QR Code
01-40690
Θ. Βαβαλέτσκος, Γ. Μπούσγος

Μαθηματικά Δ΄ Γυμνασίου (θετικής κατευθύνσεως), τόμος Α΄
[1968, 1η Έκδοση]

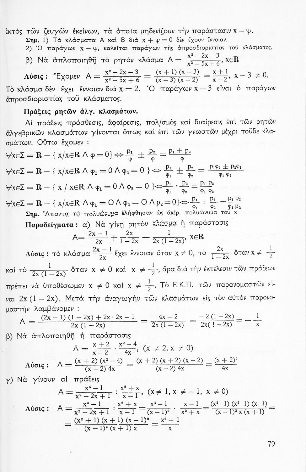
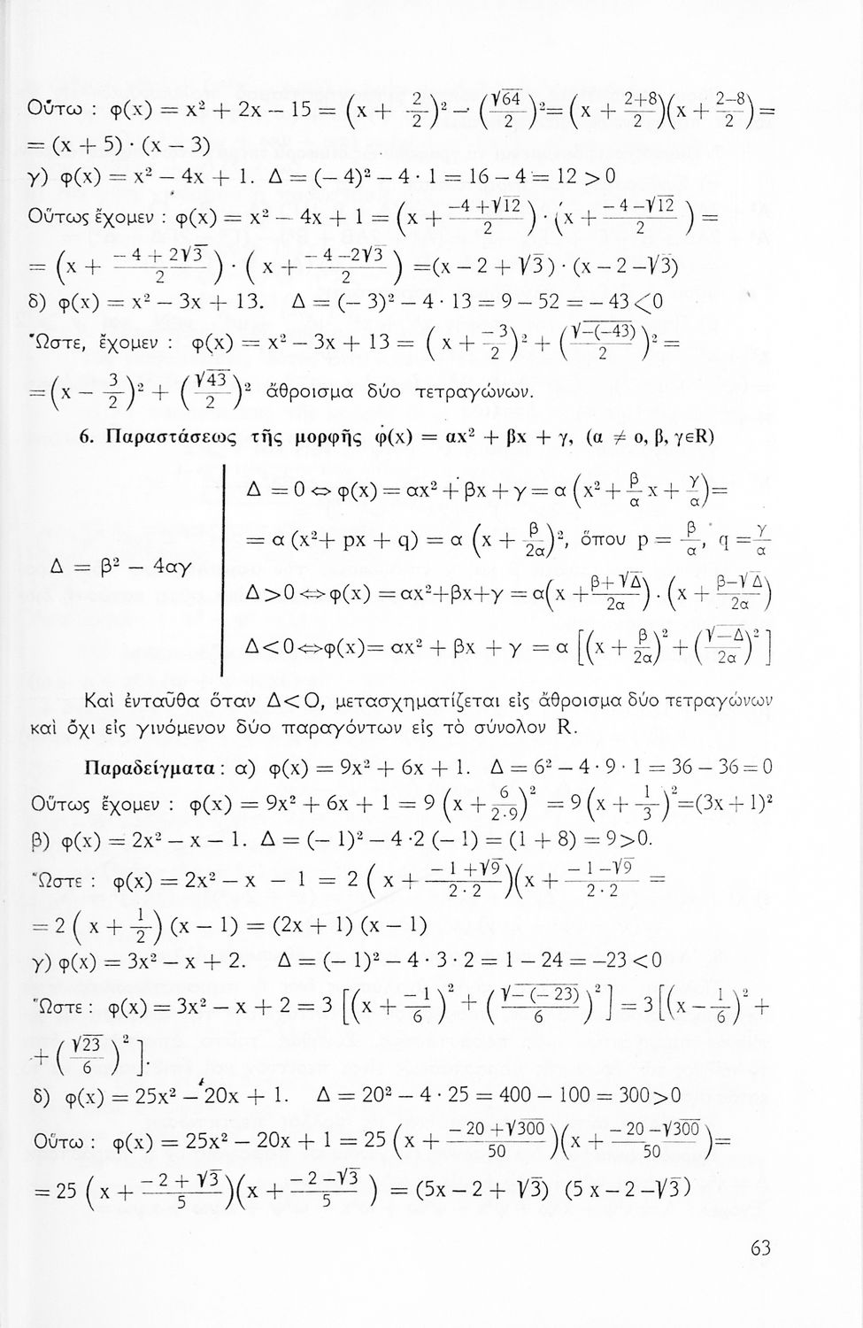
Σχολικό εγχειρίδιο Μαθηματικών Δ΄ Γυμνασίου χωρισμένο σε ορισμούς, παραδείγματα και ασκήσεις. Περιέχει στοιχεία Περιγραφικής Στατιστικής και Τριγωνομετρίας. Φέρει το σύμβολο της δικτατορίας.


TopΠΕΔΙΟ ΑΝΑΓΝΩΡΙΣΗΣ

Κωδικός αναγνώρισης: 01-40690

Τίτλος: Μαθηματικά Δ΄ Γυμνασίου (θετικής κατευθύνσεως), τόμος Α΄

Συγγραφέας: Θ. Βαβαλέτσκος, Γ. Μπούσγος

Μέγεθος και υπόστρωμα: Σχολικό εγχειρίδιο, 23εκ., μαλακό εξώφυλλο, 272 σελίδες.

TopΠΕΔΙΟ ΠΕΡΙΕΧΟΜΕΝΟΥ

Βαθμίδα εκπαίδευσης: Δευτεροβάθμια

Τάξη: Δ' Γυμνασίου

Μάθημα: Μαθηματικά

Γλώσσα: Απλή καθαρεύουσα

Παρουσίαση περιεχομένου: Σχολικό εγχειρίδιο Μαθηματικών Δ΄ Γυμνασίου χωρισμένο σε ορισμούς, παραδείγματα και ασκήσεις. Περιέχει στοιχεία Περιγραφικής Στατιστικής και Τριγωνομετρίας. Φέρει το σύμβολο της δικτατορίας.

TopΠΕΔΙΟ ΠΛΗΡΟΦΟΡΙΩΝ ΕΚΔΟΣΗΣ

Εκδότης: Οργανισμός Εκδόσεως Διδακτικών Βιβλίων

Έτος έκδοσης: 1968

Τόπος έκδοσης: Αθήνα

Έκδοση:

Υπουργική απόφαση / Σύμβαση: 126711/19-9-1968

Έτος έγκρισης: 1968

TopΠΕΔΙΟ ΠΑΡΑΤΗΡΗΣΕΩΝ

Εντοπισμός πρωτοτύπου: Ινστιτούτο Εκπαιδευτικής Πολιτικής

Κωδικός βιβλιοθήκης: 40690

TopΕΥΡΕΤΗΡΙΟ ΘΕΜΑΤΙΚΩΝ ΟΡΩΝ

Σχετιζόμενα πρόσωπα:

Σχετιζόμενοι όροι:


276 εγγραφές [61 - 80]
Σελίδα #061
Σελίδα #062
Σελίδα #063
Σελίδα #064
Σελίδα #065
Σελίδα #066
Σελίδα #067
Σελίδα #068
Σελίδα #069
Σελίδα #070
Σελίδα #071
Σελίδα #072
Σελίδα #073
Σελίδα #074
Σελίδα #075
Σελίδα #076
Σελίδα #077
Σελίδα #078
Σελίδα #079
Σελίδα #080
Σελίδα #081
Σελίδα #082
Σελίδα #083
Σελίδα #084
[Σχολικό Εγχειρίδιο]
Θ. Βαβαλέτσκος, Γ. Μπούσγος
Τάξη:  Δ' Γυμνασίου
Μάθημα:  Μαθηματικά
Σχετιζόμενοι όροι:  εξισώσεις, συναρτήσεις, ανισώσεις
Σχολικό εγχειρίδιο Μαθηματικών Δ΄ Γυμνασίου χωρισμένο σε ορισμούς, παραδείγματα και ασκήσεις. Περιέχει στοιχεία Περιγραφικής Στατιστικής και Τριγωνομετρίας. Φέρει το σύμβολο της δικτατορίας.
[Σχολικό Εγχειρίδιο]
Θ. Βαβαλέτσκος, Γ. Μπούσγος
Τάξη:  Δ' Γυμνασίου
Μάθημα:  Μαθηματικά
Σχετιζόμενοι όροι:  εξισώσεις, συναρτήσεις, ανισώσεις
Σχολικό εγχειρίδιο Μαθηματικών Δ΄ Γυμνασίου χωρισμένο σε ορισμούς, παραδείγματα και ασκήσεις. Περιέχει στοιχεία Περιγραφικής Στατιστικής και Τριγωνομετρίας.
[Σχολικό Εγχειρίδιο]
Βασίλειος Στάικος
Τάξη:  ΣΤ' Γυμνασίου
Μάθημα:  Μαθηματικά
Σχετιζόμενοι όροι:  σύνολα, συναρτήσεις, ολοκληρώματα
Σχολικό εγχειρίδιο Μαθηματικών Γυμνασίου που είναι χωρισμένο σε θεωρήματα, παραδείγματα και ασκήσεις και περιλαμβάνει στοιχεία Ανώτερης Άλγεβρας και Μαθηματικής Ανάλυσης.
[Σχολικό Εγχειρίδιο]
Ηλίας Β. Ντζιώρας
Τάξη:  Ε' Γυμνασίου
Μάθημα:  Μαθηματικά
Σχολικό εγχειρίδιο Μαθηματικών Ε' Γυμνασίου που εστιάζει στη θεωρίας των συνόλων, τα ακέραια πολυώνυμα, τους πραγματικούς αριθμούς και τις πιθανότητες.
[Σχολικό Εγχειρίδιο]
Ηλίας Β. Ντζιώρας
Τάξη:  Ε' Γυμνασίου
Μάθημα:  Μαθηματικά
Σχολικό εγχειρίδιο Μαθηματικών Ε' Γυμνασίου που εστιάζει στη θεωρίας των συνόλων, τα ακέραια πολυώνυμα, τους πραγματικούς αριθμούς και τις πιθανότητες.
[Σχολικό Εγχειρίδιο]
Ηλίας Β. Ντζιώρας
Τάξη:  Ε' Γυμνασίου
Μάθημα:  Μαθηματικά
Σχολικό εγχειρίδιο Μαθηματικών Ε' Γυμνασίου που εστιάζει στη θεωρίας των συνόλων, τα ακέραια πολυώνυμα, τους πραγματικούς αριθμούς και τις πιθανότητες. Φέρει το σύμβολο της δικτατορίας.
[Σχολικό Εγχειρίδιο]
Β. Στάικος
Τάξη:  ΣΤ' Γυμνασίου
Μάθημα:  Μαθηματικά
Σχετιζόμενοι όροι:  σύνολα, συναρτήσεις, ολοκληρώματα
Σχολικό εγχειρίδιο Μαθηματικών ΣΤ΄ Γυμνασίου που είναι χωρισμένο σε θεωρήματα, παραδείγματα και ασκήσεις και περιλαμβάνει στοιχεία Ανώτερης Άλγεβρας και Μαθηματικής Ανάλυσης.
[Σχολικό Εγχειρίδιο]
Ιωάν. Πανάκης
Τάξη:  Ε' Γυμνασίου
Μάθημα:  Μαθηματικά
Σχολικό εγχειρίδιο Μαθηματικών για την Ε΄ Γυμνασίου, χωρισμένο σε προβλήματα, εφαρμογές και ασκήσεις, που εστιάζει στην Τριγωνομετρία. Φέρει το σύμβολο της δικτατορίας.
[Σχολικό Εγχειρίδιο]
Βασίλειος Στάικος
Τάξη:  Γ' Λυκείου
Μάθημα:  Μαθηματικά
Σχετιζόμενοι όροι:  σύνολα, συναρτήσεις, ολοκληρώματα
Σχολικό εγχειρίδιο Μαθηματικών Γ΄ Λυκείου που είναι χωρισμένο σε θεωρήματα, παραδείγματα και ασκήσεις και περιλαμβάνει στοιχεία Ανώτερης Άλγεβρας και Μαθηματικής Ανάλυσης.
[Σχολικό Εγχειρίδιο]
Βασίλειος Στάικος
Τάξη:  Γ' Λυκείου
Μάθημα:  Μαθηματικά
Σχετιζόμενοι όροι:  σύνολα, συναρτήσεις, ολοκληρώματα
Σχολικό εγχειρίδιο Μαθηματικών Γ΄ Λυκείου που είναι χωρισμένο σε θεωρήματα, παραδείγματα και ασκήσεις και περιλαμβάνει στοιχεία Ανώτερης Άλγεβρας και Μαθηματικής Ανάλυσης.