QR Code
01-19504
Δ. Παπαμιχαήλ, Σ. Μπαλής, Χρ. Γιαννίκος, Δ. Νοταράς, Κ. Σολδάτος

Μαθηματικά Γ΄ Γυμνασίου, τεύχος Β΄
[1978, 2η Έκδοση]

Σχολικό εγχειρίδιο Μαθηματικών Γ΄ Γυμνασίου που εστιάζει στις συναρτήσεις και τις εξισώσεις και αναλύει θέματα στατιστικής και πιθανοτήτων και τις εφαρμογές τους στους ηλεκτρονικούς υπολογιστές και τον ηλεκτρονικό προγραμματισμό.


TopΠΕΔΙΟ ΑΝΑΓΝΩΡΙΣΗΣ

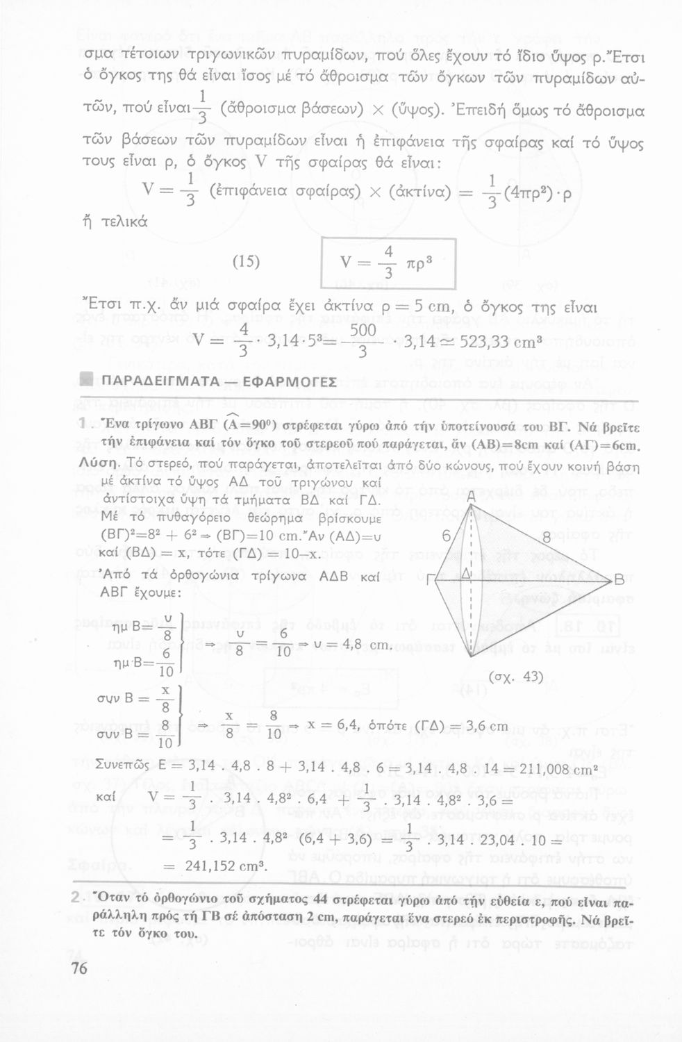
Κωδικός αναγνώρισης: 01-19504

Τίτλος: Μαθηματικά Γ΄ Γυμνασίου, τεύχος Β΄

Συγγραφέας: Δ. Παπαμιχαήλ, Σ. Μπαλής, Χρ. Γιαννίκος, Δ. Νοταράς, Κ. Σολδάτος

Μέγεθος και υπόστρωμα: Σχολικό εγχειρίδιο, 23εκ., μαλακό εξώφυλλο, 196 σελίδες. Σκίτσα (ασπρόμαυρα).

TopΠΕΔΙΟ ΠΕΡΙΕΧΟΜΕΝΟΥ

Τάξη: Γ' Γυμνασίου

Μάθημα: Μαθηματικά

Γλώσσα: Δημοτική

Παρουσίαση περιεχομένου: Σχολικό εγχειρίδιο Μαθηματικών Γ΄ Γυμνασίου που εστιάζει στις συναρτήσεις και τις εξισώσεις και αναλύει θέματα στατιστικής και πιθανοτήτων και τις εφαρμογές τους στους ηλεκτρονικούς υπολογιστές και τον ηλεκτρονικό προγραμματισμό.

TopΠΕΔΙΟ ΠΛΗΡΟΦΟΡΙΩΝ ΕΚΔΟΣΗΣ

Εκδότης: Οργανισμός Εκδόσεως Διδακτικών Βιβλίων

Έτος έκδοσης: 1978

Τόπος έκδοσης: Αθήνα

Έκδοση:

TopΠΕΔΙΟ ΠΑΡΑΤΗΡΗΣΕΩΝ

Εντοπισμός πρωτοτύπου: Ινστιτούτο Εκπαιδευτικής Πολιτικής

Κωδικός βιβλιοθήκης: 19504

TopΕΥΡΕΤΗΡΙΟ ΘΕΜΑΤΙΚΩΝ ΟΡΩΝ

Σχετιζόμενα πρόσωπα:

Σχετιζόμενοι όροι:


204 εγγραφές [61 - 80]
Σελίδα #059
Σελίδα #060
Σελίδα #061
Σελίδα #062
Σελίδα #063
Σελίδα #064
Σελίδα #065
Σελίδα #066
Σελίδα #067
Σελίδα #068
Σελίδα #069
Σελίδα #070
Σελίδα #071
Σελίδα #072
Σελίδα #073
Σελίδα #074
Σελίδα #075
Σελίδα #076
Σελίδα #077
Σελίδα #078
Σελίδα #079
Σελίδα #080
Σελίδα #081
Σελίδα #082
[Μαθητικό Βοήθημα]
Γεώργιος Κ. Μπούσγος
Τάξη:  Β' Γυμνασίου
Μάθημα:  Μαθηματικά
Μαθητικό βοήθημα Μαθηματικών Β΄ Γυμνασίου που περιλαμβάνει εξισώσεις και ανισώσεις, διανύσματα και θεωρία συνόλων.
[Σχολικό Εγχειρίδιο]
Μ. Καλομοίρης, Φ. Οικονομίδης
Τάξη:  Α' Γυμνασίου / Β' Γυμνασίου / Γ' Γυμνασίου / Δ' Γυμνασίου / Πρακτικό Λύκειο / Διδασκαλείο
Μάθημα:  Μουσική
Σχολικό εγχειρίδιο Μουσικής για τις Α΄, Β΄, Γ΄, Δ΄ τάξη Γυμνασίου, Πρακτικών Λυκείων και Διδασκαλείων που περιλαμβάνει θεωρία, μελωδικές ασκήσεις καθώς και σχολικά τραγούδια. Ο συγγραφέας ήταν καθηγητής της ...
[Σχολικό Εγχειρίδιο]
Δ. Παπαμιχαήλ, Α. Σκιαδάς
Τάξη:  Γ' Γυμνασίου
Μάθημα:  Μαθηματικά
Σχολικό εγχειρίδιο Γεωμετρίας Γ΄ Γυμνασίου χωρισμένο σε θεωρήματα, λυμένες ασκήσεις, ασκήσεις και επαναλήψεις κεφαλαίου. Περιέχει ένα παράρτημα με επαναληπτικά μαθήματα και ένα με ευρετήριο όρων.
[Σχολικό Εγχειρίδιο]
Δ. Παπαμιχαήλ, Σ. Μπαλής, Χρ. Γιαννίκος, Δ. Νοταράς, Κ. Σολδάτος
Τάξη:  Β' Γυμνασίου
Μάθημα:  Μαθηματικά
Σχολικό εγχειρίδιο Μαθηματικών Β΄ Γυμνασίου που περιέχει Άλγεβρα και Γεωμετρία.
[Σχολικό Εγχειρίδιο]
Δ. Παπαμιχαήλ, Σ. Μπαλής, Χρ. Γιαννίκος, Δ. Νοταράς, Κ. Σολδάτος
Τάξη:  Γ' Γυμνασίου
Μάθημα:  Μαθηματικά
Σχολικό εγχειρίδιο Μαθηματικών Γ΄ Γυμνασίου που περιέχει Άλγεβρα και Γεωμετρία.
[Μαθητικό Βοήθημα]
Χρήστος Γ. Παπανικολάου
Τάξη:  Α' Λυκείου
Μάθημα:  Μαθηματικά
Σχετιζόμενοι όροι:  σχήματα, τρίγωνα, κριτήρια, θεώρημα
Μαθητικό βοήθημα Γεωμετρίας Α΄ Λυκείου που περιέχει τις λύσεις των ασκήσεων 149-305 του βιβλίου Ευκλείδειος Γεωμετρία για τις τάξεις Α΄, Β΄ και Γ΄ Λυκείου του Ο.Ε.Δ.Β που είχε συγγράψει ο Χρήστος Γ. ...
[Μαθητικό Βοήθημα]
Αθανάσιος Ι. Κεφαλιάκος
Τάξη:  Ε' Γυμνασίου / ΣΤ' Γυμνασίου
Μάθημα:  Μαθηματικά
Μαθητικό βοήθημα Γεωμετρίας για τις Ε΄ και ΣΤ΄ Γυμνασίου με τις αποδείξεις των αναπόδεικτων πορισμάτων και τις λύσεις των ασκήσεων που περιέχονται στο Α΄ και Β΄ βιβλίο Γεωμετρίας του Ν. Νικολάου.
[Μαθητικό Βοήθημα]
Αθανάσιος Ι. Κεφαλιάκος
Τάξη:  Ζ' Γυμνασίου
Μάθημα:  Μαθηματικά
Μαθητικό βοήθημα Γεωμετρίας για τη Ζ΄ των Οκταταξίων Γυμνασίων με τις αποδείξεις των αναπόδεικτων πορισμάτων και τις λύσεις των ασκήσεων που περιέχονται στο Γ΄ και Δ΄ βιβλίο Γεωμετρίας του Ν. Νικολάου.
[Μαθητικό Βοήθημα]
Ελευθέριος Τριαντ. Κούσης
Τάξη:  Β' Γυμνασίου / Γ' Γυμνασίου / Δ' Γυμνασίου
Μαθητικό βοήθημα Αρχαίων Ελληνικών για τη Β΄, Γ΄, Δ΄ Γυμνασίου που περιέχει θέματα από την νέα ελληνική στην αρχαία για την εκμάθηση της γλώσσας, τους κανόνες της γραμματικής και του συντακτικού.
[Σχολικό Εγχειρίδιο]
Νικόλαος Π. Λέκος
Τάξη:  Α' Ελληνικού Σχολείου / Β' Ελληνικού Σχολείου / Γ' Ελληνικού Σχολείου / Παρθεναγωγείο / Εμπορικές και Πρακτικές Σχολές
Μάθημα:  Μαθηματικά
Σχολικό εγχειρίδιο Γεωμετρίας για τα Ελληνικά Σχολεία και Παρθεναγωγεία με έντονο πρακτικό προσανατολισμό.