QR Code
01-19288
Νείλος Σακελλαρίου

Άλγεβρα Δ΄, Ε΄ και ΣΤ΄ Γυμνασίου
[1975, 17η Έκδοση]

Σχολικό εγχειρίδιο Μαθηματικών Δ', Ε' και ΣΤ΄ τάξεων του Γυμνασίου που παρουσιάζει τις βασικές έννοιες της Άλγεβρας, εστιάζει τις ιδιότητες των αριθμών και περιέχει ασκήσεις εξισώσεων, λογαρίθμων και παραγώγων.


TopΠΕΔΙΟ ΑΝΑΓΝΩΡΙΣΗΣ

Κωδικός αναγνώρισης: 01-19288

Τίτλος: Άλγεβρα Δ΄, Ε΄ και ΣΤ΄ Γυμνασίου

Συγγραφέας: Νείλος Σακελλαρίου

Μέγεθος και υπόστρωμα: Σχολικό εγχειρίδιο, 20εκ., μαλακό εξώφυλλο, 358 σελίδες.

TopΠΕΔΙΟ ΠΕΡΙΕΧΟΜΕΝΟΥ

Βαθμίδα εκπαίδευσης: Δευτεροβάθμια

Τάξη: Δ' Γυμνασίου / Ε' Γυμνασίου / ΣΤ' Γυμνασίου

Μάθημα: Μαθηματικά

Γλώσσα: Απλή καθαρεύουσα

Παρουσίαση περιεχομένου: Σχολικό εγχειρίδιο Μαθηματικών Δ', Ε' και ΣΤ΄ τάξεων του Γυμνασίου που παρουσιάζει τις βασικές έννοιες της Άλγεβρας, εστιάζει τις ιδιότητες των αριθμών και περιέχει ασκήσεις εξισώσεων, λογαρίθμων και παραγώγων.

TopΠΕΔΙΟ ΠΛΗΡΟΦΟΡΙΩΝ ΕΚΔΟΣΗΣ

Εκδότης: Οργανισμός Εκδόσεως Διδακτικών Βιβλίων

Έτος έκδοσης: 1975

Τόπος έκδοσης: Αθήνα

Έκδοση: 17η

Υπουργική απόφαση / Σύμβαση: 2535/28-3-1975

Έτος έγκρισης: 1975

TopΠΕΔΙΟ ΠΑΡΑΤΗΡΗΣΕΩΝ

Εντοπισμός πρωτοτύπου: Ινστιτούτο Εκπαιδευτικής Πολιτικής

Κωδικός βιβλιοθήκης: 19288

TopΕΥΡΕΤΗΡΙΟ ΘΕΜΑΤΙΚΩΝ ΟΡΩΝ

Σχετιζόμενα πρόσωπα:

Σχετιζόμενοι όροι:


364 εγγραφές [181 - 200]
Σελίδα #181
Σελίδα #182
Σελίδα #183
Σελίδα #184
Σελίδα #185
Σελίδα #186
Σελίδα #187
Σελίδα #188
Σελίδα #189
Σελίδα #190
Σελίδα #191
Σελίδα #192
Σελίδα #193
Σελίδα #194
Σελίδα #195
Σελίδα #196
Σελίδα #197
Σελίδα #198
Σελίδα #199
Σελίδα #200
Σελίδα #201
Σελίδα #202
Σελίδα #203
Σελίδα #204
[Σχολικό Εγχειρίδιο]
Χρίστος Α. Μπαρμπαστάθης
Τάξη:  Δ' Γυμνασίου / Ε' Γυμνασίου / ΣΤ' Γυμνασίου
Μάθημα:  Μαθηματικά
Σχολικό εγχειρίδιο Γεωμετρίας για τις Α΄, Β΄, Γ΄ Γυμνασίου που είναι χωρισμένο σε Επιπεδομετρία και Στερεομετρία και περιλαμβάνει θεωρία και ασκήσεις.
[Σχολικό Εγχειρίδιο]
Θουκυδίδης, Κυριάκος Κοσμάς (σχόλια)
Τάξη:  Δ' Γυμνασίου / Ε' Γυμνασίου / ΣΤ' Γυμνασίου
Σχολικό εγχειρίδιο Αρχαίων Ελληνικών για τις Δ΄, Ε΄ και ΣΤ΄ Γυμνασίου που περιλαμβάνει εισαγωγή στη ζωή και το έργο του Θουκυδίδη, αποσπάσματα από το δεύτερο βιβλίο της Ιστορίας, πραγματολογικές παρατηρήσεις ...
[Μαθητικό Βοήθημα]
Γεώργιος Γαρδίκας
Τάξη:  Γ' Γυμνασίου / Δ' Γυμνασίου / Ε' Γυμνασίου / ΣΤ' Γυμνασίου
Σχολικό εγχειρίδιο Αρχαίων και Νέων Ελληνικών για τις Γ΄, Δ΄, Ε΄, ΣΤ΄ Γυμνασίου που παρουσιάζει τα είδη λογοτεχνίας και την εξέλιξη της ελληνικής γλώσσας από την εποχή του Όμηρου μέχρι την Ελληνική Επανάσταση.
[Σχολικό Εγχειρίδιο]
Θουκυδίδης, Χρίστος Παπαναστασίου (εισαγωγή, ερμηνευτικές σημειώσεις)
Τάξη:  Δ' Γυμνασίου / Ε' Γυμνασίου / ΣΤ' Γυμνασίου
Σχολικό εγχειρίδιο Αρχαίων Ελληνικών για τις Δ΄, Ε΄ και ΣΤ΄ Γυμνασίου παλαιού τύπου που περιλαμβάνει σύντομο βιογραφικό σημείωμα του Θουκυδίδη, περιγραφή του ιστορικού πλαισίου, αποσπάσματα από τα Πλαταϊκά, τα
[Σχολικό Εγχειρίδιο]
Νικόλαος Δ. Νικολάου
Τάξη:  Γ' Γυμνασίου / Δ' Γυμνασίου / Ε' Γυμνασίου / ΣΤ' Γυμνασίου
Μάθημα:  Μαθηματικά
Σχολικό εγχειρίδιο Γεωμετρίας για τις Γ΄, Δ΄, Ε΄, ΣΤ΄ Γυμνασίου που περιλαμβάνει θεωρία και ασκήσεις και είναι χωρισμένο σε Επιπεδομετρία και Στερεομετρία. Φέρει το σύμβολο της δικτατορίας.
[Σχολικό Εγχειρίδιο]
Νικόλαος Δ. Νικολάου
Τάξη:  Δ' Γυμνασίου / Ε' Γυμνασίου / ΣΤ' Γυμνασίου
Μάθημα:  Μαθηματικά
Σχολικό εγχειρίδιο Τριγωνομετρίας για τις Δ΄, Ε΄ και ΣΤ΄ Γυμνασίου που περιλαμβάνει θεωρία και ασκήσεις. Φέρει το σύμβολο της δικτατορίας.
[Σχολικό Εγχειρίδιο]
Νικόλαος Δ. Νικολάου
Τάξη:  Δ' Γυμνασίου / Ε' Γυμνασίου / ΣΤ' Γυμνασίου
Μάθημα:  Μαθηματικά
Σχολικό εγχειρίδιο Τριγωνομετρίας για τις Δ΄, Ε΄ και ΣΤ΄ Γυμνασίου που περιλαμβάνει θεωρία και ασκήσεις.
[Σχολικό Εγχειρίδιο]
Χρ. Γ. Παπανικολάου
Τάξη:  Γ' Γυμνασίου / Δ' Γυμνασίου / Ε' Γυμνασίου / ΣΤ' Γυμνασίου
Μάθημα:  Μαθηματικά
Σχετιζόμενοι όροι:  πολύγωνα, κύκλος, εμβαδόν, όγκος, προβολή
Σχολικό εγχειρίδιο Γεωμετρίας για τις Γ΄, Δ΄, Ε΄, ΣΤ΄ Γυμνασίου που περιλαμβάνει θεωρία και ασκήσεις και είναι χωρισμένο σε Επιπεδομετρία και Στερεομετρία.
[Σχολικό Εγχειρίδιο]
Σπ. Γ. Κανέλλος
Τάξη:  Δ' Γυμνασίου / Ε' Γυμνασίου / ΣΤ' Γυμνασίου
Μάθημα:  Μαθηματικά
Σχολικό εγχειρίδιο Γεωμετρίας για τις Δ΄, Ε΄ και ΣΤ΄ Γυμνασίου που περιλαμβάνει αξιώματα, θεωρήματα και κατασκευές και είναι χωρισμένο σε γεωμετρία επιπέδου και γεωμετρία χώρου.
[Σχολικό Εγχειρίδιο]
Ιωάν. Πανάκης
Τάξη:  Δ' Γυμνασίου / Ε' Γυμνασίου / ΣΤ' Γυμνασίου
Μάθημα:  Μαθηματικά
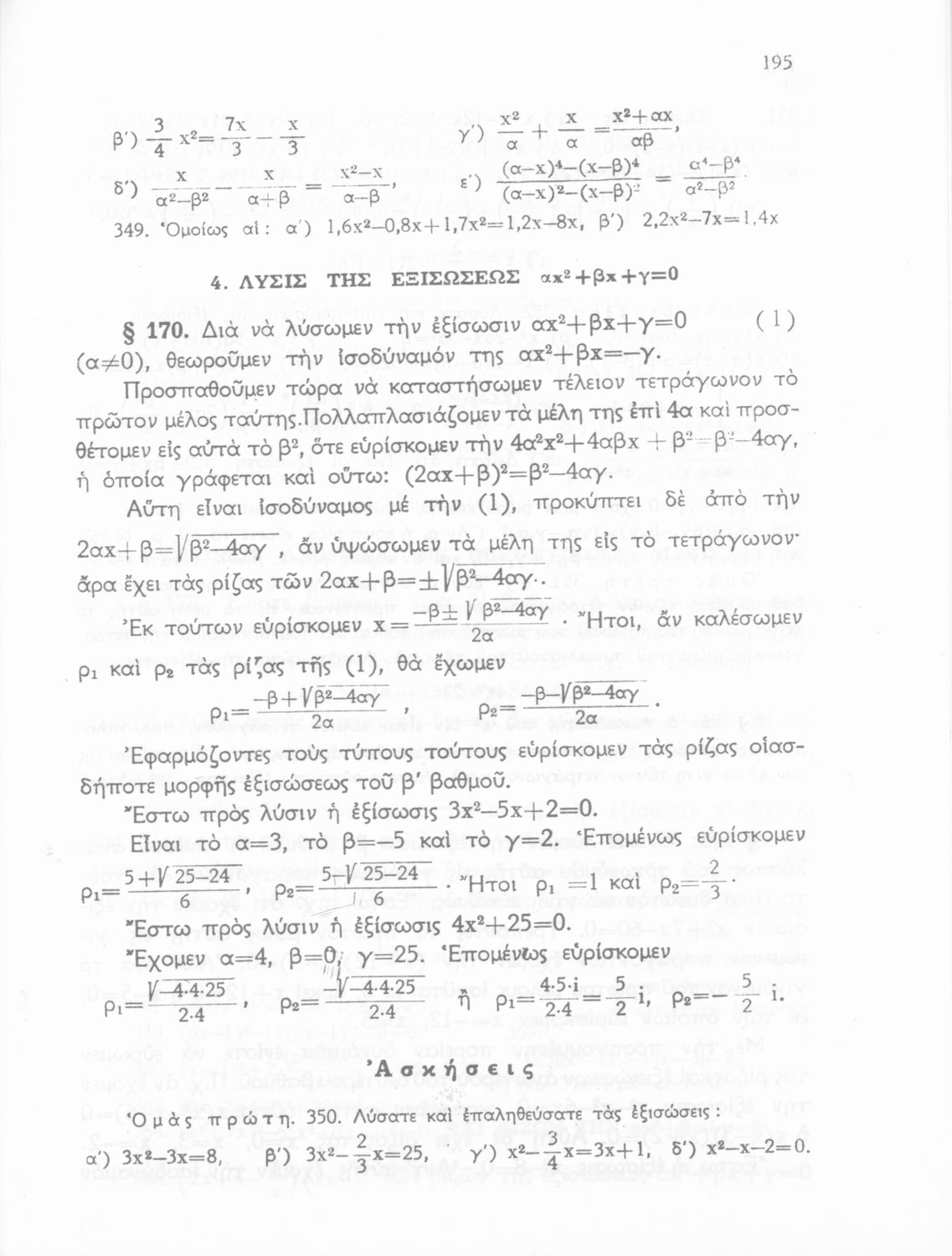
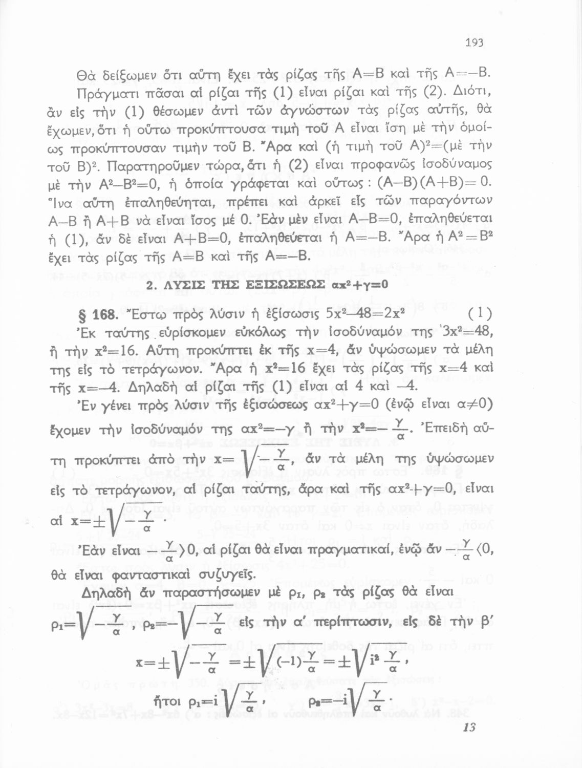
Σχολικό εγχειρίδιο Μαθηματικών για τις Δ΄, Ε΄ και ΣΤ΄ Γυμνασίου χωρισμένο σε θεωρήματα και ασκήσεις που εστιάζει στη Γεωμετρία. Φέρει το σύμβολο της δικτατορίας.