QR Code
01-40638
Βασίλειος Στάικος 

Μαθηματικά Γ΄ Λυκείου ύλη επιλογής
[1981, 12η Έκδοση]

Σχολικό εγχειρίδιο Μαθηματικών Γ΄ Λυκείου που είναι χωρισμένο σε θεωρήματα, παραδείγματα και ασκήσεις και περιλαμβάνει στοιχεία Ανώτερης Άλγεβρας και Μαθηματικής Ανάλυσης.


TopΠΕΔΙΟ ΑΝΑΓΝΩΡΙΣΗΣ

Κωδικός αναγνώρισης: 01-40638

Τίτλος: Μαθηματικά Γ΄ Λυκείου ύλη επιλογής

Συγγραφέας: Βασίλειος Στάικος 

Εικονογράφος: Τάσος Μουσταφέλλος (εξώφυλλο)

Μέγεθος και υπόστρωμα: Σχολικό εγχειρίδιο, 23εκ., μαλακό εξώφυλλο, 165 σελίδες.

TopΠΕΔΙΟ ΠΕΡΙΕΧΟΜΕΝΟΥ

Βαθμίδα εκπαίδευσης: Δευτεροβάθμια

Τάξη: Γ' Λυκείου

Μάθημα: Μαθηματικά

Γλώσσα: Δημοτική

Παρουσίαση περιεχομένου: Σχολικό εγχειρίδιο Μαθηματικών Γ΄ Λυκείου που είναι χωρισμένο σε θεωρήματα, παραδείγματα και ασκήσεις και περιλαμβάνει στοιχεία Ανώτερης Άλγεβρας και Μαθηματικής Ανάλυσης.

TopΠΕΔΙΟ ΠΛΗΡΟΦΟΡΙΩΝ ΕΚΔΟΣΗΣ

Εκδότης: Οργανισμός Εκδόσεως Διδακτικών Βιβλίων

Έτος έκδοσης: 1981

Τόπος έκδοσης: Αθήνα

Έκδοση: 12η

Υπουργική απόφαση / Σύμβαση: 3568/10-3-1981

Έτος έγκρισης: 1981

TopΠΕΔΙΟ ΠΑΡΑΤΗΡΗΣΕΩΝ

Εντοπισμός πρωτοτύπου: Ινστιτούτο Εκπαιδευτικής Πολιτικής

Κωδικός βιβλιοθήκης: 40638

TopΕΥΡΕΤΗΡΙΟ ΘΕΜΑΤΙΚΩΝ ΟΡΩΝ

Σχετιζόμενα πρόσωπα:

Σχετιζόμενοι όροι:


172 εγγραφές [21 - 40]
Σελίδα #019
Σελίδα #020
Σελίδα #021
Σελίδα #022
Σελίδα #023
Σελίδα #024
Σελίδα #025
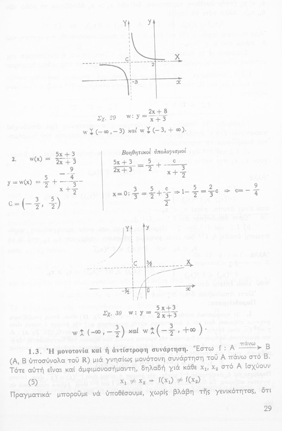
Σελίδα #026
Σελίδα #027
Σελίδα #028
Σελίδα #029
Σελίδα #030
Σελίδα #031
Σελίδα #032
Σελίδα #033
Σελίδα #034
Σελίδα #035
Σελίδα #036
Σελίδα #037
Σελίδα #038
Σελίδα #039
Σελίδα #040
Σελίδα #041
Σελίδα #042
[Σχολικό Εγχειρίδιο]
Βασίλειος Στάικος 
Τάξη:  Γ' Λυκείου
Μάθημα:  Μαθηματικά
Σχετιζόμενοι όροι:  σύνολα, συναρτήσεις, ολοκληρώματα
Σχολικό εγχειρίδιο Μαθηματικών Γ΄ Λυκείου που είναι χωρισμένο σε θεωρήματα, παραδείγματα και ασκήσεις και περιλαμβάνει στοιχεία Ανώτερης Άλγεβρας και Μαθηματικής Ανάλυσης.
[Σχολικό Εγχειρίδιο]
Βασίλειος Στάικος
Τάξη:  Γ' Λυκείου
Μάθημα:  Μαθηματικά
Σχετιζόμενοι όροι:  σύνολα, συναρτήσεις, ολοκληρώματα
Σχολικό εγχειρίδιο Μαθηματικών Γ΄ Λυκείου που είναι χωρισμένο σε θεωρήματα, παραδείγματα και ασκήσεις και περιλαμβάνει στοιχεία Ανώτερης Άλγεβρας και Μαθηματικής Ανάλυσης.
[Σχολικό Εγχειρίδιο]
Βασίλειος Στάικος 
Τάξη:  Γ' Λυκείου
Μάθημα:  Μαθηματικά
Σχετιζόμενοι όροι:  σύνολα, συναρτήσεις, ολοκληρώματα
Σχολικό εγχειρίδιο Μαθηματικών Γ΄ Λυκείου που είναι χωρισμένο σε θεωρήματα, παραδείγματα και ασκήσεις και περιλαμβάνει στοιχεία Ανώτερης Άλγεβρας και Μαθηματικής Ανάλυσης.
[Σχολικό Εγχειρίδιο]
Κ. Ιορδανίδης, Δ. Λ. Καραγεώργος, Κ. Κωστάκης, Α. Μακρίδης, Β. Νασόπουλος
Τάξη:  Β' Λυκείου
Μάθημα:  Μαθηματικά
Σχολικό εγχειρίδιο Μαθηματικών Β΄ Λυκείου που εστιάζει στην Άλγεβρα.
[Σχολικό Εγχειρίδιο]
Φ. Κ. Βώρος, Ξένη Οικονομοπούλου, Βασίλειος Δ. Ασημομύτης, Νικ. Π. Δημακόπουλος, Θ. Κατσουλάκος
Τάξη:  Γ' Λυκείου
Μάθημα:  Ιστορία
Σχολικό εγχειρίδιο Ιστορίας Γ΄ Λυκείου που πραγματεύεται τον ευρωπαϊκό διαφωτισμό, νεοελληνικό διαφωτισμό και θέματα νεοελληνικής ιστορίας (1750-1850) από πηγές.
[Σχολικό Εγχειρίδιο]
Αλκίνοος Μάζης
Τάξη:  Γ' Λυκείου
Μάθημα:  Φυσική
Σχολικό εγχειρίδιο Φυσικής Γ΄ Λυκείου που περιλαμβάνει θεωρία και ασκήσεις στα πεδία της μηχανικής, της οπτικής, της ακουστικής, του ηλεκτρισμού καθώς και ατομικής και πυρηνικής φυσικής.
[Σχολικό Εγχειρίδιο]
Αλκίνοος Μάζης
Τάξη:  Γ' Λυκείου
Μάθημα:  Φυσική
Σχολικό εγχειρίδιο Φυσικής Γ΄ Λυκείου που περιλαμβάνει θεωρία και ασκήσεις στα πεδία της μηχανικής, της οπτικής, της ακουστικής, του ηλεκτρισμού καθώς και ατομικής και πυρηνικής φυσικής.
[Σχολικό Εγχειρίδιο]
Κ. Ιορδανίδης, Δ. Λ. Καραγεώργος, Κ. Κωστάκης, Α. Μακρίδης, Β. Νασόπουλος
Τάξη:  Β' Λυκείου
Μάθημα:  Μαθηματικά
Σχολικό εγχειρίδιο Μαθηματικών Β΄ Λυκείου που περιλαμβάνει Άλγεβρα και Τριγωνομετρία και είναι χωρισμένο σε θεωρήματα, παρατηρήσεις, παραδείγματα και ασκήσεις.
[Σχολικό Εγχειρίδιο]
Κ. Ιορδανίδης, Δ. Λ. Καραγεώργος, Κ. Κωστάκης, Α. Μακρίδης, Β. Νασόπουλος
Τάξη:  Β' Λυκείου
Μάθημα:  Μαθηματικά
Σχολικό εγχειρίδιο Μαθηματικών Β΄ Λυκείου που περιλαμβάνει Άλγεβρα και Τριγωνομετρία.
[Σχολικό Εγχειρίδιο]
Βασίλειος Στάικος
Τάξη:  Γ' Λυκείου
Μάθημα:  Μαθηματικά
Σχετιζόμενοι όροι:  σύνολα, συναρτήσεις, ολοκληρώματα
Σχολικό εγχειρίδιο Μαθηματικών Γ΄ Λυκείου που είναι χωρισμένο σε θεωρήματα, παραδείγματα και ασκήσεις και περιλαμβάνει στοιχεία Ανώτερης Άλγεβρας και Μαθηματικής Ανάλυσης.