QR Code
01-19719
Ε. Παπατριανταφύλλου

Μαθηματικά Γ΄ Λυκείου θετικής κατευθύνσεως τριγωνομετρία
[1977, 8η Έκδοση]

Σχολικό εγχειρίδιο Τριγωνομετρίας Γ΄ Λυκείου χωρισμένο σε ορισμούς, θεωρία, παραδείγματα και ασκήσεις.


TopΠΕΔΙΟ ΑΝΑΓΝΩΡΙΣΗΣ

Κωδικός αναγνώρισης: 01-19719

Τίτλος: Μαθηματικά Γ΄ Λυκείου θετικής κατευθύνσεως τριγωνομετρία

Συγγραφέας: Ε. Παπατριανταφύλλου

Μέγεθος και υπόστρωμα: Σχολικό εγχειρίδιο, 23εκ., μαλακό εξώφυλλο, 123 σελίδες. Σκίτσα (ασπρόμαυρα).

TopΠΕΔΙΟ ΠΕΡΙΕΧΟΜΕΝΟΥ

Βαθμίδα εκπαίδευσης: Δευτεροβάθμια

Τάξη: Γ' Λυκείου

Μάθημα: Μαθηματικά

Γλώσσα: Δημοτική

Παρουσίαση περιεχομένου: Σχολικό εγχειρίδιο Τριγωνομετρίας Γ΄ Λυκείου χωρισμένο σε ορισμούς, θεωρία, παραδείγματα και ασκήσεις.

TopΠΕΔΙΟ ΠΛΗΡΟΦΟΡΙΩΝ ΕΚΔΟΣΗΣ

Εκδότης: Οργανισμός Εκδόσεως Διδακτικών Βιβλίων

Έτος έκδοσης: 1977

Τόπος έκδοσης: Αθήνα

Έκδοση:

Υπουργική απόφαση / Σύμβαση: 2882/13-7-1977

Έτος έγκρισης: 1977

TopΠΕΔΙΟ ΠΑΡΑΤΗΡΗΣΕΩΝ

Εντοπισμός πρωτοτύπου: Ινστιτούτο Εκπαιδευτικής Πολιτικής

Κωδικός βιβλιοθήκης: 19719

TopΕΥΡΕΤΗΡΙΟ ΘΕΜΑΤΙΚΩΝ ΟΡΩΝ

Σχετιζόμενα πρόσωπα:

Σχετιζόμενοι όροι:


132 εγγραφές [1 - 20]
Εξώφυλλο
Εξώφυλλο
Σελίδα #001
Σελίδα #002
Σελίδα #003
Σελίδα #004
Σελίδα #005
Σελίδα #006
Σελίδα #007
Σελίδα #008
Σελίδα #009
Σελίδα #010
Σελίδα #011
Σελίδα #012
Σελίδα #013
Σελίδα #014
Σελίδα #015
Σελίδα #016
Σελίδα #017
Σελίδα #018
Σελίδα #019
Σελίδα #020
Σελίδα #021
Σελίδα #022
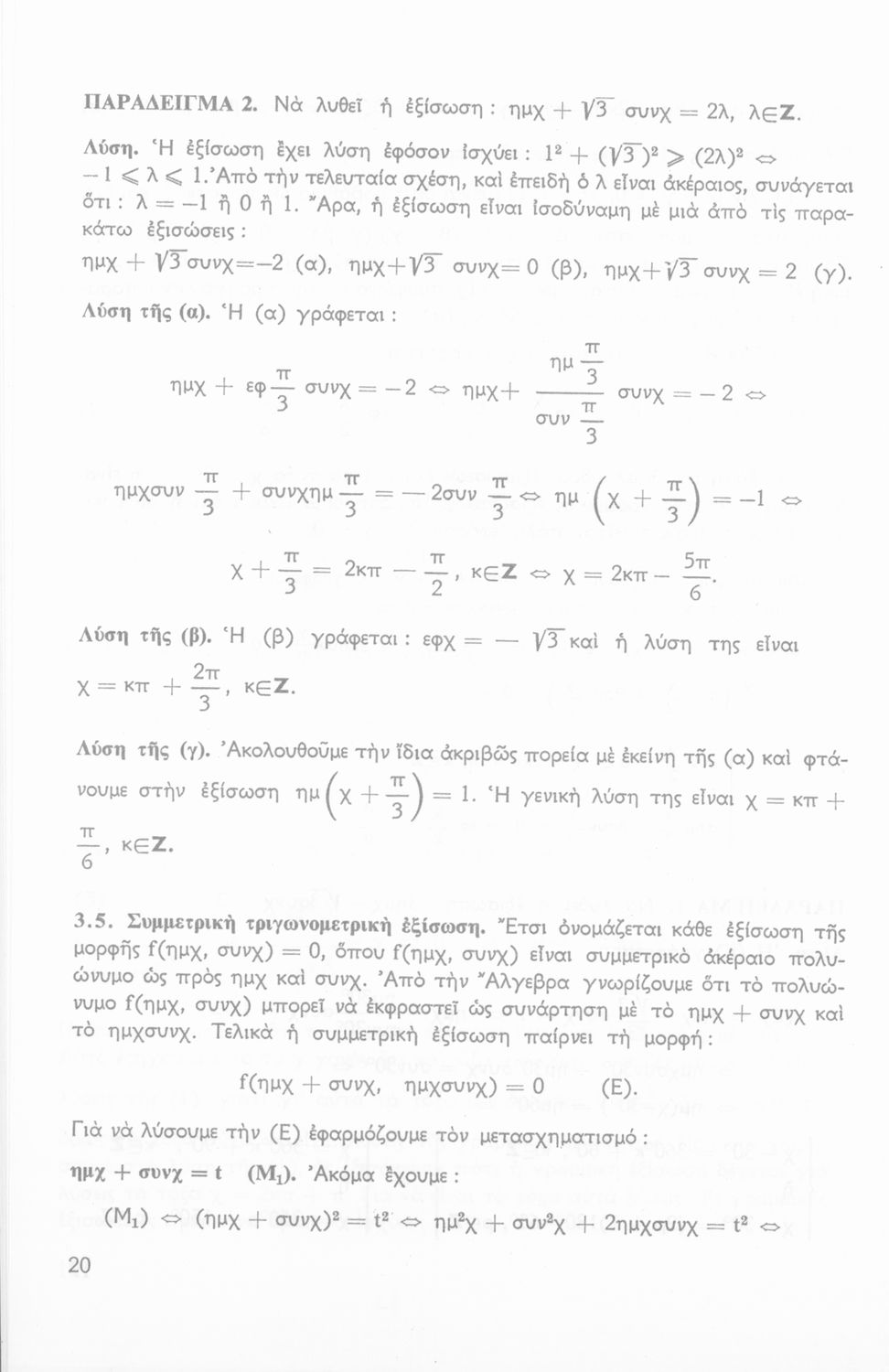
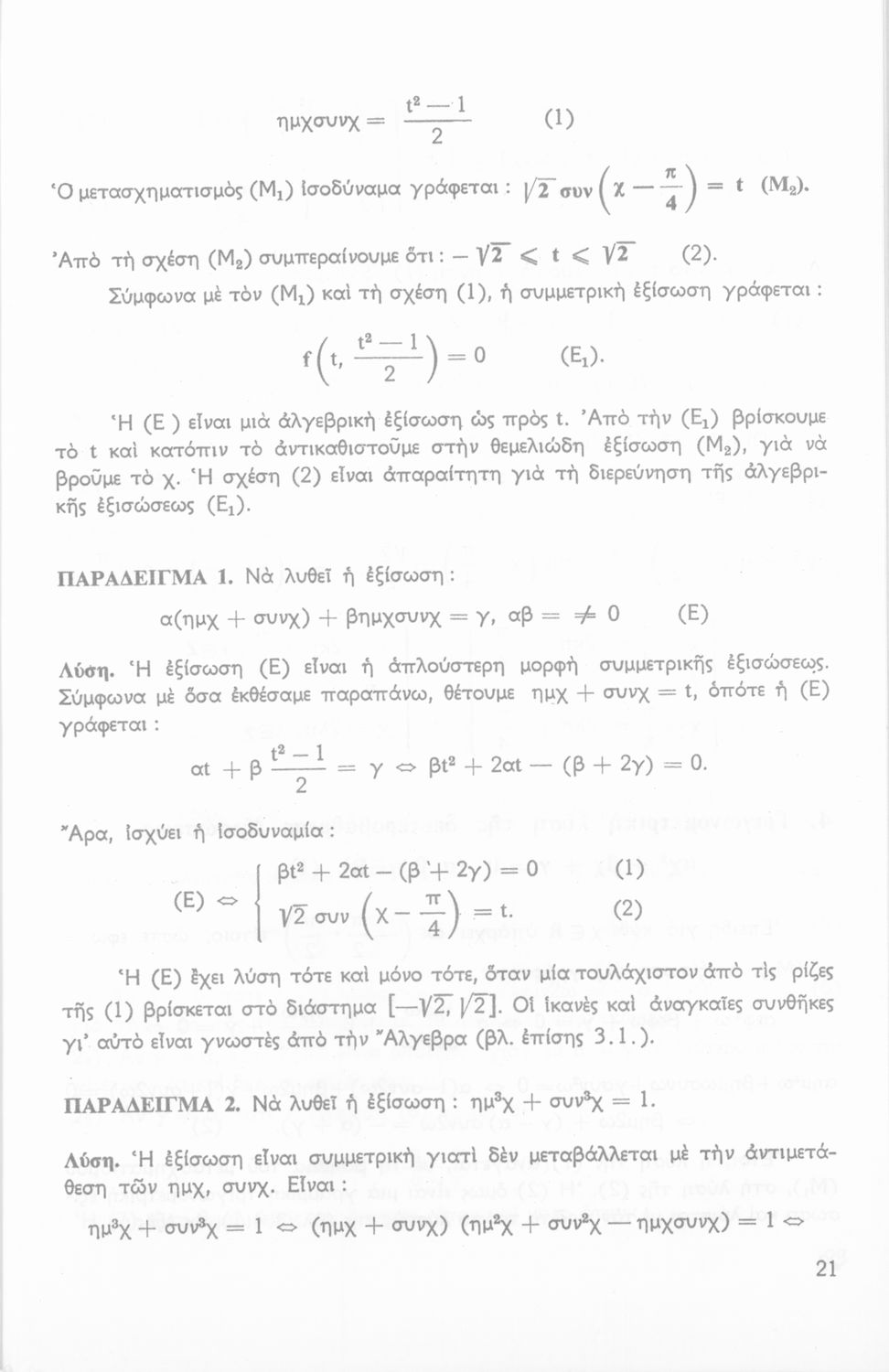
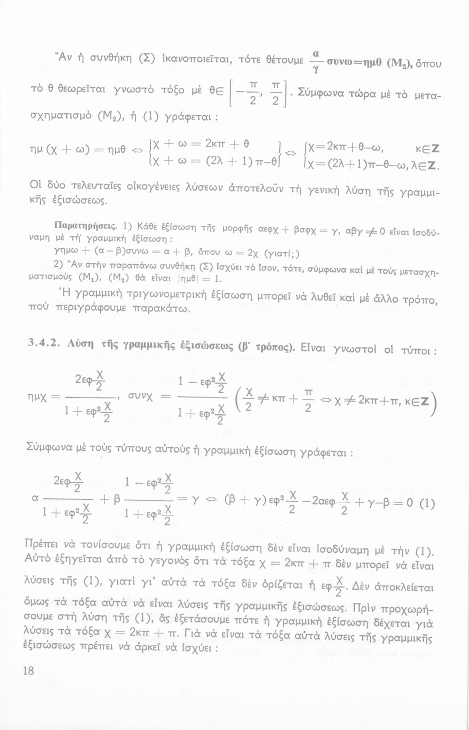
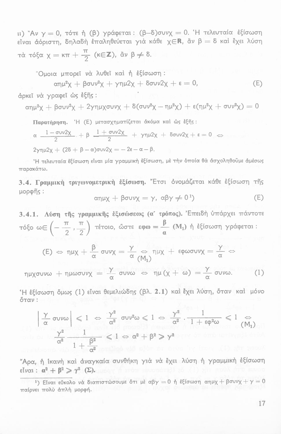
[Σχολικό Εγχειρίδιο]
Ε. Παπατριανταφύλλου
Τάξη:  Γ' Λυκείου
Μάθημα:  Μαθηματικά
Σχολικό εγχειρίδιο Τριγωνομετρίας Γ΄ Λυκείου χωρισμένο σε ορισμούς, θεωρία, παραδείγματα και ασκήσεις.
[Σχολικό Εγχειρίδιο]
Σπ. Γ. Κανέλλος
Τάξη:  Β' Λυκείου / Γ' Λυκείου
Μάθημα:  Μαθηματικά
Σχολικό εγχειρίδιο Γεωμετρίας για τις Β΄ και Γ΄ Λυκείου που περιλαμβάνει αξιώματα, θεωρήματα και κατασκευές και είναι χωρισμένο σε Γεωμετρία Επιπέδου και Γεωμετρία Χώρου. Το εγχειρίδιο μεταγλωττίστηκε από τον ...
[Σχολικό Εγχειρίδιο]
Ιωάν. Πανάκης
Τάξη:  Ε' Γυμνασίου
Μάθημα:  Μαθηματικά
Σχολικό εγχειρίδιο Μαθηματικών για την Ε΄ Γυμνασίου, χωρισμένο σε προβλήματα, εφαρμογές και ασκήσεις, που εστιάζει στην Τριγωνομετρία. Φέρει το σύμβολο της δικτατορίας.
[Σχολικό Εγχειρίδιο]
Σπ. Γ. Κανέλλος
Τάξη:  Β' Λυκείου / Γ' Λυκείου
Μάθημα:  Μαθηματικά
Σχολικό εγχειρίδιο Γεωμετρίας για τις Β΄ και Γ΄ Λυκείου που περιλαμβάνει αξιώματα, θεωρήματα και κατασκευές και είναι χωρισμένο σε Γεωμετρία Επιπέδου και Γεωμετρία Χώρου. Το εγχειρίδιο μεταγλωττίστηκε από τον ...
[Σχολικό Εγχειρίδιο]
Βασίλειος Στάικος
Τάξη:  Γ' Λυκείου
Μάθημα:  Μαθηματικά
Σχετιζόμενοι όροι:  σύνολα, συναρτήσεις, ολοκληρώματα
Σχολικό εγχειρίδιο Μαθηματικών Γ΄ Λυκείου που είναι χωρισμένο σε θεωρήματα, παραδείγματα και ασκήσεις και περιλαμβάνει στοιχεία Ανώτερης Άλγεβρας και Μαθηματικής Ανάλυσης.
[Σχολικό Εγχειρίδιο]
Βασίλειος Στάικος
Τάξη:  Γ' Λυκείου
Μάθημα:  Μαθηματικά
Σχετιζόμενοι όροι:  σύνολα, συναρτήσεις, ολοκληρώματα
Σχολικό εγχειρίδιο Μαθηματικών Γ΄ Λυκείου που είναι χωρισμένο σε θεωρήματα, παραδείγματα και ασκήσεις και περιλαμβάνει στοιχεία Ανώτερης Άλγεβρας και Μαθηματικής Ανάλυσης.
[Σχολικό Εγχειρίδιο]
Ιωάν. Πανάκης
Τάξη:  Ε' Γυμνασίου
Μάθημα:  Μαθηματικά
Σχολικό εγχειρίδιο Μαθηματικών για την Ε΄ Γυμνασίου χωρισμένο σε προβλήματα, εφαρμογές και ασκήσεις που εστιάζει στην Τριγωνομετρία.
[Σχολικό Εγχειρίδιο]
Ε. Παπατριανταφύλλου
Τάξη:  Γ' Λυκείου
Μάθημα:  Μαθηματικά
Σχολικό εγχειρίδιο της ΣΤ΄ Γυμνασίου για το μάθημα των Μαθηματικών. Περιέχει θεωρία, ασκήσεις λυμένες και παραδείγματα της Τριγωνομετρίας. Απευθυνόταν στους μαθητές της θετικής κατεύθυνσης.
[Σχολικό Εγχειρίδιο]
Ε. Παπατριανταφύλλου
Τάξη:  ΣΤ' Γυμνασίου
Μάθημα:  Μαθηματικά
Σχολικό εγχειρίδιο Τριγωνομετρίας ΣΤ΄ Γυμνασίου χωρισμένο σε ορισμούς, θεωρία, παραδείγματα και ασκήσεις.
[Σχολικό Εγχειρίδιο]
Θ. Βαβαλέτσκος, Γ. Μπούσγος
Τάξη:  Δ' Γυμνασίου
Μάθημα:  Μαθηματικά
Σχετιζόμενοι όροι:  εξισώσεις, συναρτήσεις, ανισώσεις
Σχολικό εγχειρίδιο Μαθηματικών Δ΄ Γυμνασίου χωρισμένο σε ορισμούς, παραδείγματα και ασκήσεις. Περιέχει στοιχεία Περιγραφικής Στατιστικής και Τριγωνομετρίας. Φέρει το σύμβολο της δικτατορίας.