QR Code
01-18375
Δ. Παπαμιχαήλ, Σ. Μπαλής, Χρ. Γιαννίκος, Δ. Νοταράς, Κ. Σολδάτος

Μαθηματικά Β΄ Γυμνασίου
[1980]

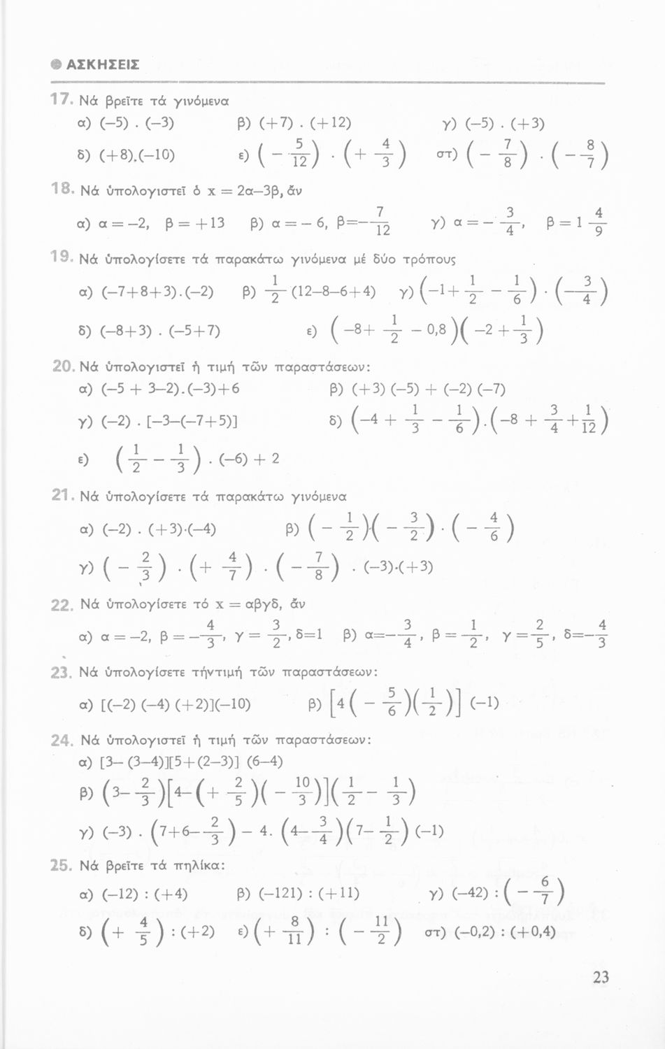
Σχολικό εγχειρίδιο Μαθηματικών Β΄ Γυμνασίου που περιλαμβάνει Άλγεβρα, Γεωμετρία και Τριγωνομετρία.


TopΠΕΔΙΟ ΑΝΑΓΝΩΡΙΣΗΣ

Κωδικός αναγνώρισης: 01-18375

Τίτλος: Μαθηματικά Β΄ Γυμνασίου

Συγγραφέας: Δ. Παπαμιχαήλ, Σ. Μπαλής, Χρ. Γιαννίκος, Δ. Νοταράς, Κ. Σολδάτος

Μέγεθος και υπόστρωμα: Σχολικό εγχειρίδιο, 23εκ., μαλακό εξώφυλλο, 298 σελίδες. Εξώφυλλο (έγχρωμο).

TopΠΕΔΙΟ ΠΕΡΙΕΧΟΜΕΝΟΥ

Βαθμίδα εκπαίδευσης: Δευτεροβάθμια

Τάξη: Β' Γυμνασίου

Μάθημα: Μαθηματικά

Γλώσσα: Δημοτική

Παρουσίαση περιεχομένου: Σχολικό εγχειρίδιο Μαθηματικών Β΄ Γυμνασίου που περιλαμβάνει Άλγεβρα, Γεωμετρία και Τριγωνομετρία.

TopΠΕΔΙΟ ΠΛΗΡΟΦΟΡΙΩΝ ΕΚΔΟΣΗΣ

Εκδότης: Οργανισμός Εκδόσεως Διδακτικών Βιβλίων

Έτος έκδοσης: 1980

Τόπος έκδοσης: Αθήνα

Υπουργική απόφαση / Σύμβαση: 3292/1-11-1979

Έτος έγκρισης: 1979

TopΠΕΔΙΟ ΠΑΡΑΤΗΡΗΣΕΩΝ

Εντοπισμός πρωτοτύπου: Ινστιτούτο Εκπαιδευτικής Πολιτικής

Κωδικός βιβλιοθήκης: 18375

TopΕΥΡΕΤΗΡΙΟ ΘΕΜΑΤΙΚΩΝ ΟΡΩΝ

Σχετιζόμενα πρόσωπα:

Σχετιζόμενοι όροι:


306 εγγραφές [1 - 20]
Σελίδα #001
Σελίδα #002
Σελίδα #003
Σελίδα #004
Σελίδα #005
Σελίδα #006
Σελίδα #007
Σελίδα #008
Σελίδα #009
Σελίδα #010
Σελίδα #011
Σελίδα #012
Σελίδα #013
Σελίδα #014
Σελίδα #015
Σελίδα #016
Σελίδα #017
Σελίδα #018
Σελίδα #019
Σελίδα #020
Σελίδα #021
Σελίδα #022
Σελίδα #023
Σελίδα #024
[Σχολικό Εγχειρίδιο]
Νικόλ. Δ. Νικολάου
Τάξη:  Α' Γυμνασίου / Β' Γυμνασίου / Γ' Γυμνασίου
Μάθημα:  Μαθηματικά
Σχολικό εγχειρίδιο Αριθμητικής για τις Α΄, Β΄, Γ΄ Γυμνασίου που είναι χωρισμένο σε ορισμούς και ασκήσεις και εστιάζει στις ιδιότητες των αριθμητικών πράξεων, τα κλάσματα και την τετραγωνική ρίζα.
[Σχολικό Εγχειρίδιο]
Χρίστος Α. Μπαρμπαστάθης
Τάξη:  Δ' Γυμνασίου / Ε' Γυμνασίου / ΣΤ' Γυμνασίου
Μάθημα:  Μαθηματικά
Σχολικό εγχειρίδιο Γεωμετρίας για τις Α΄, Β΄, Γ΄ Γυμνασίου που είναι χωρισμένο σε Επιπεδομετρία και Στερεομετρία και περιλαμβάνει θεωρία και ασκήσεις.
[Σχολικό Εγχειρίδιο]
Νείλος Σακελλαρίου
Τάξη:  Γυμνάσιο
Μάθημα:  Μαθηματικά
Σχολικό εγχειρίδιο Άλγεβρας Γυμνασίου που περιλαμβάνει θεωρία, ασκήσεις και στοιχεία λογιστικής.
[Σχολικό Εγχειρίδιο]
Α. Δ. Μητρόπουλος
Τάξη:  Α' Γυμνασίου / Β' Γυμνασίου
Μάθημα:  Μαθηματικά
Σχολικό εγχειρίδιο Γεωμετρίας για την Α΄ και Β΄ Γυμνασίου που περιλαμβάνει θεωρία και ασκήσεις και είναι χωρισμένο σε Επιπεδομετρία και Στερεομετρία.
[Σχολικό Εγχειρίδιο]
Ανδρ. Σ. Παπασπυρόπουλος
Τάξη:  Α' Γυμνασίου / Β' Γυμνασίου
Μάθημα:  Μαθηματικά
Σχολικό εγχειρίδιο Γεωμετρίας για την Α΄ και Β΄ Γυμνασίου χωρισμένο σε Επιπεδομετρία και Στερεομετρία που περιέχει θεωρία και ασκήσεις.
[Μαθητικό Βοήθημα]
Γεώργιος Κ. Μπούσγος
Τάξη:  Β' Γυμνασίου
Μάθημα:  Μαθηματικά
Μαθητικό βοήθημα Μαθηματικών Β΄ Γυμνασίου που περιλαμβάνει εξισώσεις και ανισώσεις, διανύσματα και θεωρία συνόλων.
[Σχολικό Εγχειρίδιο]
Γ. Γραφάκος, Κ. Διακάκης, Σ. Μαντζάρας
Τάξη:  Β' Γυμνασίου
Μάθημα:  Μαθηματικά
Σχολικό Εγχειρίδιο Μαθηματικών Β' Γυμνασίου που περιλαμβάνει αριθμητική με έμφαση στα σύνολα, τις μεθόδους υπολογισμού τόκων και επιτοκίων, και την μέθοδο των τριών, και γεωμετρία με έμφαση στα γεωμετρικά ...
[Σχολικό Εγχειρίδιο]
Ιωάννης Ν. Χατζηδάκις
Τάξη:  Γυμνάσιο
Μάθημα:  Μαθηματικά
Σχολικό εγχειρίδιο Αριθμητικής Γυμνασίου που είναι χωρισμένο σε θεωρήματα και ασκήσεις και εστιάζει στις αριθμητικές πράξεις και τις ιδιότητές τους.
[Σχολικό Εγχειρίδιο]
Α. Γ. Καραγιαννίδης
Τάξη:  Γυμνάσιο
Μάθημα:  Μαθηματικά
Σχολικό εγχειρίδιο Άλγεβρας Γυμνασίου που περιέχει θεωρία και ασκήσεις. Ο συγγραφέας ήταν υφηγητής στο Εθνικό Πανεπιστήμιο.
[Σχολικό Εγχειρίδιο]
Νικόλ. Δ. Νικολάου
Τάξη:  Α' Γυμνασίου / Β' Γυμνασίου / Γ' Γυμνασίου
Μάθημα:  Μαθηματικά
Σχολικό εγχειρίδιο Αριθμητικής για τις Α΄, Β΄, Γ΄ Γυμνασίου που είναι χωρισμένο σε ορισμούς και ασκήσεις και εστιάζει στις ιδιότητες των αριθμητικών πράξεων, τα κλάσματα και την τετραγωνική ρίζα.