QR Code
01-19717
Θ. Βαβαλέτσκος, Γ. Μπούσγος

Μαθηματικά Α΄ Λυκείου Άλγεβρα - Τριγωνομετρία, τόμος Α΄
[1977, 9η Έκδοση]

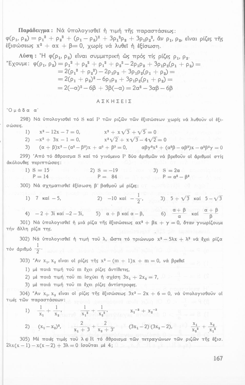
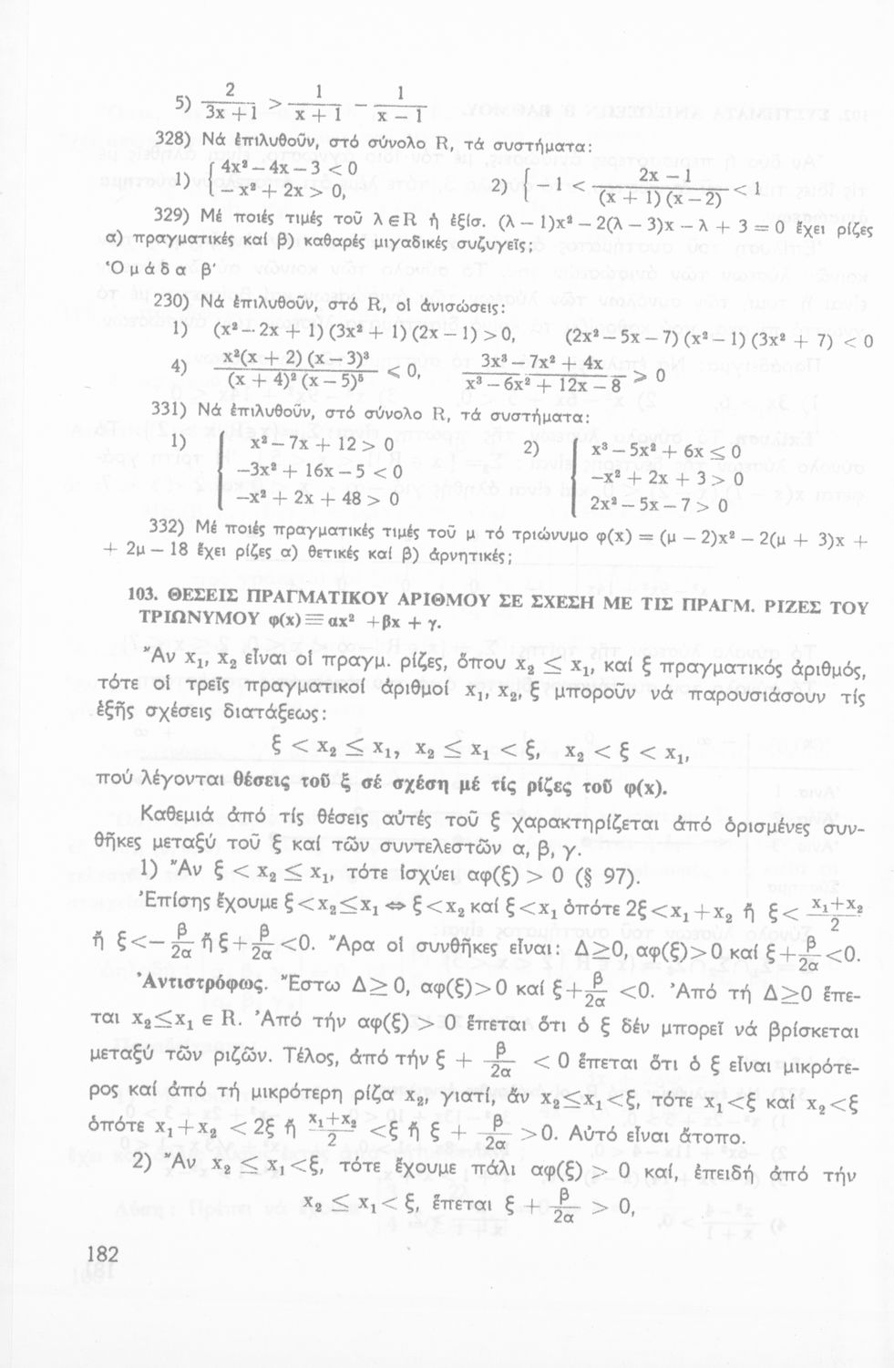
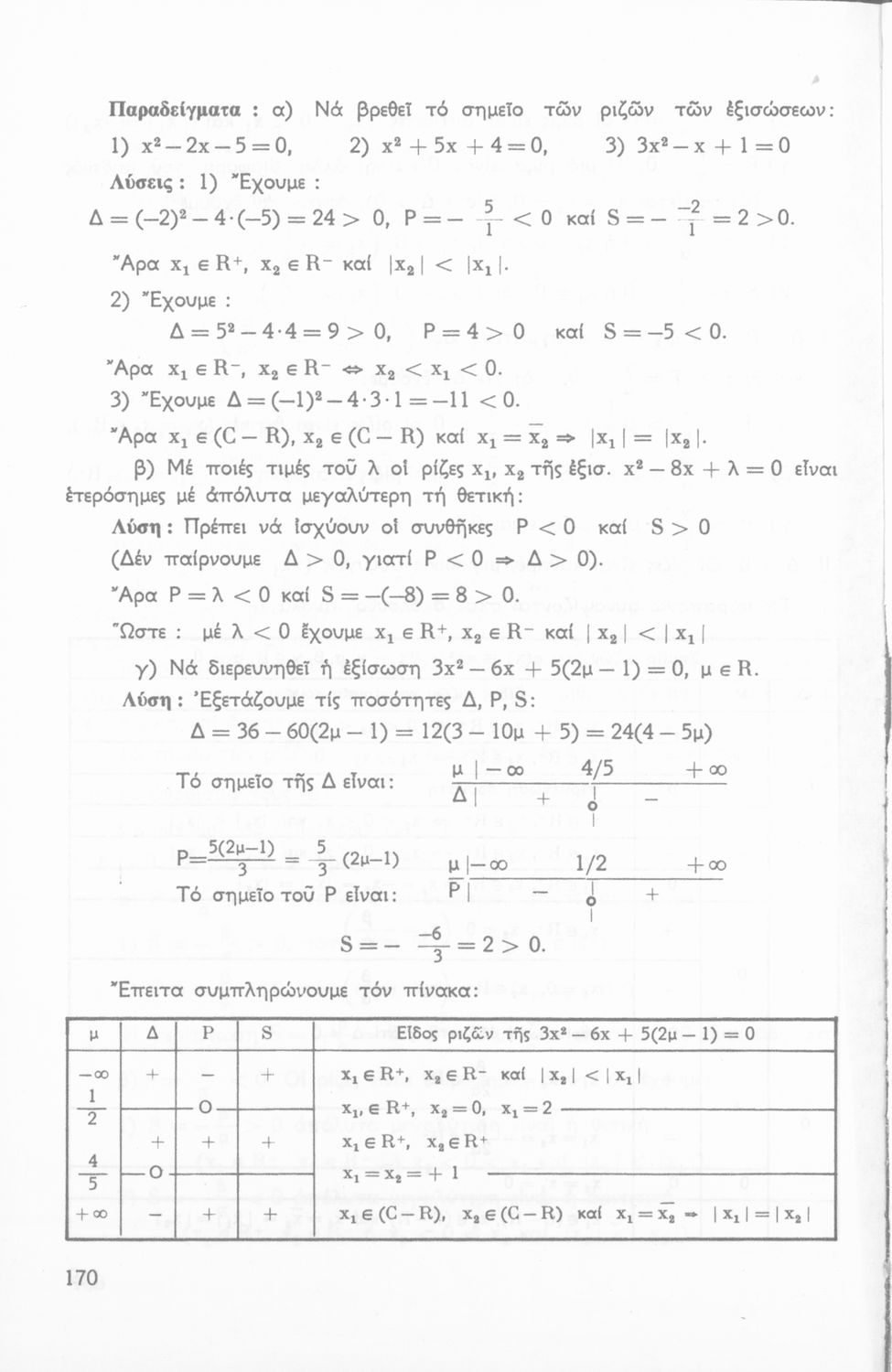
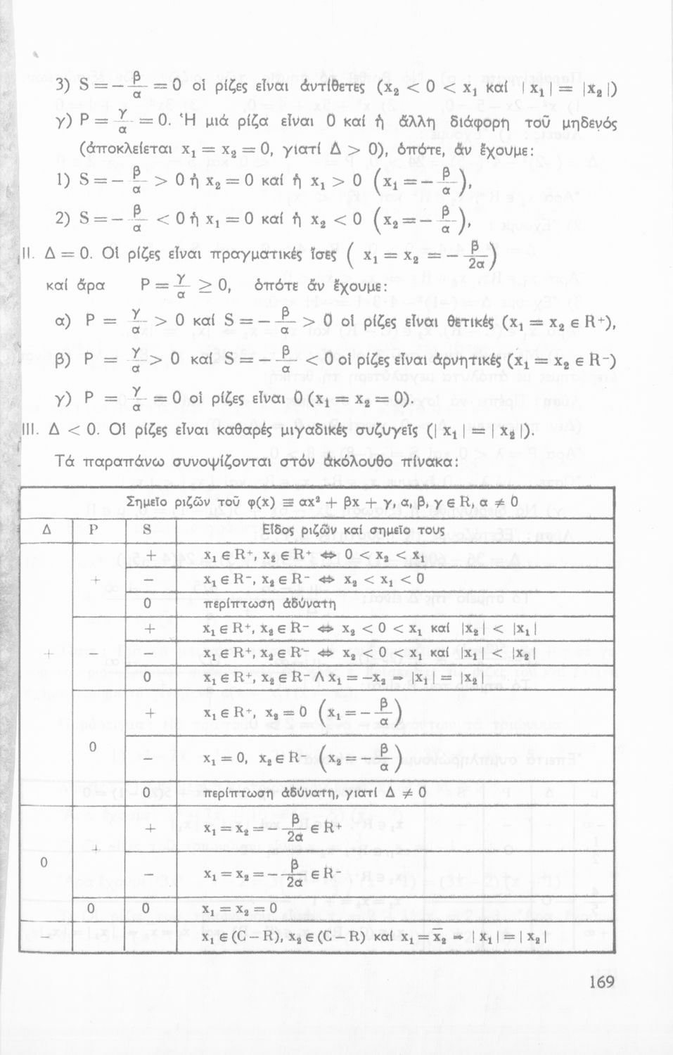
Σχολικό εγχειρίδιο Μαθηματικών Α΄ Λυκείου χωρισμένο σε ορισμούς, παραδείγματα και ασκήσεις που εστιάζει στην Άλγεβρα. Περιέχει στοιχεία Περιγραφικής Στατιστικής και Τριγωνομετρίας.


TopΠΕΔΙΟ ΑΝΑΓΝΩΡΙΣΗΣ

Κωδικός αναγνώρισης: 01-19717

Τίτλος: Μαθηματικά Α΄ Λυκείου Άλγεβρα - Τριγωνομετρία, τόμος Α΄

Συγγραφέας: Θ. Βαβαλέτσκος, Γ. Μπούσγος

Μέγεθος και υπόστρωμα: Σχολικό εγχειρίδιο, 23εκ., μαλακό εξώφυλλο, 303 σελίδες. Σκίτσα (ασπρόμαυρα).

TopΠΕΔΙΟ ΠΕΡΙΕΧΟΜΕΝΟΥ

Βαθμίδα εκπαίδευσης: Δευτεροβάθμια

Τάξη: Α' Λυκείου

Μάθημα: Μαθηματικά

Γλώσσα: Δημοτική

Παρουσίαση περιεχομένου: Σχολικό εγχειρίδιο Μαθηματικών Α΄ Λυκείου χωρισμένο σε ορισμούς, παραδείγματα και ασκήσεις που εστιάζει στην Άλγεβρα. Περιέχει στοιχεία Περιγραφικής Στατιστικής και Τριγωνομετρίας.

TopΠΕΔΙΟ ΠΛΗΡΟΦΟΡΙΩΝ ΕΚΔΟΣΗΣ

Εκδότης: Οργανισμός Εκδόσεως Διδακτικών Βιβλίων

Έτος έκδοσης: 1977

Τόπος έκδοσης: Αθήνα

Έκδοση:

Υπουργική απόφαση / Σύμβαση: 2883/13-7-1977

Έτος έγκρισης: 1977

TopΠΕΔΙΟ ΠΑΡΑΤΗΡΗΣΕΩΝ

Εντοπισμός πρωτοτύπου: Ινστιτούτο Εκπαιδευτικής Πολιτικής

Κωδικός βιβλιοθήκης: 19717

TopΕΥΡΕΤΗΡΙΟ ΘΕΜΑΤΙΚΩΝ ΟΡΩΝ

Σχετιζόμενα πρόσωπα:

Σχετιζόμενοι όροι:


308 εγγραφές [161 - 180]
Σελίδα #159
Σελίδα #160
Σελίδα #161
Σελίδα #162
Σελίδα #163
Σελίδα #164
Σελίδα #165
Σελίδα #166
Σελίδα #167
Σελίδα #168
Σελίδα #169
Σελίδα #170
Σελίδα #171
Σελίδα #172
Σελίδα #173
Σελίδα #174
Σελίδα #175
Σελίδα #176
Σελίδα #177
Σελίδα #178
Σελίδα #179
Σελίδα #180
Σελίδα #181
Σελίδα #182
[Σχολικό Εγχειρίδιο]
Βασίλειος Στάικος
Τάξη:  Γ' Λυκείου
Μάθημα:  Μαθηματικά
Σχετιζόμενοι όροι:  σύνολα, συναρτήσεις, ολοκληρώματα
Σχολικό εγχειρίδιο Μαθηματικών Γ΄ Λυκείου που είναι χωρισμένο σε θεωρήματα, παραδείγματα και ασκήσεις και περιλαμβάνει στοιχεία Ανώτερης Άλγεβρας και Μαθηματικής Ανάλυσης.
[Σχολικό Εγχειρίδιο]
Βασίλειος Στάικος
Τάξη:  Γ' Λυκείου
Μάθημα:  Μαθηματικά
Σχετιζόμενοι όροι:  σύνολα, συναρτήσεις, ολοκληρώματα
Σχολικό εγχειρίδιο Μαθηματικών Γ΄ Λυκείου που είναι χωρισμένο σε θεωρήματα, παραδείγματα και ασκήσεις και περιλαμβάνει στοιχεία Ανώτερης Άλγεβρας και Μαθηματικής Ανάλυσης.
[Σχολικό Εγχειρίδιο]
Βασίλειος Στάικος
Τάξη:  ΣΤ' Γυμνασίου
Μάθημα:  Μαθηματικά
Σχετιζόμενοι όροι:  σύνολα, συναρτήσεις, ολοκληρώματα
Σχολικό εγχειρίδιο Μαθηματικών Γυμνασίου που είναι χωρισμένο σε θεωρήματα, παραδείγματα και ασκήσεις και περιλαμβάνει στοιχεία Ανώτερης Άλγεβρας και Μαθηματικής Ανάλυσης.
[Σχολικό Εγχειρίδιο]
Γ. Μπούσγος, Ι. Ταμβακλής
Τάξη:  Γ' Γυμνασίου
Μάθημα:  Μαθηματικά
Σχολικό εγχειρίδιο Μαθηματικών Γ΄ Γυμνασίου που περιέχει θεωρία, παραδείγματα και ασκήσεις και περιλαμβάνει Άλγεβρα, Τριγωνομετρία και στοιχεία Περιγραφικής Στατιστικής.
[Σχολικό Εγχειρίδιο]
Ν. Βαρουχάκης, Λ. Αδαμόπουλος, Ν. Αλεξανδρής, Δ. Α. Παπακωνσταντίνου, Α. Παπαμικρούλης
Τάξη:  Α' Λυκείου
Μάθημα:  Μαθηματικά
Σχολικό εγχειρίδιο Άλγεβρας Α΄ Λυκείου που είναι χωρισμένο σε αξιώματα, πορίσματα, παραδείγματα και ασκήσεις και εστιάζει στις συναρτήσεις και τις εξισώσεις. Περιέχει παράρτημα με τις λύσεις των ασκήσεων.
[Σχολικό Εγχειρίδιο]
Θ. Βαβαλέτσκος, Γ. Μπούσγος
Τάξη:  Α' Λυκείου
Μάθημα:  Μαθηματικά
Σχετιζόμενοι όροι:  σύνολα, εξισώσεις, ανισώσεις, ρίζες,
Σχολικό εγχειρίδιο Μαθηματικών Α΄ Λυκείου χωρισμένο σε ορισμούς, παραδείγματα και ασκήσεις που εστιάζει στην Άλγεβρα. Περιέχει στοιχεία Περιγραφικής Στατιστικής και Τριγωνομετρίας.
[Σχολικό Εγχειρίδιο]
Ν. Βαρουχάκης, Λ. Αδαμόπουλος, Ν. Αλεξανδρής, Δ. Α. Παπακωνσταντίνου, Α. Παπαμικρούλης
Τάξη:  Α' Λυκείου
Μάθημα:  Μαθηματικά
Σχολικό εγχειρίδιο Άλγεβρας Α΄ Λυκείου που είναι χωρισμένο σε αξιώματα, πορίσματα, παραδείγματα και ασκήσεις και εστιάζει στις συναρτήσεις και τις εξισώσεις. Περιέχει παράρτημα με τις λύσεις των ασκήσεων.
[Σχολικό Εγχειρίδιο]
Ν. Βαρουχάκης, Λ. Αδαμόπουλος, Ν. Αλεξανδρής, Δ. Α. Παπακωνσταντίνου, Α. Παπαμικρούλης
Τάξη:  Α' Λυκείου
Μάθημα:  Μαθηματικά
Σχολικό εγχειρίδιο Άλγεβρας Α΄ Λυκείου που είναι χωρισμένο σε αξιώματα, πορίσματα, παραδείγματα και ασκήσεις και εστιάζει στις συναρτήσεις, τις εξισώσεις και τις αριθμητικές πράξεις. Περιλαμβάνει στοιχεία ...
[Σχολικό Εγχειρίδιο]
Β. Στάικος
Τάξη:  ΣΤ' Γυμνασίου
Μάθημα:  Μαθηματικά
Σχετιζόμενοι όροι:  σύνολα, συναρτήσεις, ολοκληρώματα
Σχολικό εγχειρίδιο Μαθηματικών ΣΤ΄ Γυμνασίου που είναι χωρισμένο σε θεωρήματα, παραδείγματα και ασκήσεις και περιλαμβάνει στοιχεία Ανώτερης Άλγεβρας και Μαθηματικής Ανάλυσης.
[Σχολικό Εγχειρίδιο]
Γ. Μπούσγος, Ι. Ταμβακλής
Τάξη:  Γ' Γυμνασίου
Μάθημα:  Μαθηματικά
Σχολικό εγχειρίδιο Μαθηματικών Γ΄ Γυμνασίου που περιέχει θεωρία, παραδείγματα και ασκήσεις και περιλαμβάνει Άλγεβρα, Τριγωνομετρία και στοιχεία Περιγραφικής Στατιστικής. Το εγχειρίδιο μεταγλωττίστηκε από τον ...