QR Code
01-19260
Γεώργιος Βάρβογλης

Οργανική Χημεία Γ΄ Λυκείου
[1979, 19η Έκδοση]

Σχολικό εγχειρίδιο Χημείας που προσδιορίζει βασικές έννοιες οργανικής χημείας (οργανικές ενώσεις, χημική ανάλυση, ονοματολογία και συμβολισμοί) καθώς γίνεται αναλυτική περιγραφή των ιδιοτήτων και των ενώσεων αμετάλλων, οξέων, αρωματικών υδρογονανθράκων.


TopΠΕΔΙΟ ΑΝΑΓΝΩΡΙΣΗΣ

Κωδικός αναγνώρισης: 01-19260

Τίτλος: Οργανική Χημεία Γ΄ Λυκείου

Συγγραφέας: Γεώργιος Βάρβογλης

Μέγεθος και υπόστρωμα: Σχολικό εγχειρίδιο, μαλακό εξώφυλλο, 235 σελίδες. Σχέδια και σχήματα (ασπρόμαυρα).

TopΠΕΔΙΟ ΠΕΡΙΕΧΟΜΕΝΟΥ

Βαθμίδα εκπαίδευσης: Δευτεροβάθμια

Τάξη: Γ' Λυκείου

Μάθημα: Χημεία

Γλώσσα: Δημοτική

Παρουσίαση περιεχομένου: Σχολικό εγχειρίδιο Χημείας που προσδιορίζει βασικές έννοιες οργανικής χημείας (οργανικές ενώσεις, χημική ανάλυση, ονοματολογία και συμβολισμοί) καθώς γίνεται αναλυτική περιγραφή των ιδιοτήτων και των ενώσεων αμετάλλων, οξέων, αρωματικών υδρογονανθράκων.

TopΠΕΔΙΟ ΠΛΗΡΟΦΟΡΙΩΝ ΕΚΔΟΣΗΣ

Εκδότης: Οργανισμός Εκδόσεως Διδακτικών Βιβλίων

Έτος έκδοσης: 1979

Τόπος έκδοσης: Αθήνα

Έκδοση: 19η

Υπουργική απόφαση / Σύμβαση: 3276/7-9-1979

Έτος έγκρισης: 1979

TopΠΕΔΙΟ ΠΑΡΑΤΗΡΗΣΕΩΝ

Εντοπισμός πρωτοτύπου: Ινστιτούτο Εκπαιδευτικής Πολιτικής

Κωδικός βιβλιοθήκης: 19260

TopΕΥΡΕΤΗΡΙΟ ΘΕΜΑΤΙΚΩΝ ΟΡΩΝ

Σχετιζόμενα πρόσωπα:

Σχετιζόμενοι όροι:


244 εγγραφές [41 - 60]
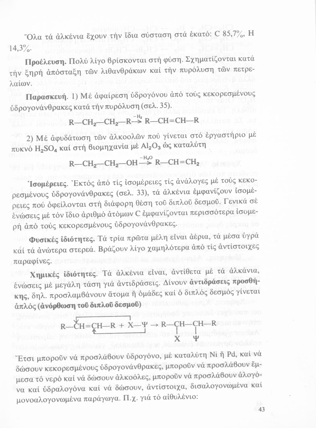
Σελίδα #039
Σελίδα #040
Σελίδα #041
Σελίδα #042
Σελίδα #043
Σελίδα #044
Σελίδα #045
Σελίδα #046
Σελίδα #047
Σελίδα #048
Σελίδα #049
Σελίδα #050
Σελίδα #051
Σελίδα #052
Σελίδα #053
Σελίδα #054
Σελίδα #055
Σελίδα #056
Σελίδα #057
Σελίδα #058
Σελίδα #059
Σελίδα #060
Σελίδα #061
Σελίδα #062
[Σχολικό Εγχειρίδιο]
Γεώργιος Βάρβογλης
Τάξη:  Γ' Λυκείου
Μάθημα:  Χημεία
Σχολικό εγχειρίδιο Χημείας που προσδιορίζει βασικές έννοιες οργανικής χημείας (οργανικές ενώσεις, χημική ανάλυση, ονοματολογία και συμβολισμοί). Στο βιβλίο γίνεται αναλυτική περιγραφή των ιδιοτήτων και των ...
[Σχολικό Εγχειρίδιο]
Γεώργιος Βάρβογλης
Τάξη:  Γ' Λυκείου
Μάθημα:  Χημεία
Σχολικό εγχειρίδιο Χημείας που προσδιορίζει βασικές έννοιες οργανικής χημείας (οργανικές ενώσεις, χημική ανάλυση, ονοματολογία και συμβολισμοί) καθώς γίνεται αναλυτική περιγραφή των ιδιοτήτων και των ενώσεων ...
[Σχολικό Εγχειρίδιο]
Γεώργιος Βάρβογλης
Τάξη:  Γ' Λυκείου
Μάθημα:  Χημεία
Το βιβλίο προσδιορίζει βασικές έννοιες οργανικής χημείας (οργανικές ενώσεις, χημική ανάλυση, ονοματολογία και συμβολισμοί) καθώς γίνεται αναλυτική περιγραφή των ιδιοτήτων και των ενώσεων αμετάλλων, οξέων, ...
[Σχολικό Εγχειρίδιο]
Γεώργιος Βάρβογλης
Τάξη:  Γ' Λυκείου
Μάθημα:  Χημεία
Σχολικό εγχειρίδιο Χημείας που προσδιορίζει βασικές έννοιες οργανικής χημείας (οργανικές ενώσεις, χημική ανάλυση, ονοματολογία και συμβολισμοί). Στο βιβλίο γίνεται αναλυτική περιγραφή των ιδιοτήτων και των ...
[Σχολικό Εγχειρίδιο]
Γεώργιος Βάρβογλης
Τάξη:  Γ' Λυκείου
Μάθημα:  Χημεία
Σχολικό εγχειρίδιο Χημείας για τους μαθητές της Γ΄ Λυκείου. Το βιβλίο εισάγει τους μαθητές στην οργανική χημεία, εξετάζει τις οργανικές ενώσεις του άνθρακα τις πρωτεΐνες και τα οξέα. Κλείνει παρουσιάζοντας ...
[Σχολικό Εγχειρίδιο]
Β. Νεράντζης, Π. Άκατος
Τάξη:  Εμπορικές και Επαγγελματικές Σχολές
Μάθημα:  Χημεία
Σχολικό εγχειρίδιο Χημείας για τους μαθητές της Γ΄ Λυκείου. Το βιβλίο εισάγει τους μαθητές στην οργανική χημεία, εξετάζει τις οργανικές ενώσεις του άνθρακα τις πρωτεΐνες και τα οξέα. Κλείνει παρουσιάζοντας ...
[Σχολικό Εγχειρίδιο]
Αλκίνοος Ε. Μάζης
Χημεία Γ΄ Γυμνασίου   [1976, 9η Έκδοση]
Τάξη:  Γ' Γυμνασίου
Μάθημα:  Χημεία
Σχολικό εγχειρίδιο Χημείας Γ΄ Γυμνασίου που περιέχει εισαγωγή στην οργανική χημεία και εστιάζει στους υδρογονάνθρακες, τα σάκχαρα και τα λιπαρά σώματα.
[Σχολικό Εγχειρίδιο]
Β. Καρώνης, Σ. Σερμπέτης, Θ. Φράσσαρης
Χημεία Γ΄ Γυμνασίου   [1980, 3η Έκδοση]
Τάξη:  Γ' Γυμνασίου
Μάθημα:  Χημεία
Σχολικό εγχειρίδιο Χημείας Γ΄ Γυμνασίου στο οποίο περιγράφονται τα είδη της χημικής ενέργειας (θερμοχημεία, ηλεκτροχημεία), προσδιορίζονται στοιχεία και ενώσεις οργανικής χημείας, στοιχεία και ιδιότητες ...
[Σχολικό Εγχειρίδιο]
Αλκίνοος Ε. Μάζης
Χημεία Γ΄ Γυμνασίου   [1975, 8η Έκδοση]
Τάξη:  Γ' Γυμνασίου
Μάθημα:  Χημεία
Σχολικό εγχειρίδιο Χημείας Γ΄ Γυμνασίου που περιέχει εισαγωγή στην οργανική χημεία και εστιάζει στους υδρογονάνθρακες, τα σάκχαρα και τα λιπαρά σώματα.
[Σχολικό Εγχειρίδιο]
Αλκίνοος Ε. Μάζης
Χημεία Γ΄ Γυμνασίου   [1968, 1η Έκδοση]
Τάξη:  Γ' Γυμνασίου
Μάθημα:  Χημεία
Σχολικό εγχειρίδιο Χημείας Γ΄ Γυμνασίου που περιέχει εισαγωγή στην οργανική και ανόργανη χημεία και εστιάζει στους υδρογονάνθρακες, τα σάκχαρα, τα λιπαρά σώματα, τα μέταλλα και τον άνθρακα. Φέρει το σύμβολο ...