QR Code
01-17627
Γεώργιος Βάρβογλης

Οργανική Χημεία Γ΄ Λυκείου
[1980, 20η Έκδοση]

Σχολικό εγχειρίδιο Χημείας που προσδιορίζει βασικές έννοιες οργανικής χημείας (οργανικές ενώσεις, χημική ανάλυση, ονοματολογία και συμβολισμοί). Στο βιβλίο γίνεται αναλυτική περιγραφή των ιδιοτήτων και των ενώσεων αμετάλλων, οξέων, αρωματικών υδρογονανθράκων.


TopΠΕΔΙΟ ΑΝΑΓΝΩΡΙΣΗΣ

Κωδικός αναγνώρισης: 01-17627

Τίτλος: Οργανική Χημεία Γ΄ Λυκείου

Συγγραφέας: Γεώργιος Βάρβογλης

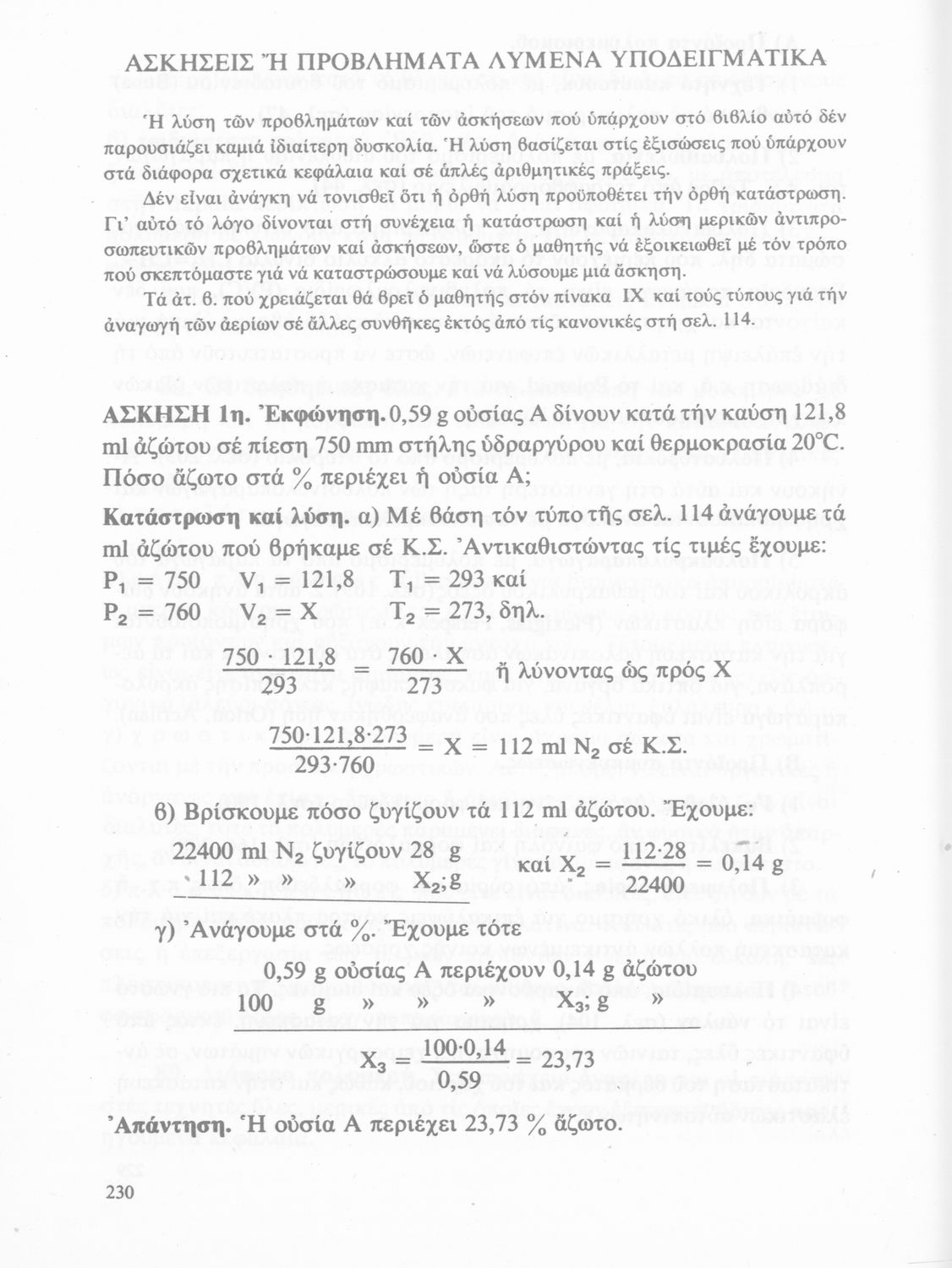
Μέγεθος και υπόστρωμα: Σχολικό εγχειρίδιο, μαλακό εξώφυλλο, 235 σελίδες. Σχέδια και σχήματα (ασπρόμαυρα).

TopΠΕΔΙΟ ΠΕΡΙΕΧΟΜΕΝΟΥ

Βαθμίδα εκπαίδευσης: Δευτεροβάθμια

Τάξη: Γ' Λυκείου

Μάθημα: Χημεία

Γλώσσα: Δημοτική

Παρουσίαση περιεχομένου: Σχολικό εγχειρίδιο Χημείας που προσδιορίζει βασικές έννοιες οργανικής χημείας (οργανικές ενώσεις, χημική ανάλυση, ονοματολογία και συμβολισμοί). Στο βιβλίο γίνεται αναλυτική περιγραφή των ιδιοτήτων και των ενώσεων αμετάλλων, οξέων, αρωματικών υδρογονανθράκων.

TopΠΕΔΙΟ ΠΛΗΡΟΦΟΡΙΩΝ ΕΚΔΟΣΗΣ

Εκδότης: Οργανισμός Εκδόσεως Διδακτικών Βιβλίων

Έτος έκδοσης: 1980

Τόπος έκδοσης: Αθήνα

Έκδοση: 20η

Υπουργική απόφαση / Σύμβαση: 3458/20-8-1980

Έτος έγκρισης: 1980

TopΠΕΔΙΟ ΠΑΡΑΤΗΡΗΣΕΩΝ

Εντοπισμός πρωτοτύπου: Ινστιτούτο Εκπαιδευτικής Πολιτικής

Κωδικός βιβλιοθήκης: 17627

TopΕΥΡΕΤΗΡΙΟ ΘΕΜΑΤΙΚΩΝ ΟΡΩΝ

Σχετιζόμενα πρόσωπα:

Σχετιζόμενοι όροι:


240 εγγραφές [221 - 240]
Σελίδα #219
Σελίδα #220
Σελίδα #221
Σελίδα #222
Σελίδα #223
Σελίδα #224
Σελίδα #225
Σελίδα #226
Σελίδα #227
Σελίδα #228
Σελίδα #229
Σελίδα #230
Σελίδα #231
Σελίδα #232
Σελίδα #233
Σελίδα #234
Σελίδα #235
Σελίδα #236
Εξώφυλλο
Εξώφυλλο
    
[Σχολικό Εγχειρίδιο]
Γεώργιος Βάρβογλης
Τάξη:  Γ' Λυκείου
Μάθημα:  Χημεία
Σχολικό εγχειρίδιο Χημείας που προσδιορίζει βασικές έννοιες οργανικής χημείας (οργανικές ενώσεις, χημική ανάλυση, ονοματολογία και συμβολισμοί) καθώς γίνεται αναλυτική περιγραφή των ιδιοτήτων και των ενώσεων ...
[Σχολικό Εγχειρίδιο]
Γεώργιος Βάρβογλης
Τάξη:  Γ' Λυκείου
Μάθημα:  Χημεία
Σχολικό εγχειρίδιο Χημείας που προσδιορίζει βασικές έννοιες οργανικής χημείας (οργανικές ενώσεις, χημική ανάλυση, ονοματολογία και συμβολισμοί) καθώς γίνεται αναλυτική περιγραφή των ιδιοτήτων και των ενώσεων ...
[Σχολικό Εγχειρίδιο]
Γεώργιος Βάρβογλης
Τάξη:  Γ' Λυκείου
Μάθημα:  Χημεία
Το βιβλίο προσδιορίζει βασικές έννοιες οργανικής χημείας (οργανικές ενώσεις, χημική ανάλυση, ονοματολογία και συμβολισμοί) καθώς γίνεται αναλυτική περιγραφή των ιδιοτήτων και των ενώσεων αμετάλλων, οξέων, ...
[Σχολικό Εγχειρίδιο]
Γεώργιος Βάρβογλης
Τάξη:  Γ' Λυκείου
Μάθημα:  Χημεία
Σχολικό εγχειρίδιο Χημείας που προσδιορίζει βασικές έννοιες οργανικής χημείας (οργανικές ενώσεις, χημική ανάλυση, ονοματολογία και συμβολισμοί). Στο βιβλίο γίνεται αναλυτική περιγραφή των ιδιοτήτων και των ...
[Σχολικό Εγχειρίδιο]
Γεώργιος Βάρβογλης
Τάξη:  Γ' Λυκείου
Μάθημα:  Χημεία
Σχολικό εγχειρίδιο Χημείας για τους μαθητές της Γ΄ Λυκείου. Το βιβλίο εισάγει τους μαθητές στην οργανική χημεία, εξετάζει τις οργανικές ενώσεις του άνθρακα τις πρωτεΐνες και τα οξέα. Κλείνει παρουσιάζοντας ...
[Σχολικό Εγχειρίδιο]
Β. Νεράντζης, Π. Άκατος
Τάξη:  Εμπορικές και Επαγγελματικές Σχολές
Μάθημα:  Χημεία
Σχολικό εγχειρίδιο Χημείας για τους μαθητές της Γ΄ Λυκείου. Το βιβλίο εισάγει τους μαθητές στην οργανική χημεία, εξετάζει τις οργανικές ενώσεις του άνθρακα τις πρωτεΐνες και τα οξέα. Κλείνει παρουσιάζοντας ...
[Σχολικό Εγχειρίδιο]
Αλκίνοος Ε. Μάζης
Χημεία Γ΄ Γυμνασίου   [1976, 9η Έκδοση]
Τάξη:  Γ' Γυμνασίου
Μάθημα:  Χημεία
Σχολικό εγχειρίδιο Χημείας Γ΄ Γυμνασίου που περιέχει εισαγωγή στην οργανική χημεία και εστιάζει στους υδρογονάνθρακες, τα σάκχαρα και τα λιπαρά σώματα.
[Σχολικό Εγχειρίδιο]
Β. Καρώνης, Σ. Σερμπέτης, Θ. Φράσσαρης
Χημεία Γ΄ Γυμνασίου   [1980, 3η Έκδοση]
Τάξη:  Γ' Γυμνασίου
Μάθημα:  Χημεία
Σχολικό εγχειρίδιο Χημείας Γ΄ Γυμνασίου στο οποίο περιγράφονται τα είδη της χημικής ενέργειας (θερμοχημεία, ηλεκτροχημεία), προσδιορίζονται στοιχεία και ενώσεις οργανικής χημείας, στοιχεία και ιδιότητες ...
[Σχολικό Εγχειρίδιο]
Αλκίνοος Ε. Μάζης
Χημεία Γ΄ Γυμνασίου   [1975, 8η Έκδοση]
Τάξη:  Γ' Γυμνασίου
Μάθημα:  Χημεία
Σχολικό εγχειρίδιο Χημείας Γ΄ Γυμνασίου που περιέχει εισαγωγή στην οργανική χημεία και εστιάζει στους υδρογονάνθρακες, τα σάκχαρα και τα λιπαρά σώματα.
[Σχολικό Εγχειρίδιο]
Αλκίνοος Ε. Μάζης
Χημεία Γ΄ Γυμνασίου   [1968, 1η Έκδοση]
Τάξη:  Γ' Γυμνασίου
Μάθημα:  Χημεία
Σχολικό εγχειρίδιο Χημείας Γ΄ Γυμνασίου που περιέχει εισαγωγή στην οργανική και ανόργανη χημεία και εστιάζει στους υδρογονάνθρακες, τα σάκχαρα, τα λιπαρά σώματα, τα μέταλλα και τον άνθρακα. Φέρει το σύμβολο ...