QR Code
01-19244
Ηλίας Β. Ντζιώρας, Ιωάννης Φ. Πανάκης

Μαθηματικά Β΄ Λυκείου ύλη κορμού
[1981, 12η Έκδοση]

Σχολικό εγχειρίδιο Μαθηματικών Β΄ Λυκείου χωρισμένο σε Άλγεβρα και Τριγωνομετρία.


TopΠΕΔΙΟ ΑΝΑΓΝΩΡΙΣΗΣ

Κωδικός αναγνώρισης: 01-19244

Τίτλος: Μαθηματικά Β΄ Λυκείου ύλη κορμού

Συγγραφέας: Ηλίας Β. Ντζιώρας, Ιωάννης Φ. Πανάκης

Μέγεθος και υπόστρωμα: Σχολικό εγχειρίδιο, 23εκ., μαλακό εξώφυλλο, 217 σελίδες.

TopΠΕΔΙΟ ΠΕΡΙΕΧΟΜΕΝΟΥ

Βαθμίδα εκπαίδευσης: Δευτεροβάθμια

Τάξη: Β' Λυκείου

Μάθημα: Μαθηματικά

Γλώσσα: Δημοτική

Παρουσίαση περιεχομένου: Σχολικό εγχειρίδιο Μαθηματικών Β΄ Λυκείου χωρισμένο σε Άλγεβρα και Τριγωνομετρία.

TopΠΕΔΙΟ ΠΛΗΡΟΦΟΡΙΩΝ ΕΚΔΟΣΗΣ

Εκδότης: Οργανισμός Εκδόσεως Διδακτικών Βιβλίων

Έτος έκδοσης: 1981

Τόπος έκδοσης: Αθήνα

Έκδοση: 12η

Υπουργική απόφαση / Σύμβαση: 3615/18-6-1981

Έτος έγκρισης: 1981

TopΠΕΔΙΟ ΠΑΡΑΤΗΡΗΣΕΩΝ

Εντοπισμός πρωτοτύπου: Ινστιτούτο Εκπαιδευτικής Πολιτικής

Κωδικός βιβλιοθήκης: 19244

TopΕΥΡΕΤΗΡΙΟ ΘΕΜΑΤΙΚΩΝ ΟΡΩΝ

Σχετιζόμενα πρόσωπα:

Σχετιζόμενοι όροι:


228 εγγραφές [181 - 200]
Σελίδα #181
Σελίδα #182
Σελίδα #183
Σελίδα #184
Σελίδα #185
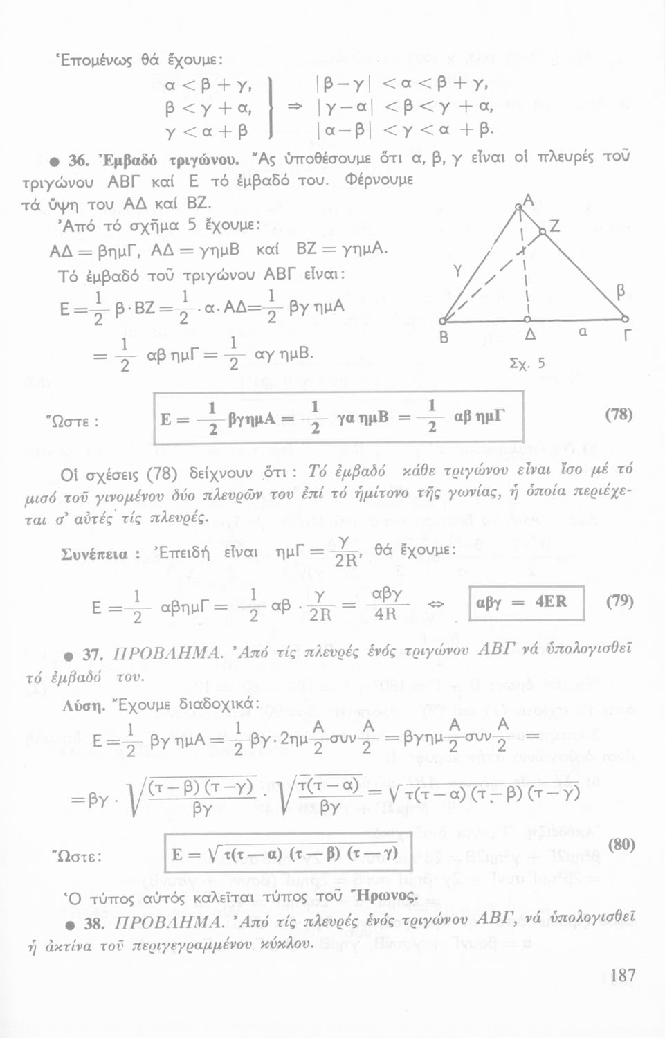
Σελίδα #186
Σελίδα #187
Σελίδα #188
Σελίδα #189
Σελίδα #190
Σελίδα #191
Σελίδα #192
Σελίδα #193
Σελίδα #194
Σελίδα #195
Σελίδα #196
Σελίδα #197
Σελίδα #198
Σελίδα #199
Σελίδα #200
Σελίδα #201
Σελίδα #202
Σελίδα #203
Σελίδα #204
[Σχολικό Εγχειρίδιο]
Ηλίας Β. Ντζιώρας, Ιωάννης Φ. Πανάκης
Τάξη:  Β' Λυκείου
Μάθημα:  Μαθηματικά
Σχολικό εγχειρίδιο Μαθηματικών Β΄ Λυκείου χωρισμένο σε Άλγεβρα και Τριγωνομετρία.
[Σχολικό Εγχειρίδιο]
Ηλίας Β. Ντζιώρας, Ιωάννης Φ. Πανάκης
Τάξη:  Β' Λυκείου
Μάθημα:  Μαθηματικά
Σχολικό εγχειρίδιο Μαθηματικών Β΄ Λυκείου χωρισμένο σε Άλγεβρα και Τριγωνομετρία.
[Σχολικό Εγχειρίδιο]
Κ. Ιορδανίδης, Δ. Λ. Καραγεώργος, Κ. Κωστάκης, Α. Μακρίδης, Β. Νασόπουλος
Τάξη:  Β' Λυκείου
Μάθημα:  Μαθηματικά
Σχολικό εγχειρίδιο Μαθηματικών Β΄ Λυκείου που εστιάζει στην Άλγεβρα.
[Σχολικό Εγχειρίδιο]
Ηλίας Β. Ντζιώρας
Τάξη:  Β' Λυκείου
Μάθημα:  Μαθηματικά
Σχολικό εγχειρίδιο Άλγεβρας Β΄ Λυκείου χωρισμένο σε θεωρία, παρατηρήσεις και ασκήσεις που περιλαμβάνει και στοιχεία από το Διανυσματικό Λογισμό και την Αναλυτική Γεωμετρία που έχουν συγγραφεί από τον Ιωάννη ...
[Σχολικό Εγχειρίδιο]
Ιωάννης Φ. Πανάκης
Τάξη:  Β' Λυκείου
Μάθημα:  Μαθηματικά
Σχολικό εγχειρίδιο Τριγωνομετρίας για την Β΄ Λυκείου χωρισμένο σε προβλήματα, εφαρμογές και ασκήσεις. Το εγχειρίδιο μεταγλωττίστηκε στη δημοτική από τους Βασίλειο Θεοδωρακόπουλο, Απόστολο Ζορμπά και τον ...
[Σχολικό Εγχειρίδιο]
Ηλίας Β. Ντζιώρας
Τάξη:  Β' Λυκείου
Μάθημα:  Μαθηματικά
Σχολικό εγχειρίδιο Άλγεβρας Β΄ Λυκείου χωρισμένο σε αξιώματα, θεωρήματα, παρατηρήσεις και ασκήσεις. Περιέχει στοιχεία Διανυσματικού Λογισμού που έχουν συγγραφεί από τον Ιωάννη Φ. Πανάκη. Το εγχειρίδιο ...
[Σχολικό Εγχειρίδιο]
Κ. Ιορδανίδης, Δ. Λ. Καραγεώργος, Κ. Κωστάκης, Α. Μακρίδης, Β. Νασόπουλος
Τάξη:  Β' Λυκείου
Μάθημα:  Μαθηματικά
Σχολικό εγχειρίδιο Μαθηματικών Β΄ Λυκείου που περιλαμβάνει Άλγεβρα και Τριγωνομετρία και είναι χωρισμένο σε θεωρήματα, παρατηρήσεις, παραδείγματα και ασκήσεις.
[Σχολικό Εγχειρίδιο]
Κ. Ιορδανίδης, Δ. Λ. Καραγεώργος, Κ. Κωστάκης, Α. Μακρίδης, Β. Νασόπουλος
Τάξη:  Β' Λυκείου
Μάθημα:  Μαθηματικά
Σχολικό εγχειρίδιο Μαθηματικών Β΄ Λυκείου που περιλαμβάνει Άλγεβρα και Τριγωνομετρία.
[Σχολικό Εγχειρίδιο]
Ιωάννης Φ. Πανάκης
Τάξη:  Β' Λυκείου
Μάθημα:  Μαθηματικά
Σχολικό εγχειρίδιο Τριγωνομετρίας για την Β΄ Λυκείου χωρισμένο σε προβλήματα, εφαρμογές και ασκήσεις. Το εγχειρίδιο μεταγλωττίστηκε στη δημοτική από τους Βασίλειο Θεοδωρακόπουλο, Απόστολο Ζορμπά και τον ...
[Σχολικό Εγχειρίδιο]
Ηλίας Β. Ντζιώρας
Τάξη:  Β' Λυκείου
Μάθημα:  Μαθηματικά
Σχολικό εγχειρίδιο Άλγεβρας Β΄ Λυκείου χωρισμένο σε αξιώματα, θεωρήματα, παρατηρήσεις και ασκήσεις που εστιάζει στα σύνολα, τις ακολουθίες και τις προόδους.