QR Code
01-19619
Αλκίνοος Μάζης

Φυσική Γ΄ Λυκείου Συμπλήρωμα
[1979, 19η Έκδοση]

Σχολικό εγχειρίδιο Φυσικής Γ΄ Λυκείου που περιλαμβάνει θεωρία και ασκήσεις στα πεδία της μηχανικής, της οπτικής, της ακουστικής, του ηλεκτρισμού καθώς και ατομικής και πυρηνικής φυσικής.


TopΠΕΔΙΟ ΑΝΑΓΝΩΡΙΣΗΣ

Κωδικός αναγνώρισης: 01-19619

Τίτλος: Φυσική Γ΄ Λυκείου Συμπλήρωμα

Συγγραφέας: Αλκίνοος Μάζης

Μέγεθος και υπόστρωμα: Σχολικό εγχειρίδιο, μαλακό εξώφυλλο, 192 σελίδες. Εικόνες, σκίτσα, έγχρωμα.

TopΠΕΔΙΟ ΠΕΡΙΕΧΟΜΕΝΟΥ

Βαθμίδα εκπαίδευσης: Δευτεροβάθμια

Τάξη: Γ' Λυκείου

Μάθημα: Φυσική

Γλώσσα: Δημοτική

Παρουσίαση περιεχομένου: Σχολικό εγχειρίδιο Φυσικής Γ΄ Λυκείου που περιλαμβάνει θεωρία και ασκήσεις στα πεδία της μηχανικής, της οπτικής, της ακουστικής, του ηλεκτρισμού καθώς και ατομικής και πυρηνικής φυσικής.

TopΠΕΔΙΟ ΠΛΗΡΟΦΟΡΙΩΝ ΕΚΔΟΣΗΣ

Εκδότης: Οργανισμός Εκδόσεως Διδακτικών Βιβλίων

Έτος έκδοσης: 1979

Τόπος έκδοσης: Αθήνα

Έκδοση: 19η

Υπουργική απόφαση / Σύμβαση: 3261/ 3-8-1979

Έτος έγκρισης: 1979

TopΠΕΔΙΟ ΠΑΡΑΤΗΡΗΣΕΩΝ

Εντοπισμός πρωτοτύπου: Ινστιτούτο Εκπαιδευτικής Πολιτικής

Κωδικός βιβλιοθήκης: 19619

TopΕΥΡΕΤΗΡΙΟ ΘΕΜΑΤΙΚΩΝ ΟΡΩΝ

Σχετιζόμενα πρόσωπα:

Σχετιζόμενοι όροι:


196 εγγραφές [1 - 20]
Εξώφυλλο
Εξώφυλλο
Σελίδα #001
Σελίδα #002
Σελίδα #003
Σελίδα #004
Σελίδα #005
Σελίδα #006
Σελίδα #007
Σελίδα #008
Σελίδα #009
Σελίδα #010
Σελίδα #011
Σελίδα #012
Σελίδα #013
Σελίδα #014
Σελίδα #015
Σελίδα #016
Σελίδα #017
Σελίδα #018
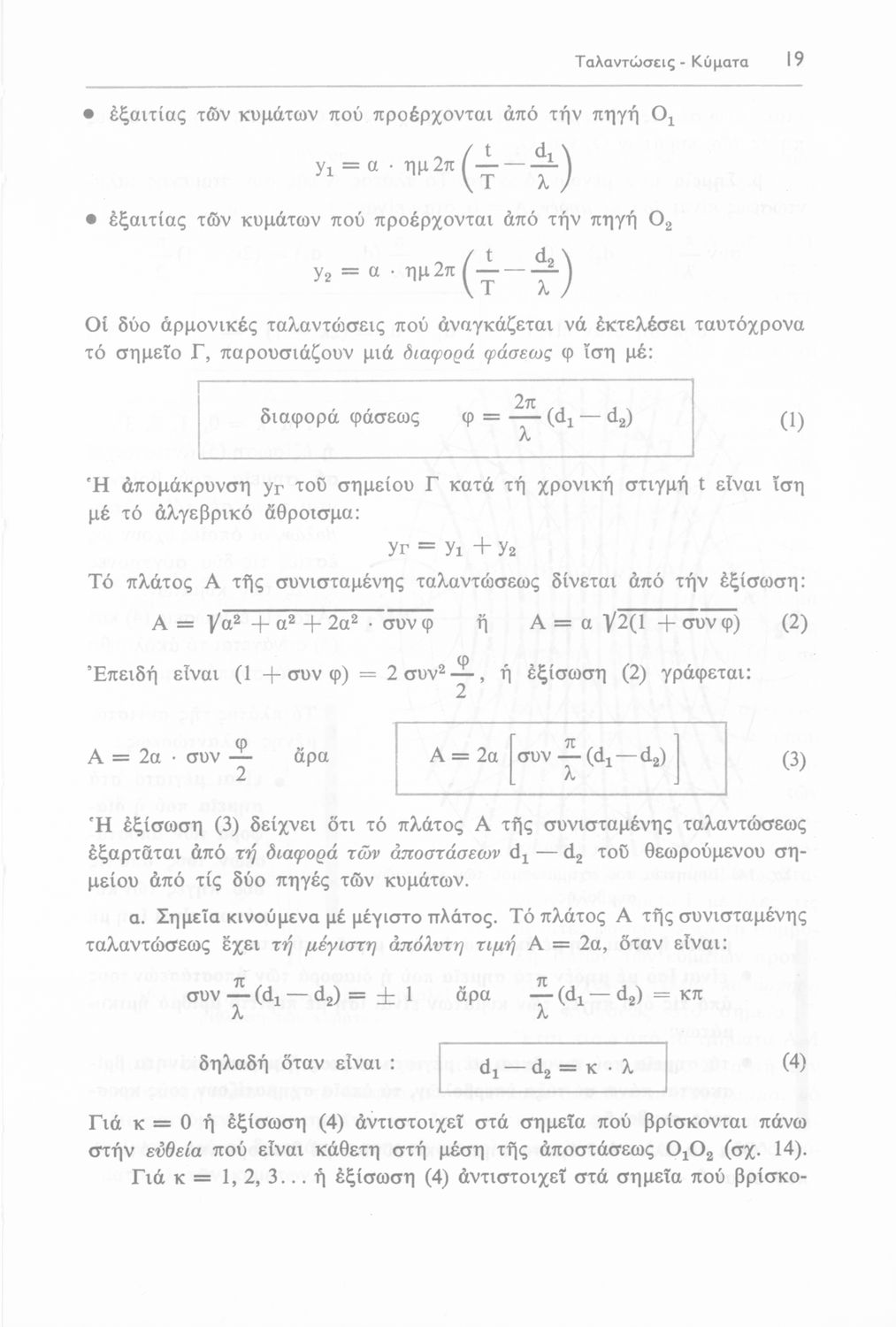
Σελίδα #019
Σελίδα #020
Σελίδα #021
Σελίδα #022
[Σχολικό Εγχειρίδιο]
Αλκίνοος Μάζης
Τάξη:  Γ' Λυκείου
Μάθημα:  Φυσική
Σχολικό εγχειρίδιο Φυσικής Γ΄ Λυκείου που περιλαμβάνει θεωρία και ασκήσεις στα πεδία της μηχανικής, της οπτικής, της ακουστικής, του ηλεκτρισμού καθώς και ατομικής και πυρηνικής φυσικής.
[Σχολικό Εγχειρίδιο]
Αλκίνοος Μάζης
Τάξη:  Γ' Λυκείου
Μάθημα:  Φυσική
Σχολικό εγχειρίδιο Φυσικής Γ΄ Λυκείου που περιλαμβάνει θεωρία και ασκήσεις στα πεδία της μηχανικής, της οπτικής, της ακουστικής, του ηλεκτρισμού καθώς και ατομικής και πυρηνικής φυσικής.
[Σχολικό Εγχειρίδιο]
Αλκίνοος Μάζης
Φυσική Γ΄ Λυκείου   [1978, 19η Έκδοση]
Τάξη:  Γ' Λυκείου
Μάθημα:  Φυσική
Σχολικό εγχειρίδιο Φυσικής Γ΄ Λυκείου που εστιάζει στα φυσικά φαινόμενα της μηχανικής, της ακουστικής, της οπτικής, του ηλεκτρισμού και της ατομικής φυσικής.
[Σχολικό Εγχειρίδιο]
Αλκίνοος Μάζης
Τάξη:  Β' Λυκείου
Μάθημα:  Φυσική
Σχολικό εγχειρίδιο Φυσικής Β΄ Λυκείου που εστιάζει στην μηχανική και περιέχει ορισμούς, παραδείγματα και προβλήματα.
[Σχολικό Εγχειρίδιο]
Αλκίνοος Μάζης
Φυσική Γ΄ Λυκείου   [1980, 20η Έκδοση]
Τάξη:  Γ' Λυκείου
Μάθημα:  Φυσική
Σχολικό εγχειρίδιο Φυσικής Γ΄ Λυκείου που εστιάζει στην μηχανική, στην οπτική, στην ακουστική, στον ηλεκτρισμού καθώς και στην ατομική και πυρηνική φυσική.
[Σχολικό Εγχειρίδιο]
Αλκίνοος Μάζης
Φυσική Γ΄ Λυκείου   [1981, 21η Έκδοση]
Τάξη:  Γ' Λυκείου
Μάθημα:  Φυσική
Σχολικό εγχειρίδιο Φυσικής Γ΄ Λυκείου που εστιάζει στην μηχανική, στην οπτική, στην ακουστική, στον ηλεκτρισμού καθώς και στην ατομική και πυρηνική φυσική.
[Σχολικό Εγχειρίδιο]
Αλκίνοος Μάζης
Τάξη:  Β' Λυκείου
Μάθημα:  Φυσική
Σχολικό εγχειρίδιο Φυσικής Β΄ Λυκείου που εστιάζει στην μηχανική και περιέχει ορισμούς, παραδείγματα και προβλήματα.
[Σχολικό Εγχειρίδιο]
Αλκίνοος Μάζης
Τάξη:  Β' Λυκείου
Μάθημα:  Φυσική
Σχολικό εγχειρίδιο Φυσικής Β΄ Λυκείου που περιλαμβάνει θεωρία, παραδείγματα και ασκήσεις στα πεδία της μηχανικής, της θερμότητας, του ηλεκτρισμού, του μαγνητισμού και της οπτικής.
[Σχολικό Εγχειρίδιο]
Αλκίνοος Μάζης
Φυσική Γ΄ Λυκείου   [1979, 19η Έκδοση]
Τάξη:  Γ' Λυκείου
Μάθημα:  Φυσική
Σχολικό εγχειρίδιο Φυσικής Γ΄ Λυκείου που εστιάζει στην μηχανική, στην οπτική, στην ακουστική, στον ηλεκτρισμού καθώς και στην ατομική και πυρηνική φυσική.
[Σχολικό Εγχειρίδιο]
Νικόλαος Δ. Νικολάου
Κοσμογραφία Γ' Λυκείου   [1966, 12η Έκδοση]
Τάξη:  Γ' Λυκείου
Μάθημα:  Φυσική
Σχολικό εγχειρίδιο Κοσμογραφίας Γ΄ Λυκείου που εστιάζει στην κίνηση των πλανητών και στον τρόπο υπολογισμού της τροχιάς τους.