QR Code
01-40542
Ιωάννης Φ. Πανάκης

Μαθηματικά Β΄ Λυκείου τριγωνομετρία
[1977, 6η Έκδοση]

Σχολικό εγχειρίδιο Τριγωνομετρίας για την Β΄ Λυκείου χωρισμένο σε προβλήματα, εφαρμογές και ασκήσεις. Το εγχειρίδιο μεταγλωττίστηκε στη δημοτική από τους Βασίλειο Θεοδωρακόπουλο, Απόστολο Ζορμπά και τον συγγραφέα. Οι μαθητές της κλασσικής κατεύθυνσης δεν διδάσκονταν κάποια από τα κεφάλαια.


TopΠΕΔΙΟ ΑΝΑΓΝΩΡΙΣΗΣ

Κωδικός αναγνώρισης: 01-40542

Τίτλος: Μαθηματικά Β΄ Λυκείου τριγωνομετρία

Συγγραφέας: Ιωάννης Φ. Πανάκης

Μέγεθος και υπόστρωμα: Σχολικό εγχειρίδιο, 23εκ., μαλακό εξώφυλλο, 86 σελίδες. Σκίτσα (ασπρόμαυρα).

TopΠΕΔΙΟ ΠΕΡΙΕΧΟΜΕΝΟΥ

Βαθμίδα εκπαίδευσης: Δευτεροβάθμια

Τάξη: Β' Λυκείου

Μάθημα: Μαθηματικά

Γλώσσα: Δημοτική

Παρουσίαση περιεχομένου: Σχολικό εγχειρίδιο Τριγωνομετρίας για την Β΄ Λυκείου χωρισμένο σε προβλήματα, εφαρμογές και ασκήσεις. Το εγχειρίδιο μεταγλωττίστηκε στη δημοτική από τους Βασίλειο Θεοδωρακόπουλο, Απόστολο Ζορμπά και τον συγγραφέα. Οι μαθητές της κλασσικής κατεύθυνσης δεν διδάσκονταν κάποια από τα κεφάλαια.

TopΠΕΔΙΟ ΠΛΗΡΟΦΟΡΙΩΝ ΕΚΔΟΣΗΣ

Εκδότης: Οργανισμός Εκδόσεως Διδακτικών Βιβλίων

Έτος έκδοσης: 1977

Τόπος έκδοσης: Αθήνα

Έκδοση:

Υπουργική απόφαση / Σύμβαση: 2873/31-5-1977

Έτος έγκρισης: 1977

TopΠΕΔΙΟ ΠΑΡΑΤΗΡΗΣΕΩΝ

Εντοπισμός πρωτοτύπου: Ινστιτούτο Εκπαιδευτικής Πολιτικής

Κωδικός βιβλιοθήκης: 40542

TopΕΥΡΕΤΗΡΙΟ ΘΕΜΑΤΙΚΩΝ ΟΡΩΝ

Σχετιζόμενα πρόσωπα:

Σχετιζόμενοι όροι:


92 εγγραφές [41 - 60]
Σελίδα #039
Σελίδα #040
Σελίδα #041
Σελίδα #042
Σελίδα #043
Σελίδα #044
Σελίδα #045
Σελίδα #046
Σελίδα #047
Σελίδα #048
Σελίδα #049
Σελίδα #050
Σελίδα #051
Σελίδα #052
Σελίδα #053
Σελίδα #054
Σελίδα #055
Σελίδα #056
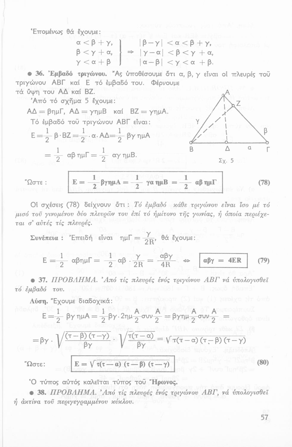
Σελίδα #057
Σελίδα #058
Σελίδα #059
Σελίδα #060
Σελίδα #061
Σελίδα #062
[Σχολικό Εγχειρίδιο]
Ηλίας Β. Ντζιώρας, Ιωάννης Φ. Πανάκης
Τάξη:  Β' Λυκείου
Μάθημα:  Μαθηματικά
Σχολικό εγχειρίδιο Μαθηματικών Β΄ Λυκείου χωρισμένο σε Άλγεβρα και Τριγωνομετρία.
[Σχολικό Εγχειρίδιο]
Ιωάννης Φ. Πανάκης
Τάξη:  Β' Λυκείου
Μάθημα:  Μαθηματικά
Σχολικό εγχειρίδιο Τριγωνομετρίας για την Β΄ Λυκείου χωρισμένο σε προβλήματα, εφαρμογές και ασκήσεις. Το εγχειρίδιο μεταγλωττίστηκε στη δημοτική από τους Βασίλειο Θεοδωρακόπουλο, Απόστολο Ζορμπά και τον ...
[Σχολικό Εγχειρίδιο]
Ηλίας Β. Ντζιώρας, Ιωάννης Φ. Πανάκης
Τάξη:  Β' Λυκείου
Μάθημα:  Μαθηματικά
Σχολικό εγχειρίδιο Μαθηματικών Β΄ Λυκείου χωρισμένο σε Άλγεβρα και Τριγωνομετρία.
[Σχολικό Εγχειρίδιο]
Ηλίας Β. Ντζιώρας, Ιωάννης Φ. Πανάκης
Τάξη:  Β' Λυκείου
Μάθημα:  Μαθηματικά
Σχολικό εγχειρίδιο Μαθηματικών Β΄ Λυκείου χωρισμένο σε Άλγεβρα και Τριγωνομετρία.
[Σχολικό Εγχειρίδιο]
Κ. Ιορδανίδης, Δ. Λ. Καραγεώργος, Κ. Κωστάκης, Α. Μακρίδης, Β. Νασόπουλος
Τάξη:  Β' Λυκείου
Μάθημα:  Μαθηματικά
Σχολικό εγχειρίδιο Μαθηματικών Β΄ Λυκείου που περιλαμβάνει Άλγεβρα και Τριγωνομετρία και είναι χωρισμένο σε θεωρήματα, παρατηρήσεις, παραδείγματα και ασκήσεις.
[Σχολικό Εγχειρίδιο]
Κ. Ιορδανίδης, Δ. Λ. Καραγεώργος, Κ. Κωστάκης, Α. Μακρίδης, Β. Νασόπουλος
Τάξη:  Β' Λυκείου
Μάθημα:  Μαθηματικά
Σχολικό εγχειρίδιο Μαθηματικών Β΄ Λυκείου που περιλαμβάνει Άλγεβρα και Τριγωνομετρία.
[Σχολικό Εγχειρίδιο]
Ιωάννης Φ. Πανάκης
Τάξη:  Β' Λυκείου
Μάθημα:  Μαθηματικά
Σχολικό εγχειρίδιο Τριγωνομετρίας για την Β΄ Λυκείου χωρισμένο σε προβλήματα, εφαρμογές και ασκήσεις. Το εγχειρίδιο μεταγλωττίστηκε στη δημοτική από τους Βασίλειο Θεοδωρακόπουλο, Απόστολο Ζορμπά και τον ...
[Σχολικό Εγχειρίδιο]
Κ. Ιορδανίδης, Δ. Λ. Καραγεώργος, Κ. Κωστάκης, Α. Μακρίδης, Β. Νασόπουλος
Τάξη:  Β' Λυκείου
Μάθημα:  Μαθηματικά
Σχολικό εγχειρίδιο Μαθηματικών Β΄ Λυκείου που περιλαμβάνει Άλγεβρα και Τριγωνομετρία.
[Σχολικό Εγχειρίδιο]
Κ. Ιορδανίδης, Δ. Λ. Καραγεώργος, Κ. Κωστάκης, Α. Μακρίδης, Β. Νασόπουλος
Τάξη:  Β' Λυκείου
Μάθημα:  Μαθηματικά
Σχολικό εγχειρίδιο Μαθηματικών Β΄ Λυκείου που περιλαμβάνει Άλγεβρα και Τριγωνομετρία.
[Μαθητικό Βοήθημα]
Χρίστος Α. Μπαρμπαστάθης
Τάξη:  Γυμνάσιο / Πρακτικό Λύκειο
Μάθημα:  Μαθηματικά
Σχετιζόμενοι όροι:  τόξα, τρίγωνα, ανύσματα
Μαθητικό βοήθημα Τριγωνομετρίας Γυμνασίου και Λυκείου που περιέχει τις λύσεις ασκήσεων.