QR Code
01-19507
Κ. Ιορδανίδης, Δ. Λ. Καραγεώργος, Κ. Κωστάκης, Α. Μακρίδης, Β. Νασόπουλος

Μαθηματικά ύλη επιλογής Β΄ Λυκείου, τεύχος Β΄
[1979, 1η Έκδοση]

Σχολικό εγχειρίδιο Μαθηματικών Β΄ Λυκείου που περιλαμβάνει Άλγεβρα και Τριγωνομετρία και είναι χωρισμένο σε θεωρήματα, παρατηρήσεις, παραδείγματα και ασκήσεις.


TopΠΕΔΙΟ ΑΝΑΓΝΩΡΙΣΗΣ

Κωδικός αναγνώρισης: 01-19507

Τίτλος: Μαθηματικά ύλη επιλογής Β΄ Λυκείου, τεύχος Β΄

Συγγραφέας: Κ. Ιορδανίδης, Δ. Λ. Καραγεώργος, Κ. Κωστάκης, Α. Μακρίδης, Β. Νασόπουλος

Μέγεθος και υπόστρωμα: Σχολικό εγχειρίδιο, 23εκ., μαλακό εξώφυλλο, 119 σελίδες.

TopΠΕΔΙΟ ΠΕΡΙΕΧΟΜΕΝΟΥ

Βαθμίδα εκπαίδευσης: Δευτεροβάθμια

Τάξη: Β' Λυκείου

Μάθημα: Μαθηματικά

Γλώσσα: Δημοτική

Παρουσίαση περιεχομένου: Σχολικό εγχειρίδιο Μαθηματικών Β΄ Λυκείου που περιλαμβάνει Άλγεβρα και Τριγωνομετρία και είναι χωρισμένο σε θεωρήματα, παρατηρήσεις, παραδείγματα και ασκήσεις.

TopΠΕΔΙΟ ΠΛΗΡΟΦΟΡΙΩΝ ΕΚΔΟΣΗΣ

Εκδότης: Οργανισμός Εκδόσεως Διδακτικών Βιβλίων

Έτος έκδοσης: 1979

Τόπος έκδοσης: Αθήνα

Έκδοση:

Υπουργική απόφαση / Σύμβαση: 3168/8-2-1979

Έτος έγκρισης: 1979

TopΠΕΔΙΟ ΠΑΡΑΤΗΡΗΣΕΩΝ

Εντοπισμός πρωτοτύπου: Ινστιτούτο Εκπαιδευτικής Πολιτικής

Κωδικός βιβλιοθήκης: 19507

TopΕΥΡΕΤΗΡΙΟ ΘΕΜΑΤΙΚΩΝ ΟΡΩΝ

Σχετιζόμενα πρόσωπα:

Σχετιζόμενοι όροι:


124 εγγραφές [61 - 80]
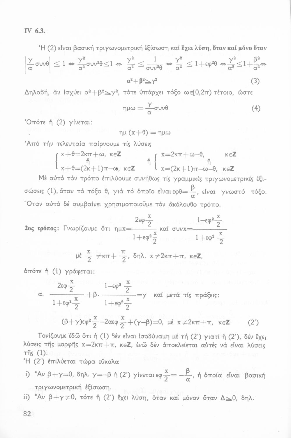
Σελίδα #059
Σελίδα #060
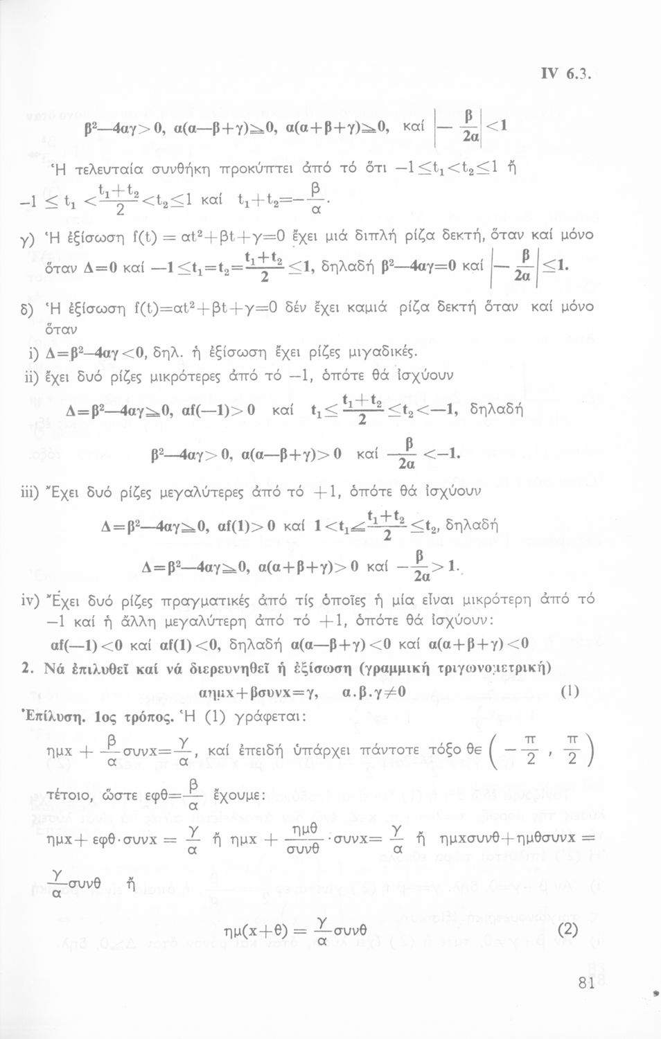
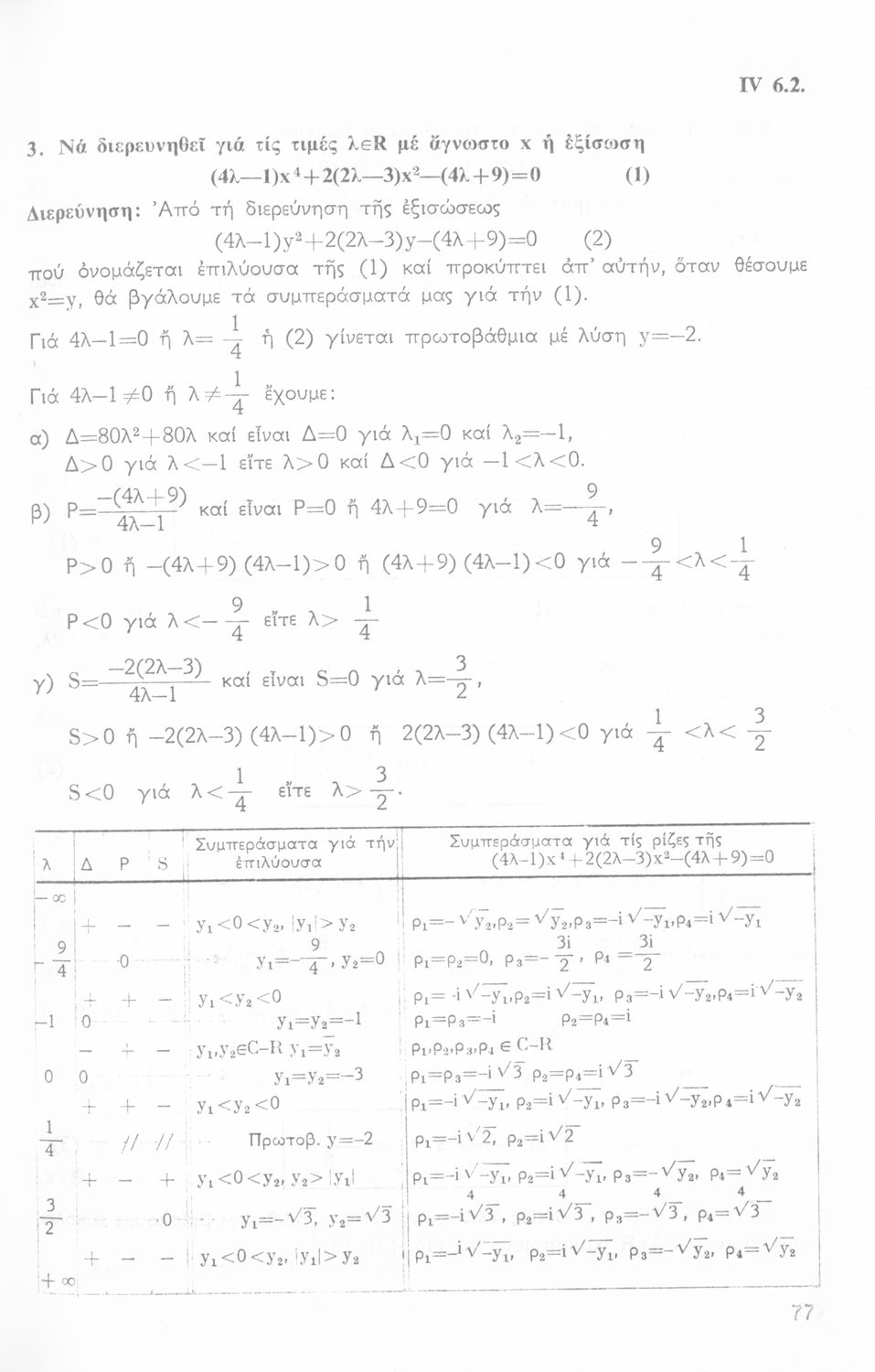
Σελίδα #061
Σελίδα #062
Σελίδα #063
Σελίδα #064
Σελίδα #065
Σελίδα #066
Σελίδα #067
Σελίδα #068
Σελίδα #069
Σελίδα #070
Σελίδα #071
Σελίδα #072
Σελίδα #073
Σελίδα #074
Σελίδα #075
Σελίδα #076
Σελίδα #077
Σελίδα #078
Σελίδα #079
Σελίδα #080
Σελίδα #081
Σελίδα #082
[Σχολικό Εγχειρίδιο]
Κ. Ιορδανίδης, Δ. Λ. Καραγεώργος, Κ. Κωστάκης, Α. Μακρίδης, Β. Νασόπουλος
Τάξη:  Β' Λυκείου
Μάθημα:  Μαθηματικά
Σχολικό εγχειρίδιο Μαθηματικών Β΄ Λυκείου χωρισμένο σε θεωρία, παρατηρήσεις, παραδείγματα και ασκήσεις.
[Σχολικό Εγχειρίδιο]
Κ. Ιορδανίδης, Δ. Λ. Καραγεώργος, Κ. Κωστάκης, Α. Μακρίδης, Β. Νασόπουλος
Τάξη:  Β' Λυκείου
Μάθημα:  Μαθηματικά
Σχολικό εγχειρίδιο Μαθηματικών Β΄ Λυκείου που εστιάζει στην Άλγεβρα.
[Άλλο]
Υπουργείο Εθνικής Παιδείας & Θρησκευμάτων
Έκδοση του Υπουργείου Εθνικής Παιδείας και Θρησκευμάτων που καθορίζει την εξεταστέα ύλη για την απόκτηση του ακαδημαϊκού απολυτηρίου και τον τρόπο διενέργειας εξετάσεων και επιλογής υποψηφίων για τις ανώτατες ...
[Άλλο]
Υπουργείο Εθνικής Παιδείας & Θρησκευμάτων
Έκδοση του Υπουργείου Εθνικής Παιδείας και Θρησκευμάτων που καθορίζει την εξεταστέα ύλη για την απόκτηση του ακαδημαϊκού απολυτηρίου και τον τρόπο διενέργειας εξετάσεων και επιλογής υποψηφίων για τις ανώτατες ...
[Σχολικό Εγχειρίδιο]
Κ. Ιορδανίδης, Δ. Λ. Καραγεώργος, Κ. Κωστάκης, Α. Μακρίδης, Β. Νασόπουλος
Τάξη:  Β' Λυκείου
Μάθημα:  Μαθηματικά
Σχολικό εγχειρίδιο Μαθηματικών Β΄ Λυκείου που περιλαμβάνει Άλγεβρα και Τριγωνομετρία.
[Άλλο]
Υπουργείο Εθνικής Παιδείας & Θρησκευμάτων
Έκδοση του Υπουργείου Εθνικής Παιδείας και Θρησκευμάτων που καθορίζει την εξεταστέα ύλη για την απόκτηση του ακαδημαϊκού απολυτηρίου και τον τρόπο διενέργειας εξετάσεων και επιλογής υποψηφίων για τις ανώτατες ...
[Σχολικό Εγχειρίδιο]
Κ. Ιορδανίδης, Δ. Λ. Καραγεώργος, Κ. Κωστάκης, Α. Μακρίδης, Β. Νασόπουλος
Τάξη:  Β' Λυκείου
Μάθημα:  Μαθηματικά
Σχολικό εγχειρίδιο Μαθηματικών Β΄ Λυκείου που περιλαμβάνει Άλγεβρα και Τριγωνομετρία.
[Σχολικό Εγχειρίδιο]
Ν. Βαρουχάκης, Λ. Αδαμόπουλος, Ν. Αλεξανδρής, Δ. Α. Παπακωνσταντίνου, Α. Παπαμικρούλης
Τάξη:  Α' Λυκείου
Μάθημα:  Μαθηματικά
Σχολικό εγχειρίδιο Άλγεβρας Α΄ Λυκείου που είναι χωρισμένο σε αξιώματα, πορίσματα, παραδείγματα και ασκήσεις και εστιάζει στις συναρτήσεις και τις εξισώσεις. Περιέχει παράρτημα με τις λύσεις των ασκήσεων.
[Σχολικό Εγχειρίδιο]
Κ. Ιορδανίδης, Δ. Λ. Καραγεώργος, Κ. Κωστάκης, Α. Μακρίδης, Β. Νασόπουλος
Τάξη:  Β' Λυκείου
Μάθημα:  Μαθηματικά
Σχολικό εγχειρίδιο Μαθηματικών Β΄ Λυκείου που περιλαμβάνει Άλγεβρα και Τριγωνομετρία.
[Σχολικό Εγχειρίδιο]
Αικατερίνη Χριστοφιλοπούλου
Τάξη:  Β' Λυκείου
Μάθημα:  Ιστορία
Σχολικό εγχειρίδιο Ιστορίας Β΄ Λυκείου που αποτελεί εισαγωγή στην ιστοριογραφία και την επιστήμη της ιστορίας και αναλύει τα είδη των ιστορικών πηγών.