QR Code
01-17906
Ιωάν. Ν. Χατζιδάκις, Χρ. Α. Μπαρμπαστάθης

Στοιχεία Γεωμετρίας προς χρήσιν των Γυμνασίων
[1931, 1η Έκδοση]

Σχολικό εγχειρίδιο Γεωμετρίας Γυμνασίου χωρισμένο σε ορισμούς, θεωρήματα, πορίσματα και ασκήσεις που εστιάζει στην Επιπεδομετρία και τη Στερεομετρία. Διαθέτει και παράρτημα με στοιχεία Αναλυτικής Γεωμετρίας.


TopΠΕΔΙΟ ΑΝΑΓΝΩΡΙΣΗΣ

Κωδικός αναγνώρισης: 01-17906

Τίτλος: Στοιχεία Γεωμετρίας προς χρήσιν των Γυμνασίων

Συγγραφέας: Ιωάν. Ν. Χατζιδάκις, Χρ. Α. Μπαρμπαστάθης

Μέγεθος και υπόστρωμα: Σχολικό εγχειρίδιο, 21εκ., σκληρό εξώφυλλο, 303 σελίδες. Σκίτσα (ασπρόμαυρα).

TopΠΕΔΙΟ ΠΕΡΙΕΧΟΜΕΝΟΥ

Βαθμίδα εκπαίδευσης: Δευτεροβάθμια

Τάξη: Γυμνάσιο

Μάθημα: Μαθηματικά

Γλώσσα: Απλή καθαρεύουσα

Παρουσίαση περιεχομένου: Σχολικό εγχειρίδιο Γεωμετρίας Γυμνασίου χωρισμένο σε ορισμούς, θεωρήματα, πορίσματα και ασκήσεις που εστιάζει στην Επιπεδομετρία και τη Στερεομετρία. Διαθέτει και παράρτημα με στοιχεία Αναλυτικής Γεωμετρίας.

TopΠΕΔΙΟ ΠΛΗΡΟΦΟΡΙΩΝ ΕΚΔΟΣΗΣ

Εκδότης: Ιωάννης Δ. Κολλάρος

Έτος έκδοσης: 1931

Τόπος έκδοσης: Αθήνα

Έκδοση:

TopΠΕΔΙΟ ΠΑΡΑΤΗΡΗΣΕΩΝ

Εντοπισμός πρωτοτύπου: Ινστιτούτο Εκπαιδευτικής Πολιτικής

Κωδικός βιβλιοθήκης: 17906

TopΕΥΡΕΤΗΡΙΟ ΘΕΜΑΤΙΚΩΝ ΟΡΩΝ

Σχετιζόμενα πρόσωπα:

Σχετιζόμενοι όροι:


312 εγγραφές [141 - 160]
Σελίδα #137
Σελίδα #138
Σελίδα #139
Σελίδα #140
Σελίδα #141
Σελίδα #142
Σελίδα #143
Σελίδα #144
Σελίδα #145
Σελίδα #146
Σελίδα #147
Σελίδα #148
Σελίδα #149
Σελίδα #150
Σελίδα #151
Σελίδα #152
Σελίδα #153
Σελίδα #154
Σελίδα #155
Σελίδα #156
Σελίδα #157
Σελίδα #158
Σελίδα #159
Σελίδα #160
[Σχολικό Εγχειρίδιο]
Νικ. Δ. Νικολάου
Τάξη:  Γυμνάσιο / Λύκειο
Μάθημα:  Μαθηματικά
Σχολικό εγχειρίδιο Γεωμετρίας για τα Γυμνάσια και τα Λύκεια που είναι χωρισμένο σε Επιπεδομετρία και Στερεομετρία. Περιλαμβάνει θεωρήματα, πορίσματα και ασκήσεις. Περιέχει στοιχεία Αναλυτικής Γεωμετρίας και ...
[Σχολικό Εγχειρίδιο]
Ιωάννης Ν. Χατζιδάκις
Τάξη:  Γυμνάσιο
Μάθημα:  Μαθηματικά
Σχολικό εγχειρίδιο Γεωμετρίας Γυμνασίου χωρισμένο σε ορισμούς, θεωρήματα, πορίσματα και ασκήσεις που εστιάζει στην Επιπεδομετρία και τη Στερεομετρία. Διαθέτει και παράρτημα εφαρμογής της Άλγεβρας στη Γεωμετρία.
[Μαθητικό Βοήθημα]
Πέτρος Τόγκας
Τάξη:  Γυμνάσιο / Λύκειο
Μάθημα:  Μαθηματικά
Μαθητικό βοήθημα Γεωμετρίας για τα Γυμνάσια και Λύκεια που περιέχει λύσεις σε 375 ασκήσεις και προβλήματα που περιλαμβάνονται στο πρώτο βιβλίο Θεωρητικής Γεωμετρίας του Π.Γ. Τόγκα.
[Μαθητικό Βοήθημα]
Μ. Κορές
Τάξη:  Γυμνάσιο
Μάθημα:  Μαθηματικά
Το βιβλίο είναι μαθητικό βοήθημα Μαθηματικών για τους μαθητές του Γυμνασίου και των προπαρασκευαστικών σχολών. Το βιβλίο περιλαμβάνει βασικές έννοιες και θεωρήματα της Ευκλείδειας Γεωμετρίας.
[Σχολικό Εγχειρίδιο]
Ιωάννης Ν. Χατζηδάκις
Μάθημα:  Γεωμετρία
[Σχολικό Εγχειρίδιο]
Χρήστος Ανδρούτσος
Τάξη:  Γυμνάσιο
Μάθημα:  Ψυχολογία
Σχολικό εγχειρίδιο Εμπειρικής Ψυχολογίας για το Γυμνάσιο χωρισμένο σε τρία τμήματα: το γνωστικό, το συναισθηματικό και το βουλητικό.
[Μαθητικό Βοήθημα]
Γεώργιος Χ. Παπανικολάου
Τάξη:  Ε' Γυμνάσιου / Ε' Πρακτικού Λυκείου
Μάθημα:  Γεωγραφία
Σχετιζόμενοι όροι:  Γη, φυλές, πληθυσμός, ισχυρά κράτη
Μαθητικό βοήθημα Γεωγραφίας για την Ε΄ Γυμνασίων και Πρακτικών Λυκείων που εστιάζει στην ανθρωπογεωγραφία, στην ιστορία της γης, των φυλών και του πολιτισμού και την οικονομικής ζωή, Περιέχει και γεωγραφική ...
[Σχολικό Εγχειρίδιο]
Γεώργιος Δ. Βορεάδης
Τάξη:  Δ' Γυμνασίου
Σχολικό εγχειρίδιο Γεωλογίας/Ορυκτολογίας για την Δ΄ τάξη των Εξαταξίων Γυμνασίων που παρουσιάζει τα ορυκτά με βάση την κλάση στην οποία ανήκουν. Το τμήμα της Γεωλογίας εστιάζει στους γεωλογικούς αιώνες. Ο ...
[Σχολικό Εγχειρίδιο]
Νικολ. Δ. Νικολάου
Τάξη:  Γυμνάσιο
Μάθημα:  Μαθηματικά
Σχολικό εγχειρίδιο Ευθύγραμμης Τριγωνομετρίας Γυμνασίου που περιλαμβάνει θεωρία και ασκήσεις.
[Σχολικό Εγχειρίδιο]
Ανδρ. Σ. Παπασπυρόπουλος
Τάξη:  Α' Γυμνασίου / Β' Γυμνασίου
Μάθημα:  Μαθηματικά
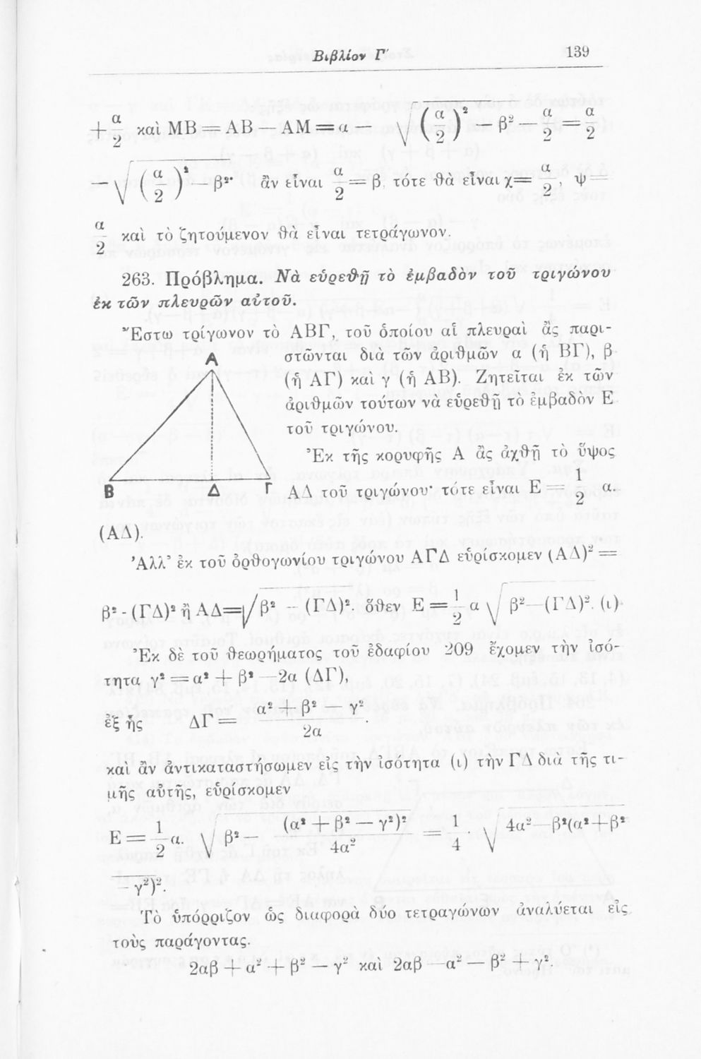
Σχολικό εγχειρίδιο Γεωμετρίας για την Α΄ και Β΄ Γυμνασίου χωρισμένο σε Επιπεδομετρία και Στερεομετρία που περιέχει θεωρία και ασκήσεις.