QR Code
01-40896
Κ. Ιορδανίδης, Δ. Λ. Καραγεώργος, Κ. Κωστάκης, Α. Μακρίδης, Β. Νασόπουλος

Μαθηματικά Β΄ Λυκείου ύλη επιλογής, τεύχος Α΄
[1978, 1η Έκδοση]

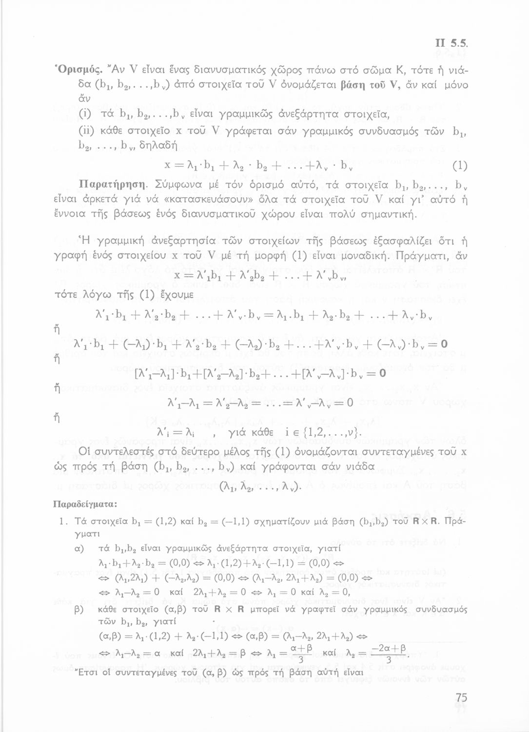
Σχολικό εγχειρίδιο Μαθηματικών Β΄ Λυκείου χωρισμένο σε θεωρία, παρατηρήσεις, παραδείγματα και ασκήσεις.


TopΠΕΔΙΟ ΑΝΑΓΝΩΡΙΣΗΣ

Κωδικός αναγνώρισης: 01-40896

Τίτλος: Μαθηματικά Β΄ Λυκείου ύλη επιλογής, τεύχος Α΄

Συγγραφέας: Κ. Ιορδανίδης, Δ. Λ. Καραγεώργος, Κ. Κωστάκης, Α. Μακρίδης, Β. Νασόπουλος

Μέγεθος και υπόστρωμα: Σχολικό εγχειρίδιο, 22εκ., μαλακό εξώφυλλο, 86 σελίδες. Σκίτσα (ασπρόμαυρα).

TopΠΕΔΙΟ ΠΕΡΙΕΧΟΜΕΝΟΥ

Βαθμίδα εκπαίδευσης: Δευτεροβάθμια

Τάξη: Β' Λυκείου

Μάθημα: Μαθηματικά

Γλώσσα: Δημοτική

Παρουσίαση περιεχομένου: Σχολικό εγχειρίδιο Μαθηματικών Β΄ Λυκείου χωρισμένο σε θεωρία, παρατηρήσεις, παραδείγματα και ασκήσεις.

TopΠΕΔΙΟ ΠΛΗΡΟΦΟΡΙΩΝ ΕΚΔΟΣΗΣ

Εκδότης: Οργανισμός Εκδόσεως Διδακτικών Βιβλίων

Έτος έκδοσης: 1978

Τόπος έκδοσης: Αθήνα

Έκδοση:

TopΠΕΔΙΟ ΠΑΡΑΤΗΡΗΣΕΩΝ

Εντοπισμός πρωτοτύπου: Ινστιτούτο Εκπαιδευτικής Πολιτικής

Κωδικός βιβλιοθήκης: 40896

TopΕΥΡΕΤΗΡΙΟ ΘΕΜΑΤΙΚΩΝ ΟΡΩΝ

Σχετιζόμενα πρόσωπα:

Σχετιζόμενοι όροι:


92 εγγραφές [61 - 80]
Σελίδα #059
Σελίδα #060
Σελίδα #061
Σελίδα #062
Σελίδα #063
Σελίδα #064
Σελίδα #065
Σελίδα #066
Σελίδα #067
Σελίδα #068
Σελίδα #069
Σελίδα #070
Σελίδα #071
Σελίδα #072
Σελίδα #073
Σελίδα #074
Σελίδα #075
Σελίδα #076
Σελίδα #077
Σελίδα #078
Σελίδα #079
Σελίδα #080
Σελίδα #081
Σελίδα #082
[Σχολικό Εγχειρίδιο]
Ν. Βαρουχάκης, Λ. Αδαμόπουλος, Ν. Αλεξανδρής, Δ. Α. Παπακωνσταντίνου, Α. Παπαμικρούλης
Τάξη:  Α' Λυκείου
Μάθημα:  Μαθηματικά
Σχολικό εγχειρίδιο Άλγεβρας Α΄ Λυκείου που είναι χωρισμένο σε αξιώματα, πορίσματα, παραδείγματα και ασκήσεις και εστιάζει στις συναρτήσεις και τις εξισώσεις. Περιέχει παράρτημα με τις λύσεις των ασκήσεων.
[Σχολικό Εγχειρίδιο]
Κ. Ιορδανίδης, Δ. Λ. Καραγεώργος, Κ. Κωστάκης, Α. Μακρίδης, Β. Νασόπουλος
Τάξη:  Β' Λυκείου
Μάθημα:  Μαθηματικά
Σχολικό εγχειρίδιο Μαθηματικών Β΄ Λυκείου που περιλαμβάνει Άλγεβρα και Τριγωνομετρία και είναι χωρισμένο σε θεωρήματα, παρατηρήσεις, παραδείγματα και ασκήσεις.
[Σχολικό Εγχειρίδιο]
Ν. Βαρουχάκης, Λ. Αδαμόπουλος, Ν. Αλεξανδρής, Δ. Α. Παπακωνσταντίνου, Α. Παπαμικρούλης
Τάξη:  Α' Λυκείου
Μάθημα:  Μαθηματικά
Σχολικό εγχειρίδιο Άλγεβρας Α΄ Λυκείου που είναι χωρισμένο σε αξιώματα, πορίσματα, παραδείγματα και ασκήσεις και εστιάζει στις συναρτήσεις, τις εξισώσεις και τις αριθμητικές πράξεις. Περιλαμβάνει στοιχεία ...
[Μαθητικό Βοήθημα]
Χρήστος Γ. Παπανικολάου
Τάξη:  Α' Λυκείου
Μάθημα:  Μαθηματικά
Σχετιζόμενοι όροι:  σχήματα, τρίγωνα, κριτήρια, θεώρημα
Μαθητικό βοήθημα Γεωμετρίας Α΄ Λυκείου που περιέχει τις λύσεις των ασκήσεων 149-305 του βιβλίου Ευκλείδειος Γεωμετρία για τις τάξεις Α΄, Β΄ και Γ΄ Λυκείου του Ο.Ε.Δ.Β που είχε συγγράψει ο Χρήστος Γ. ...
[Σχολικό Εγχειρίδιο]
Λεωνίδας Σπ. Λιώκης
Τάξη:  Α' Λυκείου / Β' Λυκείου
Μάθημα:  Χημεία
Σχολικό εγχειρίδιο Χημείας Α΄ και Β΄ Λυκείου που περιλαμβάνει εισαγωγή στις έννοιες της Χημείας (ύλη, νόμοι χημείας, χημικές αντιδράσεις, εξισώσεις, ενώσεις), αναλυτική περιγραφή στοιχείων και των ενώσεών τους.
[Σχολικό Εγχειρίδιο]
Δημοσθένης, Κυριάκος Κοσμάς (εισαγωγικά κείμενα, λεξιλόγιο)
Τάξη:  Α' Λυκείου
Σχολικό εγχειρίδιο Αρχαίων Ελληνικών. Α΄ Λυκείου που περιλαμβάνει εισαγωγή στη ζωή και το έργο του Δημοσθένη, τους Λόγους Α΄ και Β΄ Ολυνθιακός και Α΄ και Β΄ κατά Φιλίππου και ερμηνευτικές σημειώσεις.
[Σχολικό Εγχειρίδιο]
Α. Δ. Μητρόπουλος
Τάξη:  Α' Γυμνασίου / Β' Γυμνασίου
Μάθημα:  Μαθηματικά
Σχολικό εγχειρίδιο Γεωμετρίας για την Α΄ και Β΄ Γυμνασίου που περιλαμβάνει θεωρία και ασκήσεις και είναι χωρισμένο σε Επιπεδομετρία και Στερεομετρία.
[Μαθητικό Βοήθημα]
Γεώργιος Κ. Μπούσγος
Τάξη:  Β' Γυμνασίου
Μάθημα:  Μαθηματικά
Μαθητικό βοήθημα Μαθηματικών Β΄ Γυμνασίου που περιλαμβάνει εξισώσεις και ανισώσεις, διανύσματα και θεωρία συνόλων.
[Σχολικό Εγχειρίδιο]
Λεωνίδας Σπ. Λιώκης
Τάξη:  Α' Λυκείου / Β' Λυκείου
Μάθημα:  Χημεία
Σχολικό εγχειρίδιο Χημείας που απευθύνεται σε μαθητές Γυμνασίου με σκοπό τη περιγραφή εισαγωγικών εννοιών χημείας (ύλη, νόμοι χημείας, χημικές αντιδράσεις-εξισώσεις-ενώσεις). Στο βιβλίο γίνεται αναλυτική ...
[Σχολικό Εγχειρίδιο]
Χρ. Γ. Παπανικολάου
Τάξη:  Α' Λυκείου / Β' Λυκείου / Γ' Λυκείου
Μάθημα:  Μαθηματικά
Σχολικό εγχειρίδιο Γεωμετρίας για τις Α΄, Β΄ και Γ΄ Λυκείου που περιλαμβάνει θεωρία και ασκήσεις και είναι χωρισμένο σε Επιπεδομετρία και Στερεομετρία.