QR Code
01-19309
Γ. Μπούσγος, Ι. Ταμβακλής

Μαθηματικά Γ΄ Γυμνασίου, τόμος Γ΄
[1977, 3η Έκδοση]

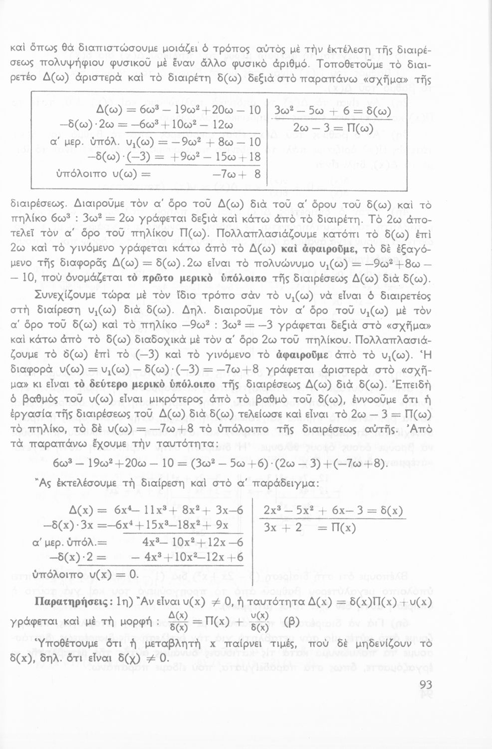
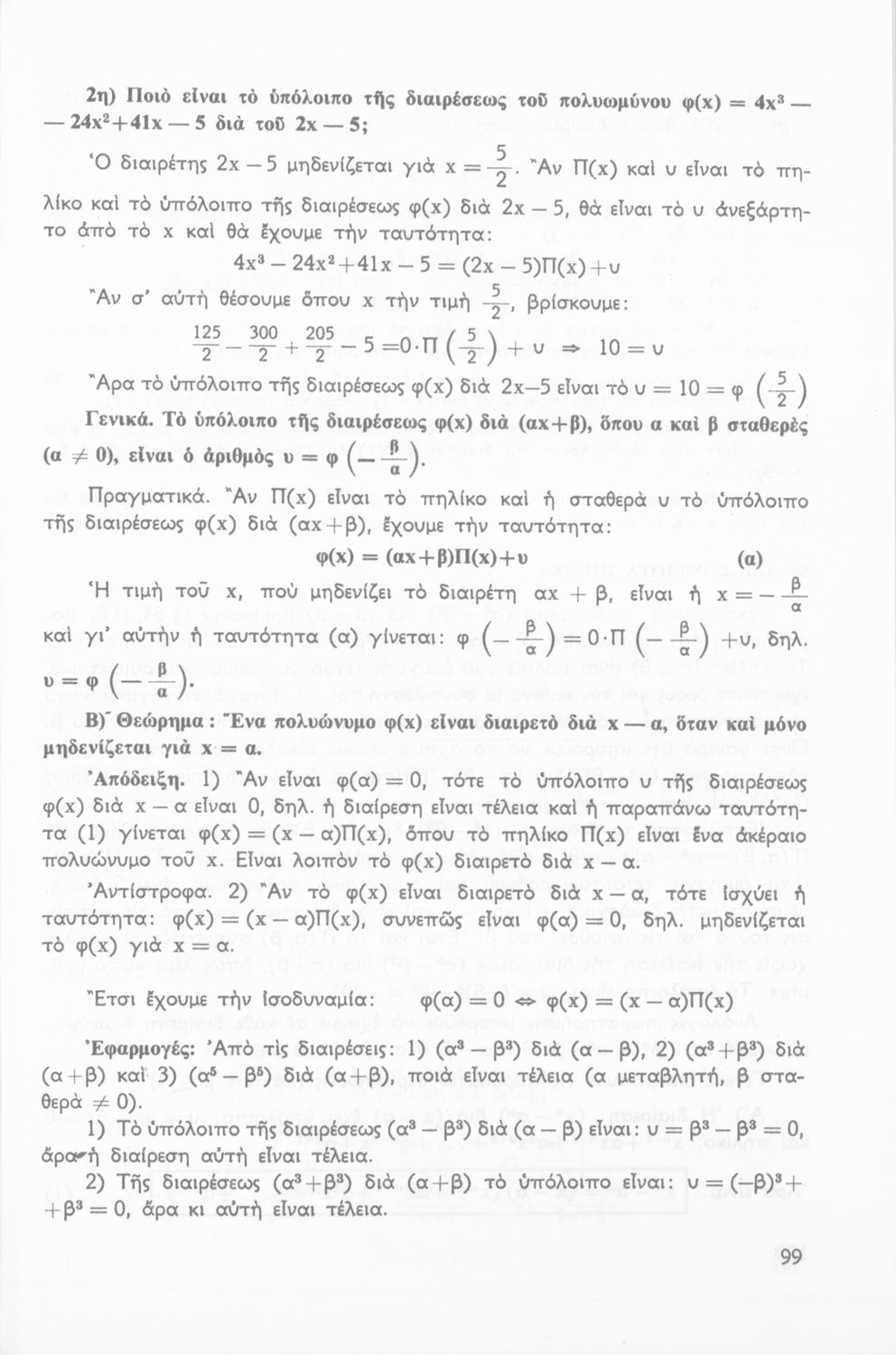
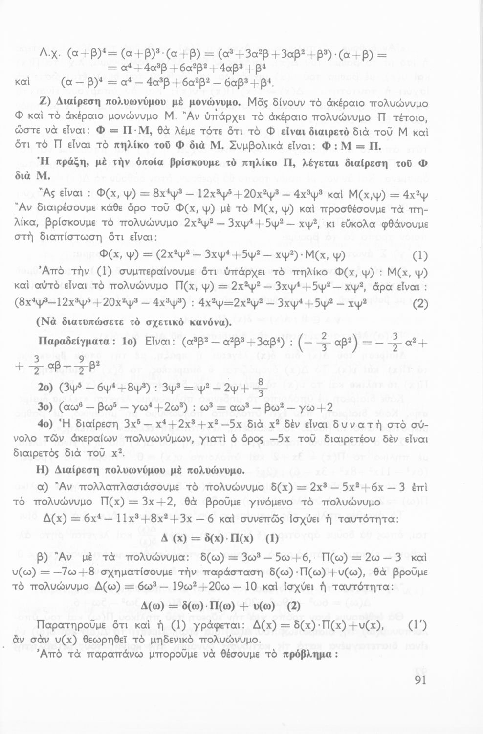
Σχολικό εγχειρίδιο Μαθηματικών Γ΄ Γυμνασίου που περιέχει θεωρία, παραδείγματα και ασκήσεις και περιλαμβάνει Άλγεβρα, Τριγωνομετρία και στοιχεία Περιγραφικής Στατιστικής. Το εγχειρίδιο μεταγλωττίστηκε στη δημοτική από τους Ε. Πλατή και Ιορδάνη Παπαδόπουλο.


TopΠΕΔΙΟ ΑΝΑΓΝΩΡΙΣΗΣ

Κωδικός αναγνώρισης: 01-19309

Τίτλος: Μαθηματικά Γ΄ Γυμνασίου, τόμος Γ΄

Συγγραφέας: Γ. Μπούσγος, Ι. Ταμβακλής

Μέγεθος και υπόστρωμα: Σχολικό εγχειρίδιο, 23εκ., μαλακό εξώφυλλο, 222 σελίδες.

TopΠΕΔΙΟ ΠΕΡΙΕΧΟΜΕΝΟΥ

Βαθμίδα εκπαίδευσης: Δευτεροβάθμια

Τάξη: Γ' Γυμνασίου

Μάθημα: Μαθηματικά

Γλώσσα: Δημοτική

Παρουσίαση περιεχομένου: Σχολικό εγχειρίδιο Μαθηματικών Γ΄ Γυμνασίου που περιέχει θεωρία, παραδείγματα και ασκήσεις και περιλαμβάνει Άλγεβρα, Τριγωνομετρία και στοιχεία Περιγραφικής Στατιστικής. Το εγχειρίδιο μεταγλωττίστηκε στη δημοτική από τους Ε. Πλατή και Ιορδάνη Παπαδόπουλο.

TopΠΕΔΙΟ ΠΛΗΡΟΦΟΡΙΩΝ ΕΚΔΟΣΗΣ

Εκδότης: Οργανισμός Εκδόσεως Διδακτικών Βιβλίων

Έτος έκδοσης: 1977

Τόπος έκδοσης: Αθήνα

Έκδοση:

Υπουργική απόφαση / Σύμβαση: 2828/13-4-1977

Έτος έγκρισης: 1977

TopΠΕΔΙΟ ΠΑΡΑΤΗΡΗΣΕΩΝ

Εντοπισμός πρωτοτύπου: Ινστιτούτο Εκπαιδευτικής Πολιτικής

Κωδικός βιβλιοθήκης: 19309

TopΕΥΡΕΤΗΡΙΟ ΘΕΜΑΤΙΚΩΝ ΟΡΩΝ

Σχετιζόμενα πρόσωπα:

Σχετιζόμενοι όροι:


228 εγγραφές [81 - 100]
Σελίδα #081
Σελίδα #082
Σελίδα #083
Σελίδα #084
Σελίδα #085
Σελίδα #086
Σελίδα #087
Σελίδα #088
Σελίδα #089
Σελίδα #090
Σελίδα #091
Σελίδα #092
Σελίδα #093
Σελίδα #094
Σελίδα #095
Σελίδα #096
Σελίδα #097
Σελίδα #098
Σελίδα #099
Σελίδα #100
Σελίδα #101
Σελίδα #102
Σελίδα #103
Σελίδα #104
[Σχολικό Εγχειρίδιο]
Γ. Μπούσγος, Ι. Ταμβακλής, Παν. Ηλιάδης (επιμέλεια)
Τάξη:  Γ' Γυμνασίου
Μάθημα:  Μαθηματικά
Σχολικό εγχειρίδιο Μαθηματικών Γ΄ Γυμνασίου που περιλαμβάνει θεωρία, παραδείγματα και ασκήσεις. Φέρει το σύμβολο της δικτατορίας.
[Σχολικό Εγχειρίδιο]
Γ. Μπούσγος, Ι. Ταμβακλής
Τάξη:  Γ' Γυμνασίου
Μάθημα:  Μαθηματικά
Σχολικό εγχειρίδιο Μαθηματικών Γ΄ Γυμνασίου που περιέχει θεωρία, παραδείγματα και ασκήσεις και περιλαμβάνει Άλγεβρα, Τριγωνομετρία και στοιχεία Περιγραφικής Στατιστικής.
[Σχολικό Εγχειρίδιο]
Ι. Ιωαννίδης, Ηλίας Ντζιώρας (επιμέλεια)
Τάξη:  Γ' Γυμνασίου
Μάθημα:  Μαθηματικά
Σχολικό εγχειρίδιο Μαθηματικών Γ΄ Γυμνασίου που εστιάζει στη Γεωμετρία. Φέρει το σύμβολο της δικτατορίας.
[Σχολικό Εγχειρίδιο]
Ιωάν. Πανάκης
Τάξη:  Ε' Γυμνασίου
Μάθημα:  Μαθηματικά
Σχολικό εγχειρίδιο Μαθηματικών για την Ε΄ Γυμνασίου, χωρισμένο σε προβλήματα, εφαρμογές και ασκήσεις, που εστιάζει στην Τριγωνομετρία. Φέρει το σύμβολο της δικτατορίας.
[Σχολικό Εγχειρίδιο]
Γ. Μπούσγος, Ι. Ταμβακλής, Παν. Ηλιάδης (επιμέλεια)
Τάξη:  Γ' Γυμνασίου
Μάθημα:  Μαθηματικά
Σχολικό εγχειρίδιο Μαθηματικών Γ΄ Γυμνασίου που περιλαμβάνει θεωρία, παραδείγματα και ασκήσεις. Φέρει το σύμβολο της δικτατορίας.
[Σχολικό Εγχειρίδιο]
Γ. Μπούσγος, Ι. Ταμβακλής, Παν. Ηλιάδης (επιμέλεια)
Τάξη:  Γ' Γυμνασίου
Μάθημα:  Μαθηματικά
Σχολικό εγχειρίδιο μαθηματικών Γ΄ Γυμνασίου που περιλαμβάνει θεωρία, παραδείγματα και ασκήσεις. Φέρει το σύμβολο της δικτατορίας.
[Σχολικό Εγχειρίδιο]
Γ. Μπούσγος, Ι. Ταμβακλής, Παν. Ηλιάδης (επιμέλεια)
Τάξη:  Γ' Γυμνασίου
Μάθημα:  Μαθηματικά
Σχολικό εγχειρίδιο Μαθηματικών Γ΄ Γυμνασίου που περιλαμβάνει θεωρία, παραδείγματα και ασκήσεις. Φέρει το σύμβολο της δικτατορίας.
[Σχολικό Εγχειρίδιο]
Ι. Ιωαννίδης
Τάξη:  Γ' Γυμνασίου
Μάθημα:  Μαθηματικά
Σχολικό εγχειρίδιο Μαθηματικών Γ΄ Γυμνασίου που εστιάζει στη Γεωμετρία. Φέρει το σύμβολο της δικτατορίας. Ο συγγραφέας ήταν επιμελητής στο ΕΜΠ.
[Σχολικό Εγχειρίδιο]
Γ. Μπούσγος, Ι. Ταμβακλής, Παν. Ηλιάδης (επιμέλεια)
Τάξη:  Γ' Γυμνασίου
Μάθημα:  Μαθηματικά
Σχολικό εγχειρίδιο Μαθηματικών Γ΄ Γυμνασίου που περιλαμβάνει θεωρία, παραδείγματα και ασκήσεις. Φέρει το σύμβολο της δικτατορίας.
[Σχολικό Εγχειρίδιο]
Γ. Μπούσγος, Ι. Ταμβακλής
Τάξη:  Γ' Γυμνασίου
Μάθημα:  Μαθηματικά
Σχολικό εγχειρίδιο Μαθηματικών Γ΄ Γυμνασίου που περιέχει θεωρία, παραδείγματα και ασκήσεις και περιλαμβάνει Άλγεβρα, Τριγωνομετρία και στοιχεία Περιγραφικής Στατιστικής. Το εγχειρίδιο μεταγλωττίστηκε από τον ...