QR Code
01-18141
Νικόλαος Δ. Νικολάου, Ι. Αγγελής (επιμέλεια)

Τριγωνομετρία δια την ΣΤ΄ τάξιν των Εξαταξίων Γυμνασίων
[1961, 5η Έκδοση]

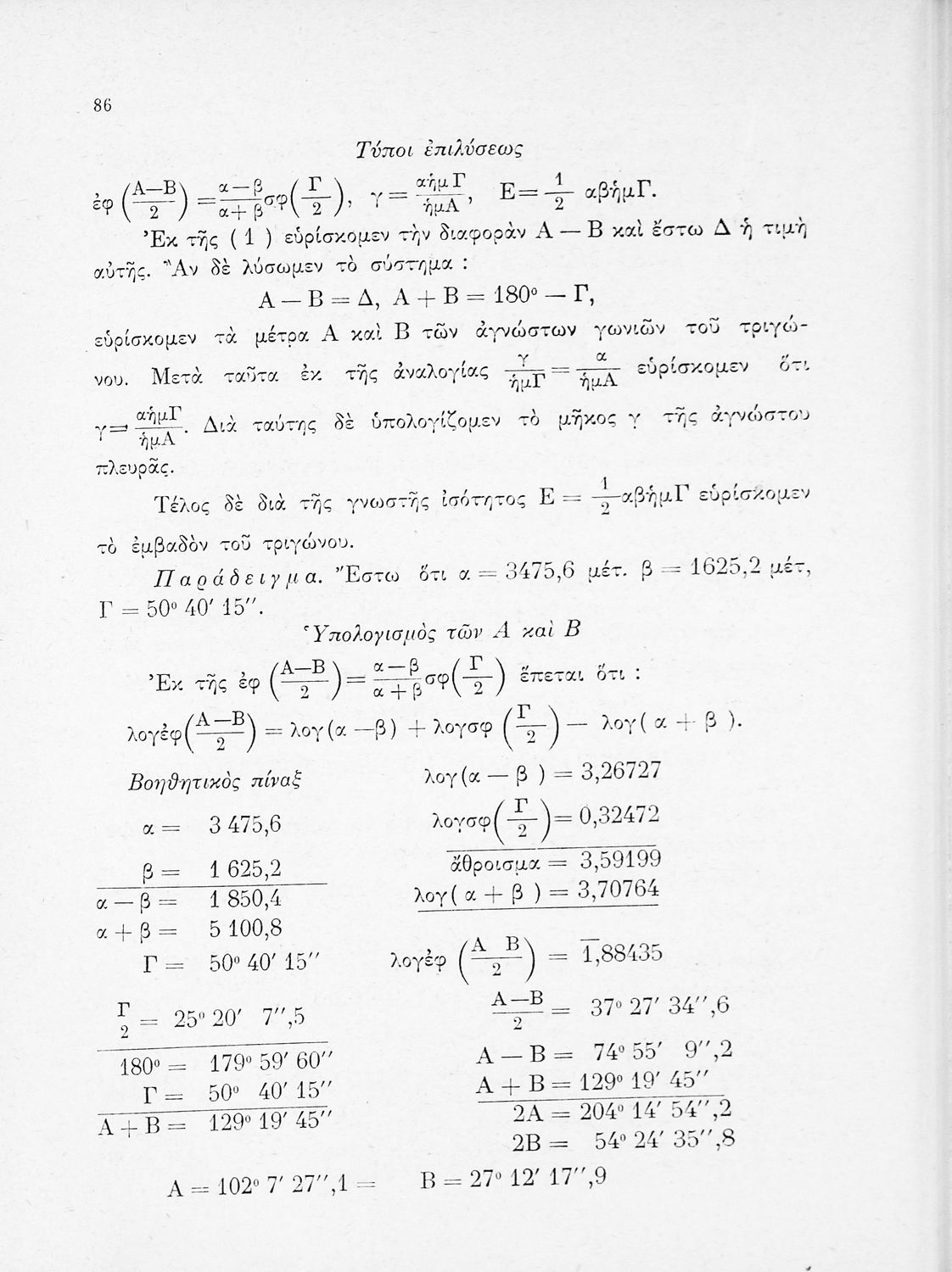
Σχολικό εγχειρίδιο Τριγωνομετρίας για την ΣΤ΄ Γυμνασίου που περιλαμβάνει θεωρία και ασκήσεις.


TopΠΕΔΙΟ ΑΝΑΓΝΩΡΙΣΗΣ

Κωδικός αναγνώρισης: 01-18141

Τίτλος: Τριγωνομετρία δια την ΣΤ΄ τάξιν των Εξαταξίων Γυμνασίων

Συγγραφέας: Νικόλαος Δ. Νικολάου, Ι. Αγγελής (επιμέλεια)

Μέγεθος και υπόστρωμα: Σχολικό εγχειρίδιο, 20εκ., μαλακό εξώφυλλο, 191 σελίδες. Σκίτσα (ασπρόμαυρα).

TopΠΕΔΙΟ ΠΕΡΙΕΧΟΜΕΝΟΥ

Βαθμίδα εκπαίδευσης: Δευτεροβάθμια

Τάξη: ΣΤ' Γυμνασίου

Μάθημα: Μαθηματικά

Γλώσσα: Απλή καθαρεύουσα

Παρουσίαση περιεχομένου: Σχολικό εγχειρίδιο Τριγωνομετρίας για την ΣΤ΄ Γυμνασίου που περιλαμβάνει θεωρία και ασκήσεις.

TopΠΕΔΙΟ ΠΛΗΡΟΦΟΡΙΩΝ ΕΚΔΟΣΗΣ

Εκδότης: Οργανισμός Εκδόσεως Σχολικών Βιβλίων

Έτος έκδοσης: 1961

Τόπος έκδοσης: Αθήνα

Έκδοση:

Υπουργική απόφαση / Σύμβαση: 1044/24-4-1961

Έτος έγκρισης: 1961

TopΠΕΔΙΟ ΠΑΡΑΤΗΡΗΣΕΩΝ

Εντοπισμός πρωτοτύπου: Ινστιτούτο Εκπαιδευτικής Πολιτικής

Κωδικός βιβλιοθήκης: 18141

TopΕΥΡΕΤΗΡΙΟ ΘΕΜΑΤΙΚΩΝ ΟΡΩΝ

Σχετιζόμενα πρόσωπα:

Σχετιζόμενοι όροι:


200 εγγραφές [81 - 100]
Σελίδα #077
Σελίδα #078
Σελίδα #079
Σελίδα #080
Σελίδα #081
Σελίδα #082
Σελίδα #083
Σελίδα #084
Σελίδα #085
Σελίδα #086
Σελίδα #087
Σελίδα #088
Σελίδα #089
Σελίδα #090
Σελίδα #091
Σελίδα #092
Σελίδα #093
Σελίδα #094
Σελίδα #095
Σελίδα #096
Σελίδα #097
Σελίδα #098
Σελίδα #099
Σελίδα #100
[Σχολικό Εγχειρίδιο]
Θεόκριτος, Θρασύβουλος Σταύρου (σχόλια)
Τάξη:  ΣΤ' Γυμνασίου
Σχετιζόμενοι όροι:  Βάττος, Κορύδων, Αλιείς, Μενάλκας
Σχολικό εγχειρίδιο Αρχαίων Ελληνικών ΣΤ΄ Γυμνασίου που περιλαμβάνει εισαγωγή στη ζωή και το έργο του Θεόκριτου, τα Ειδύλλιά του και ερμηνευτικά σχόλια.
[Σχολικό Εγχειρίδιο]
Όμηρος, Νικηφόρος Ξ. Ελεόπουλος, Καλλιρόη Ν. Ελεοπούλου (μετάφραση)
Τάξη:  ΣΤ' Γυμνασίου
Σχολικό εγχειρίδιο Αρχαίων Ελληνικών ΣΤ΄ Γυμνασίου που περιέχει μετάφραση αποσπασμάτων από την Ιλιάδα, ερμηνευτικά, πραγματολογικά σχόλια και λεξιλογικές παρατηρήσεις. Ο συγγραφέας ήταν Καθηγητής στο Κολέγιο ...
[Σχολικό Εγχειρίδιο]
Γεώργιος Βάρβογλης
Τάξη:  ΣΤ' Γυμνασίου
Μάθημα:  Χημεία
Σχολικό εγχειρίδιο Χημείας ΣΤ΄ Γυμνασίου που εστιάζει στις έννοιες της οργανικής χημείας, και τη σύσταση των οργανικών ενώσεων, κορεσμένων και ακόρεστων υδρογονανθράκων και οξέων-βάσεων-αλάτων.
[Σχολικό Εγχειρίδιο]
Θουκυδίδης, Κυριάκος Κοσμάς (σχόλια)
Τάξη:  Δ' Γυμνασίου / Ε' Γυμνασίου / ΣΤ' Γυμνασίου
Σχολικό εγχειρίδιο Αρχαίων Ελληνικών για τις Δ΄, Ε΄ και ΣΤ΄ Γυμνασίου που περιλαμβάνει εισαγωγή στη ζωή και το έργο του Θουκυδίδη, αποσπάσματα από το δεύτερο βιβλίο της Ιστορίας, πραγματολογικές παρατηρήσεις ...
[Σχολικό Εγχειρίδιο]
Πλάτων, Νικ. Ζαφειρίου, Νικόλαος, Καλλιρόη Ελεοπούλου (σχόλια)
Τάξη:  ΣΤ' Γυμνασίου
Σχολικό εγχειρίδιο Αρχαίων Ελληνικών ΣΤ΄ Εξαταξίου Γυμνασίου που περιλαμβάνει εισαγωγικό κείμενο για τη διδασκαλία του Σωκράτη και περίληψη του έργου, τα κεφάλαια Β΄ έως ΚΕ΄ και περιλήψεις των κεφαλαίων 26 έως
[Σχολικό Εγχειρίδιο]
Όμηρος, Νικηφόρος, Καλλιρόη Ελεοπούλου (σχόλια), Ηρ. Καραναστάσης (επιμ.)
Τάξη:  Γυμνάσιο
Σχολικό εγχειρίδιο Αρχαίων Ελληνικών Γυμνασίου που περιλαμβάνει αποσπάσματα από τις ραψωδίες της Οδύσσειας, ερμηνευτικά και πραγματολογικά σχόλια, και λεξιλογικές παρατηρήσεις.
[Σχολικό Εγχειρίδιο]
Πλάτων, Νικ. Ζαφειρίου, Νικ., Ελεόπουλος (σχόλια), Καλλ. Ελεοπούλου (σχόλια)
Τάξη:  ΣΤ' Γυμνασίου
Σχολικό εγχειρίδιο Αρχαίων Ελληνικών ΣΤ΄ Γυμνασίου που περιλαμβάνει εισαγωγή στη διδασκαλία του Σωκράτη, περίληψη του έργου, τα κεφάλαια Β΄ έως ΚΕ΄, περίληψη των κεφαλαίων 26 έως 33., και ερμηνευτικές ...
[Σχολικό Εγχειρίδιο]
Θουκυδίδης, Κυριάκος Κοσμάς (σχόλια)
Τάξη:  Δ' Γυμνασίου / Ε' Γυμνασίου / ΣΤ' Γυμνασίου
Σχολικό εγχειρίδιο Αρχαίων Ελληνικών Δ΄, Ε΄ και ΣΤ΄ Γυμνασίου που περιέχει αποσπάσματα από το έργο του Θουκυδίδη Ιστορία, ερμηνευτικά και πραγματολογικά σχόλια, και γραμματικές παρατηρήσεις του συγγραφέα.
[Σχολικό Εγχειρίδιο]
Ευριπίδης, Θρασύβουλος Σταύρου (σχόλια)
Τάξη:  Ε' Γυμνασίου / ΣΤ' Γυμνασίου
Σχολικό εγχειρίδιο Αρχαίων Ελληνικών Ε΄ και ΣΤ΄ Γυμνασίου που περιλαμβάνει εισαγωγή στο αρχαίο δράμα, στη ζωή και το έργο μεγάλων τραγικών ποιητών, η τραγωδία του Ευριπίδη Ιφιγένεια εν Ταύροις, και ...
[Σχολικό Εγχειρίδιο]
Πλάτων, Νικ. Κοντόπουλος, Νικ. Ζαφειρίου, Ν. Ελεόπουλος, Κ. Ελεοπούλου
Τάξη:  ΣΤ' Γυμνασίου
Σχετιζόμενοι όροι:  Πλάτωνας, διάλογοι, Φαίδων, Πρωταγόρας
Σχολικό εγχειρίδιο Αρχαίων Ελληνικών για τη ΣΤ΄ Γυμνασίου σε κείμενα του Πλάτωνα. Στο βιβλίο υπάρχει το πρωτότυπο κείμενο με εισαγωγή στη ζωή και το έργο του Πλάτωνα και την αρχαία ελληνική φιλοσοφία και ...