QR Code
01-19734
Σοφοκλής, Βίκτωρ Κρητικός (μετάφραση, σχόλια)

Σοφοκλέους Οιδίπους Τύραννος
[1953]

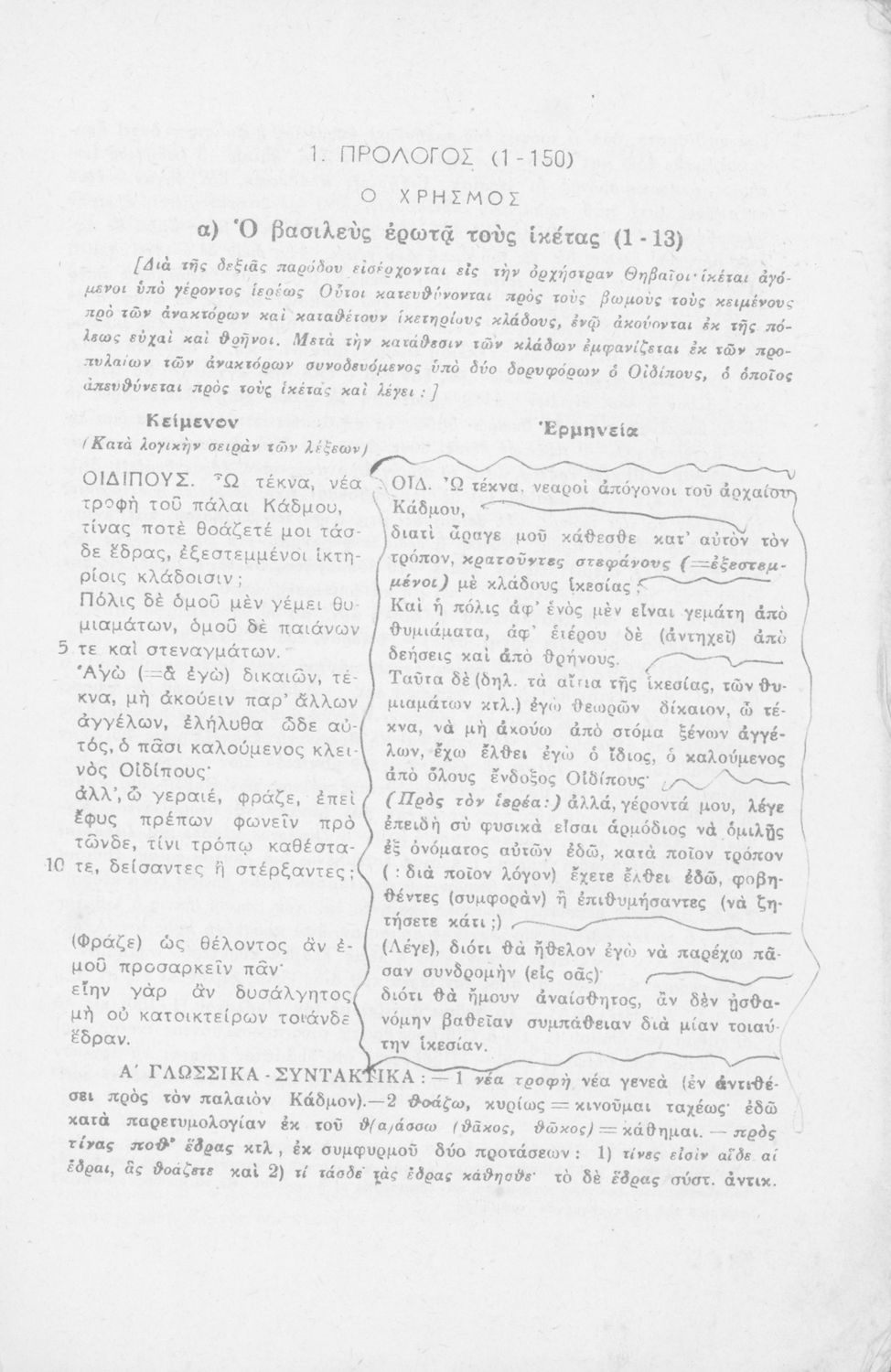
Μαθητικό βοήθημα για το μάθημα των Αρχαίων Ελληνικών στην Η΄ Γυμνάσιου. Περιέχει τη σχολική μετάφραση, τη συντακτική ανάλυση, καθώς και τα ερμηνευτικά, πραγματολογικά σχόλια και τις γραμματικές παρατηρήσεις. Το βιβλίο έχει ζωγραφιές της μαθήτριας στο οπισθόφυλλο.


TopΠΕΔΙΟ ΑΝΑΓΝΩΡΙΣΗΣ

Κωδικός αναγνώρισης: 01-19734

Τίτλος: Σοφοκλέους Οιδίπους Τύραννος

Συγγραφέας: Σοφοκλής, Βίκτωρ Κρητικός (μετάφραση, σχόλια)

Μέγεθος και υπόστρωμα: Μαθητικό βοήθημα, μαλακό εξώφυλλο, 133 σελίδες.

TopΠΕΔΙΟ ΠΕΡΙΕΧΟΜΕΝΟΥ

Βαθμίδα εκπαίδευσης: Δευτεροβάθμια

Τάξη: Η' Γυμνασίου

Μάθημα: Αρχαία Ελληνικά

Γλώσσα: Απλή καθαρεύουσα

Παρουσίαση περιεχομένου: Μαθητικό βοήθημα για το μάθημα των Αρχαίων Ελληνικών στην Η΄ Γυμνάσιου. Περιέχει τη σχολική μετάφραση, τη συντακτική ανάλυση, καθώς και τα ερμηνευτικά, πραγματολογικά σχόλια και τις γραμματικές παρατηρήσεις. Το βιβλίο έχει ζωγραφιές της μαθήτριας στο οπισθόφυλλο.

TopΠΕΔΙΟ ΠΛΗΡΟΦΟΡΙΩΝ ΕΚΔΟΣΗΣ

Εκδότης: Ιωάννης Δ. Κολλάρος και ΣΙΑ, Βιβλιοπωλείο της "Εστίας"

Έτος έκδοσης: 1953

Τόπος έκδοσης: Αθήνα

TopΠΕΔΙΟ ΠΑΡΑΤΗΡΗΣΕΩΝ

Εντοπισμός πρωτοτύπου: Ινστιτούτο Εκπαιδευτικής Πολιτικής

Κωδικός βιβλιοθήκης: 19734

TopΕΥΡΕΤΗΡΙΟ ΘΕΜΑΤΙΚΩΝ ΟΡΩΝ

Σχετιζόμενα πρόσωπα:

Σχετιζόμενοι όροι:


134 εγγραφές [1 - 20]
Σελίδα #001
Σελίδα #002
Σελίδα #003
Σελίδα #004
Σελίδα #005
Σελίδα #006
Σελίδα #007
Σελίδα #008
Σελίδα #009
Σελίδα #010
Σελίδα #011
Σελίδα #012
Σελίδα #013
Σελίδα #014
Σελίδα #015
Σελίδα #016
Σελίδα #017
Σελίδα #018
Σελίδα #019
Σελίδα #020
Σελίδα #021
Σελίδα #022
Σελίδα #023
Σελίδα #024
[Σχολικό Εγχειρίδιο]
Σοφοκλής, Π. Ν. Δημόπουλος (σχόλια)
Σχολικό εγχειρίδιο Αρχαίων Ελληνικών που περιλαμβάνει τις τραγωδίες του Σοφοκλή Οιδίπους Τύραννος και Αντιγόνη, εισαγωγή και ερμηνευτικά σχόλια.
[Σχολικό Εγχειρίδιο]
Σοφοκλής, Π. Ν Δημόπουλος (σχόλια)
Τάξη:  Γυμνάσιο
Σχολικό εγχειρίδιο Αρχαίων Ελληνικών Γυμνασίου που περιέχει κείμενο, ερμηνευτικά και πραγματολογικά σχόλια, και λεξιλογικές παρατηρήσεις.
[Σχολικό Εγχειρίδιο]
Σοφοκλής, Π.Ν Δημόπουλος (σχόλια)
Τάξη:  ΣΤ' Γυμνασίου
Σχολικό εγχειρίδιο της ΣΤ ΄ Γυμνασίου για το μάθημα των Αρχαίων. Περιέχει το πρωτότυπο κείμενο της τραγωδίας του Σοφοκλή με ερμηνευτικά, πραγματολογικά σχόλια και λεξιλογικές παρατηρήσεις.
[Μαθητικό Βοήθημα]
Σοφοκλής, Α. Ξ. Καραπαναγιώτης (σχόλια)
Τάξη:  Γυμνάσιο
Μαθητικό βοήθημα του Γυμνασίου για το μάθημα των Αρχαίων Ελληνικών από το πρωτότυπο. Το βιβλίο περιλαμβάνει αποσπάσματα από την τραγωδία με ερμηνευτικά σχόλια από τον συγγραφέα. Ο συγγραφέας ήταν πρώην ...
[Μαθητικό Βοήθημα]
Σοφοκλής, Δ. Γουδής (σχόλια)
Τάξη:  Γυμνάσιο
Μαθητικό βοήθημα του Γυμνασίου για το μάθημα των Αρχαίων Ελληνικών που περιλαμβάνει την τραγωδία του Σοφοκλή Οιδίπους Τύραννος, μετάφραση, πραγματολογικά σχόλια και λεξιλογικές παρατηρήσεις. Ο συγγραφέας ήταν ...
[Σχολικό Εγχειρίδιο]
Σοφοκλής, Π. Ν Δημόπουλος (σχόλια)
Τάξη:  Γυμνάσιο
Σχολικό εγχειρίδιο του Γυμνασίου για το μάθημα των Αρχαίων Ελληνικών που περιέχει την τραγωδία του Σοφοκλή Οιδίπους Τύραννος, ερμηνευτικά και πραγματολογικά σχόλια και λεξιλογικές παρατηρήσεις.
[Σχολικό Εγχειρίδιο]
Σοφοκλής, Π. Ν Δημόπουλος (μετάφραση), Σπυρ. Μαγγίνας (επιμέλεια)
Τάξη:  Γυμνάσιο
Σχολικό εγχειρίδιο για τις Τάξεις του Γυμνασίου για το μάθημα των Αρχαίων Ελληνικών. Περιλαμβάνει αποσπάσματα του αρχαίου κειμένου από τις Τραγωδίες. Περιέχει μετάφραση ερμηνευτικά, πραγματολογικά σχόλια και ...
[Σχολικό Εγχειρίδιο]
Σοφοκλής, Π. Ν. Δημόπουλος (σχόλια)
Τάξη:  ΣΤ' Γυμνασίου
Σχολικό εγχειρίδιο της ΣΤ΄ Γυμνασίου για το μάθημα των Αρχαίων Ελληνικών. Περιέχει τις τραγωδίες του Σοφοκλή Οιδίπους Τύραννος και Αντιγόνη. Τα κείμενα συνοδεύονται από ερμηνευτικές και λεξιλογικές ...
[Σχολικό Εγχειρίδιο]
Σοφοκλής, Π.Ν. Δημοπούλου (εισαγωγή, ερμηνευτικές σημειώσεις)
Τάξη:  ΣΤ' Γυμνασίου
Σχετιζόμενοι όροι:  Τειρεσίας, Κρέοντας, Δελφοί, Ισμήνη
Σχολικό εγχειρίδιο Αρχαίων Ελληνικών. Το βιβλίο περιλαμβάνει εισαγωγή σχετικά με το αρχαίο δράμα, τη ζωή και το έργο του Σοφοκλή καθώς και για το περιεχόμενου των τραγωδιών "Οιδίπους Τύραννος" και "Αντιγόνη". ...
[Σχολικό Εγχειρίδιο]
Σοφοκλής, Π.Ν Δημόπουλος (μετάφραση), Σπυρ. Μαγγίνας (επιμέλεια)
Σχολικό εγχειρίδιο για το μάθημα των Αρχαίων Ελληνικών στο Γυμνάσιο. Περιέχει κείμενο, ερμηνευτικά και πραγματολογικά σχόλια και λεξιλογικές παρατηρήσεις.