνασίου / Ε' Γυμνασίου / ΣΤ' Γυμνασίου
Μάθημα:  Μαθηματικά
Σχολικό εγχειρίδιο Τριγωνομετρίας για τις Δ΄, Ε΄ και ΣΤ΄ Γυμνασίου που περιλαμβάνει θεωρία και ασκήσεις.