QR Code
01-19669
Αλκίνοος Μάζης

Φυσική Β΄ Λυκείου
[1979, 19η Έκδοση]

Σχολικό εγχειρίδιο Φυσικής Β΄ Λυκείου που εστιάζει στα φυσικά φαινόμενα του μαγνητισμού, του ηλεκτρισμού και της οπτικής.


TopΠΕΔΙΟ ΑΝΑΓΝΩΡΙΣΗΣ

Κωδικός αναγνώρισης: 01-19669

Τίτλος: Φυσική Β΄ Λυκείου

Συγγραφέας: Αλκίνοος Μάζης

Μέγεθος και υπόστρωμα: Σχολικό εγχειρίδιο, μαλακό εξώφυλλο, 192 σελίδες. Εικόνες, σκίτσα, έγχρωμα.

TopΠΕΔΙΟ ΠΕΡΙΕΧΟΜΕΝΟΥ

Βαθμίδα εκπαίδευσης: Δευτεροβάθμια

Τάξη: Β' Λυκείου

Μάθημα: Φυσική

Γλώσσα: Δημοτική

Παρουσίαση περιεχομένου: Σχολικό εγχειρίδιο Φυσικής Β΄ Λυκείου που εστιάζει στα φυσικά φαινόμενα του μαγνητισμού, του ηλεκτρισμού και της οπτικής.

TopΠΕΔΙΟ ΠΛΗΡΟΦΟΡΙΩΝ ΕΚΔΟΣΗΣ

Εκδότης: Οργανισμός Εκδόσεως Διδακτικών Βιβλίων

Έτος έκδοσης: 1979

Τόπος έκδοσης: Αθήνα

Έκδοση: 19η

Υπουργική απόφαση / Σύμβαση: 3178/17-2-1979

Έτος έγκρισης: 1979

TopΠΕΔΙΟ ΠΑΡΑΤΗΡΗΣΕΩΝ

Εντοπισμός πρωτοτύπου: Ινστιτούτο Εκπαιδευτικής Πολιτικής

Κωδικός βιβλιοθήκης: 19669

TopΕΥΡΕΤΗΡΙΟ ΘΕΜΑΤΙΚΩΝ ΟΡΩΝ

Σχετιζόμενα πρόσωπα:

Σχετιζόμενοι όροι:


196 εγγραφές [41 - 60]
Σελίδα #039
Σελίδα #040
Σελίδα #041
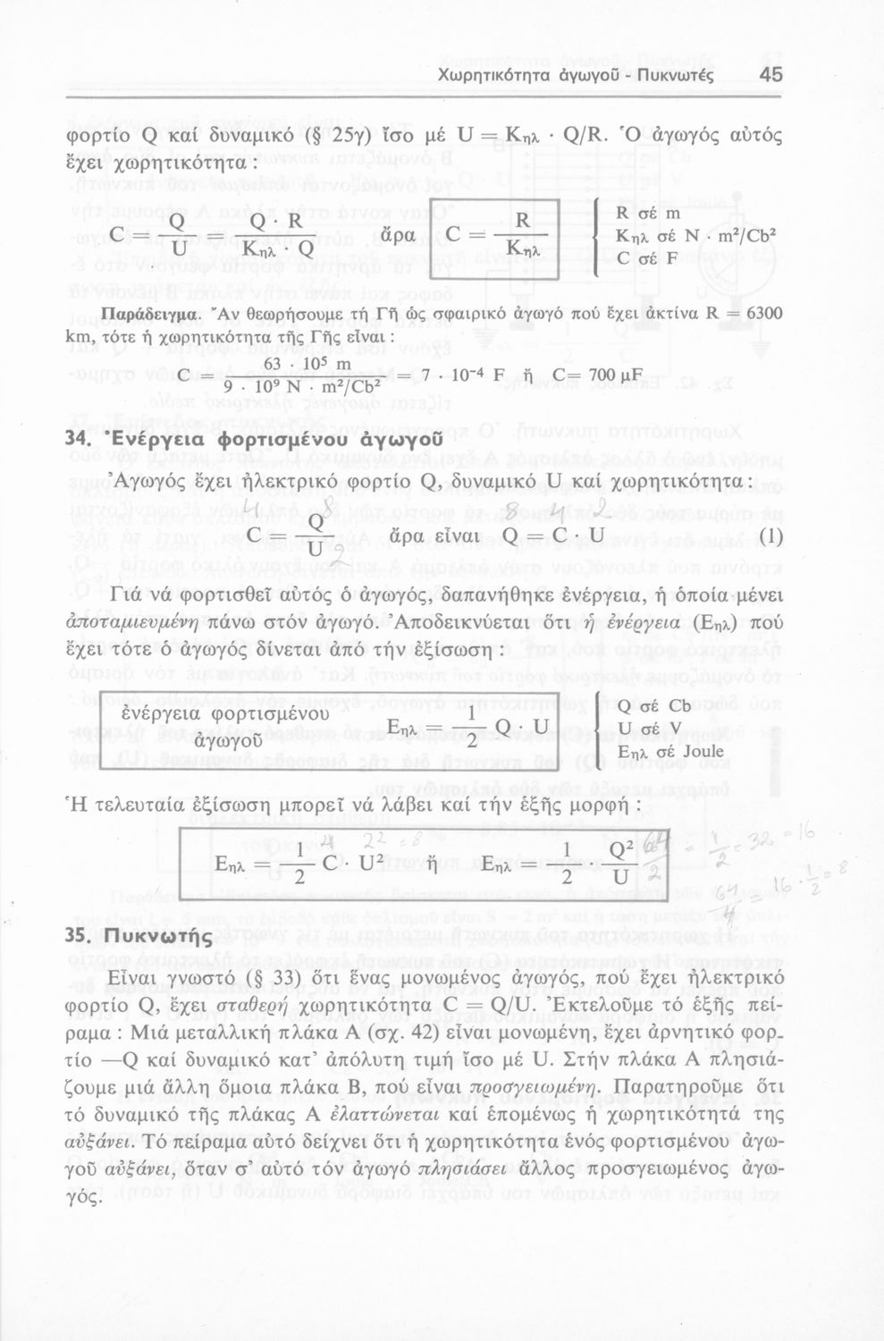
Σελίδα #042
Σελίδα #043
Σελίδα #044
Σελίδα #045
Σελίδα #046
Σελίδα #047
Σελίδα #048
Σελίδα #049
Σελίδα #050
Σελίδα #051
Σελίδα #052
Σελίδα #053
Σελίδα #054
Σελίδα #055
Σελίδα #056
Σελίδα #057
Σελίδα #058
Σελίδα #059
Σελίδα #060
Σελίδα #061
Σελίδα #062
[Σχολικό Εγχειρίδιο]
Αλκίνοος Μάζης
Τάξη:  Β' Λυκείου
Μάθημα:  Φυσική
Σχολικό εγχειρίδιο Φυσικής Β΄ Λυκείου που εστιάζει στην μηχανική και περιέχει ορισμούς, παραδείγματα και προβλήματα.
[Σχολικό Εγχειρίδιο]
Αλκίνοος Μάζης
Τάξη:  Α' Λυκείου / Β' Λυκείου
Μάθημα:  Φυσική
Σχολικό εγχειρίδιο Φυσικής Α΄ και Β΄ Λυκείου που εστιάζει στα φυσικά φαινόμενα της μηχανικής, της ακουστικής και της θερμότητας.
[Σχολικό Εγχειρίδιο]
Αλκίνοος Ε. Μάζης
Τάξη:  Β' Λυκείου
Μάθημα:  Φυσική
Σχολικό εγχειρίδιο Φυσικής που απευθύνεται σε μαθητές της Β΄ Λυκείου, με σκοπό την ερμηνεία φυσικών φαινομένων και μεγεθών (φυσικά μεγέθη, ενέργεια, κίνηση κ.ά.). Προσδιορίζονται οι δυνάμεις, αναλύονται τα ...
[Σχολικό Εγχειρίδιο]
Αλκίνοος Μάζης
Φυσική Β΄ Λυκείου   [1980, 20η Έκδοση]
Τάξη:  Β' Λυκείου
Μάθημα:  Φυσική
Σχολικό εγχειρίδιο Φυσικής Β΄ Λυκείου που εστιάζει στα φυσικά φαινόμενα του μαγνητισμού, του ηλεκτρισμού και της οπτικής.
[Σχολικό Εγχειρίδιο]
Αλκίνοος Μάζης
Τάξη:  Β' Λυκείου
Μάθημα:  Φυσική
Σχολικό εγχειρίδιο Φυσικής Β΄ Λυκείου που εστιάζει στην μηχανική και περιέχει ορισμούς, παραδείγματα και προβλήματα.
[Σχολικό Εγχειρίδιο]
Αλκίνοος Μάζης
Τάξη:  Β' Λυκείου
Μάθημα:  Φυσική
Σχολικό εγχειρίδιο Φυσικής Β΄ Λυκείου που περιλαμβάνει θεωρία, παραδείγματα και ασκήσεις στα πεδία της μηχανικής, της θερμότητας, του ηλεκτρισμού, του μαγνητισμού και της οπτικής.
[Σχολικό Εγχειρίδιο]
Αλκίνοος Μάζης
Φυσική Β΄ Λυκείου   [1978, 19η Έκδοση]
Τάξη:  Β' Λυκείου
Μάθημα:  Φυσική
Σχολικό εγχειρίδιο Φυσικής Β΄ Λυκείου που εστιάζει στα φυσικά φαινόμενα του μαγνητισμού, του ηλεκτρισμού και της οπτικής.
[Σχολικό Εγχειρίδιο]
Αλκίνοος Μάζης
Τάξη:  Β' Λυκείου
Μάθημα:  Φυσική
Σχολικό εγχειρίδιο για την Β΄ Λυκείου για το μάθημα της Φυσικής. Το εγχειρίδιο περιλαμβάνει τις βασικές έννοιες της φυσικής και συγκεκριμένα της μηχανικής, της θερμότητας, του ηλεκτρισμού και του μαγνητισμού, ...
[Σχολικό Εγχειρίδιο]
Αλκίνοος Ε. Μάζης
Φυσική Β' Λυκείου   [1982, 22η Έκδοση]
Τάξη:  Β' Λυκείου
Μάθημα:  Φυσική
Σχολικό εγχειρίδιο της Β΄ Λυκείου για το μάθημα της Φυσικής. Το εγχειρίδιο περιλαμβάνει τις θεματικές της οπτικής, του μαγνητισμού, του ηλεκτρισμού και των ιδιοτήτων τους, την ατομική και πυρηνική φυσική.
[Σχολικό Εγχειρίδιο]
Κορνήλιος Νέπως (Cornelius Nepos), Ερρίκος Α. Σκάσσης (σχόλια)
Τάξη:  Β' Λυκείου
Μάθημα:  Λατινικά
Σχετιζόμενοι όροι:  Hamilcar, Hannibal, Cato, Atticus
Σχολικό εγχειρίδιο Λατινικών Β΄ Λυκείου που περιέχει σύντομο βιογραφικό σημείωμα του Νέπωτα, αποσπάσματα από τα έργα Αμίλκας, Αννίβας, Κάτων και Αττικός, ιστορικό και γεωγραφικό πίνακα και λεξιλόγιο. Ο ...