QR Code
01-40571
Ν. Βαρουχάκης, Λ. Αδαμόπουλος, Ν. Αλεξανδρής, Δ. Α. Παπακωνσταντίνου, Α. Παπαμικρούλης

Μαθηματικά Α΄ Λυκείου άλγεβρα, τεύχος Β΄
[1980, 1η Έκδοση]

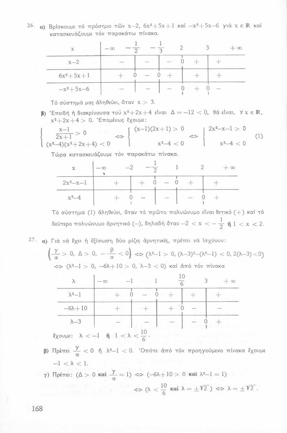
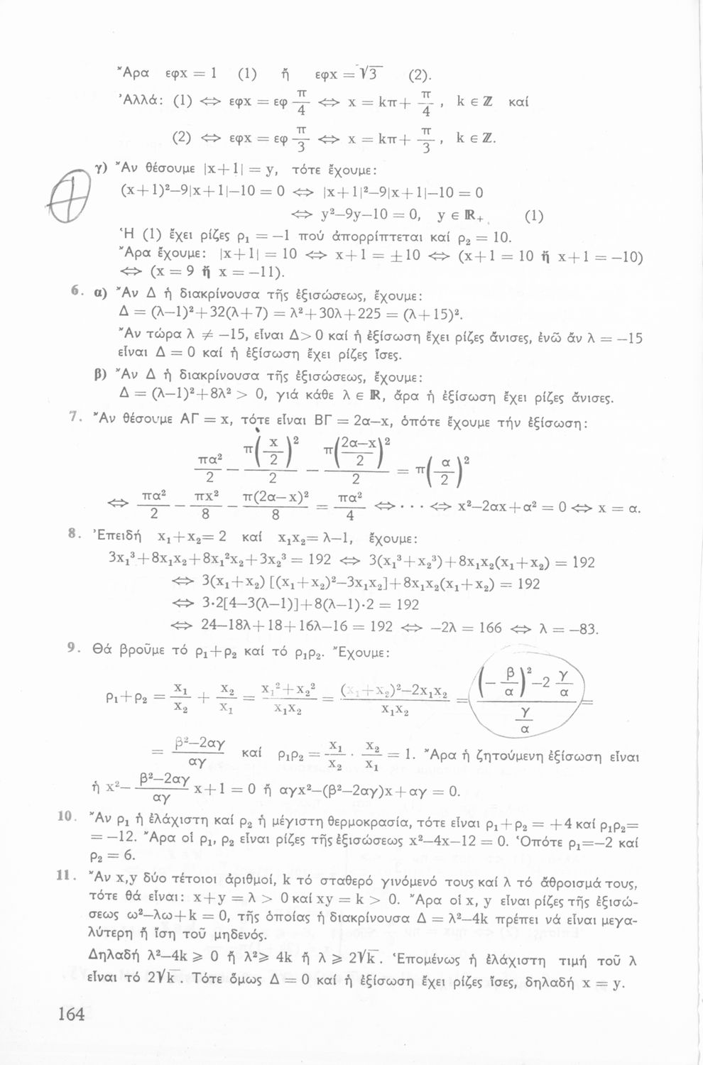
Σχολικό εγχειρίδιο Άλγεβρας Α΄ Λυκείου που είναι χωρισμένο σε αξιώματα, πορίσματα, παραδείγματα και ασκήσεις και εστιάζει στις συναρτήσεις και τις εξισώσεις. Περιέχει παράρτημα με τις λύσεις των ασκήσεων.


TopΠΕΔΙΟ ΑΝΑΓΝΩΡΙΣΗΣ

Κωδικός αναγνώρισης: 01-40571

Τίτλος: Μαθηματικά Α΄ Λυκείου άλγεβρα, τεύχος Β΄

Συγγραφέας: Ν. Βαρουχάκης, Λ. Αδαμόπουλος, Ν. Αλεξανδρής, Δ. Α. Παπακωνσταντίνου, Α. Παπαμικρούλης

Μέγεθος και υπόστρωμα: Σχολικό εγχειρίδιο, 23εκ., μαλακό εξώφυλλο, 175 σελίδες.

TopΠΕΔΙΟ ΠΕΡΙΕΧΟΜΕΝΟΥ

Βαθμίδα εκπαίδευσης: Δευτεροβάθμια

Τάξη: Α' Λυκείου

Μάθημα: Μαθηματικά

Γλώσσα: Δημοτική

Παρουσίαση περιεχομένου: Σχολικό εγχειρίδιο Άλγεβρας Α΄ Λυκείου που είναι χωρισμένο σε αξιώματα, πορίσματα, παραδείγματα και ασκήσεις και εστιάζει στις συναρτήσεις και τις εξισώσεις. Περιέχει παράρτημα με τις λύσεις των ασκήσεων.

TopΠΕΔΙΟ ΠΛΗΡΟΦΟΡΙΩΝ ΕΚΔΟΣΗΣ

Εκδότης: Οργανισμός Εκδόσεως Διδακτικών Βιβλίων

Έτος έκδοσης: 1980

Τόπος έκδοσης: Αθήνα

Έκδοση:

Υπουργική απόφαση / Σύμβαση: 3365/29-2-1980

Έτος έγκρισης: 1980

TopΠΕΔΙΟ ΠΑΡΑΤΗΡΗΣΕΩΝ

Εντοπισμός πρωτοτύπου: Ινστιτούτο Εκπαιδευτικής Πολιτικής

Κωδικός βιβλιοθήκης: 40571

TopΕΥΡΕΤΗΡΙΟ ΘΕΜΑΤΙΚΩΝ ΟΡΩΝ

Σχετιζόμενα πρόσωπα:

Σχετιζόμενοι όροι:


180 εγγραφές [161 - 180]
Σελίδα #161
Σελίδα #162
Σελίδα #163
Σελίδα #164
Σελίδα #165
Σελίδα #166
Σελίδα #167
Σελίδα #168
Σελίδα #169
Σελίδα #170
Σελίδα #171
Σελίδα #172
Σελίδα #173
Σελίδα #174
Σελίδα #175
Σελίδα #176
Σελίδα #177
Σελίδα #178
Σελίδα #179
Σελίδα #180
    
[Σχολικό Εγχειρίδιο]
Ν. Βαρουχάκης, Λ. Αδαμόπουλος, Ν. Αλεξανδρής, Δ. Α. Παπακωνσταντίνου, Α. Παπαμικρούλης
Τάξη:  Α' Λυκείου
Μάθημα:  Μαθηματικά
Σχολικό εγχειρίδιο Άλγεβρας Α΄ Λυκείου που είναι χωρισμένο σε αξιώματα, πορίσματα, παραδείγματα και ασκήσεις και εστιάζει στις συναρτήσεις, τις εξισώσεις και τις αριθμητικές πράξεις. Περιλαμβάνει στοιχεία ...
[Μαθητικό Βοήθημα]
Χρήστος Γ. Παπανικολάου
Τάξη:  Α' Λυκείου
Μάθημα:  Μαθηματικά
Σχετιζόμενοι όροι:  σχήματα, τρίγωνα, κριτήρια, θεώρημα
Μαθητικό βοήθημα Γεωμετρίας Α΄ Λυκείου που περιέχει τις λύσεις των ασκήσεων 149-305 του βιβλίου Ευκλείδειος Γεωμετρία για τις τάξεις Α΄, Β΄ και Γ΄ Λυκείου του Ο.Ε.Δ.Β που είχε συγγράψει ο Χρήστος Γ. ...
[Σχολικό Εγχειρίδιο]
Κ. Ιορδανίδης, Δ. Λ. Καραγεώργος, Κ. Κωστάκης, Α. Μακρίδης, Β. Νασόπουλος
Τάξη:  Β' Λυκείου
Μάθημα:  Μαθηματικά
Σχολικό εγχειρίδιο Μαθηματικών Β΄ Λυκείου χωρισμένο σε θεωρία, παρατηρήσεις, παραδείγματα και ασκήσεις.
[Μαθητικό Βοήθημα]
Γεώργιος Κ. Μπούσγος
Τάξη:  Β' Γυμνασίου
Μάθημα:  Μαθηματικά
Μαθητικό βοήθημα Μαθηματικών Β΄ Γυμνασίου που περιλαμβάνει εξισώσεις και ανισώσεις, διανύσματα και θεωρία συνόλων.
[Σχολικό Εγχειρίδιο]
Χρ. Γ. Παπανικολάου
Τάξη:  Α' Λυκείου / Β' Λυκείου / Γ' Λυκείου
Μάθημα:  Μαθηματικά
Σχολικό εγχειρίδιο Γεωμετρίας για τις Α΄, Β΄ και Γ΄ Λυκείου που περιλαμβάνει θεωρία και ασκήσεις και είναι χωρισμένο σε Επιπεδομετρία και Στερεομετρία.
[Σχολικό Εγχειρίδιο]
Χρ. Γ. Παπανικολάου
Τάξη:  Β' Λυκείου
Μάθημα:  Μαθηματικά
Σχολικό εγχειρίδιο Γεωμετρίας για τις Α΄, Β΄ και Γ΄ Λυκείου που περιλαμβάνει θεωρία και ασκήσεις και είναι χωρισμένο σε Επιπεδομετρία και Στερεομετρία.
[Σχολικό Εγχειρίδιο]
Δημήτριος Κ. Παπαμιχαήλ, Α. Σκιαδάς
Τάξη:  Α' Λυκείου
Μάθημα:  Μαθηματικά
Σχολικό εγχειρίδιο Γεωμετρίας Α΄ Λυκείου χωρισμένο σε θεωρήματα, λυμένες ασκήσεις, ασκήσεις και επαναλήψεις κεφαλαίου. Περιέχει ένα παράρτημα με επαναληπτικά μαθήματα και ένα με ευρετήριο όρων.
[Σχολικό Εγχειρίδιο]
Δ. Παπαμιχαήλ, Α. Σκιαδάς
Τάξη:  Α' Λυκείου
Μάθημα:  Μαθηματικά
Σχολικό εγχειρίδιο Γεωμετρίας Α΄ Λυκείου χωρισμένο σε θεωρήματα, λυμένες ασκήσεις, ασκήσεις και επαναλήψεις κεφαλαίου. Περιέχει ένα παράρτημα με επαναληπτικά μαθήματα και ένα με ευρετήριο όρων.
[Σχολικό Εγχειρίδιο]
Κ. Ιορδανίδης, Δ. Λ. Καραγεώργος, Κ. Κωστάκης, Α. Μακρίδης, Β. Νασόπουλος
Τάξη:  Β' Λυκείου
Μάθημα:  Μαθηματικά
Σχολικό εγχειρίδιο Μαθηματικών Β΄ Λυκείου που περιλαμβάνει Άλγεβρα και Τριγωνομετρία και είναι χωρισμένο σε θεωρήματα, παρατηρήσεις, παραδείγματα και ασκήσεις.
[Μαθητικό Βοήθημα]
Δ. Παπαμιχαήλ, Α. Σκιαδάς
Τάξη:  Α' Λυκείου
Μάθημα:  Μαθηματικά
Μαθητικό βοήθημα Γεωμετρίας Α΄ Λυκείου που περιλαμβάνει θέματα θεωρίας, ερωτήσεις και λύσεις ασκήσεων.