QR Code
01-40976
Κ. Ιορδανίδης, Δ. Λ. Καραγεώργος, Κ. Κωστάκης, Α. Μακρίδης, Β. Νασόπουλος

Μαθηματικά Β΄ Λυκείου ύλη επιλογής
[1981, 4η Έκδοση]

Σχολικό εγχειρίδιο Μαθηματικών Β΄ Λυκείου που περιλαμβάνει Άλγεβρα και Τριγωνομετρία.


TopΠΕΔΙΟ ΑΝΑΓΝΩΡΙΣΗΣ

Κωδικός αναγνώρισης: 01-40976

Τίτλος: Μαθηματικά Β΄ Λυκείου ύλη επιλογής

Συγγραφέας: Κ. Ιορδανίδης, Δ. Λ. Καραγεώργος, Κ. Κωστάκης, Α. Μακρίδης, Β. Νασόπουλος

Μέγεθος και υπόστρωμα: Σχολικό εγχειρίδιο, 23εκ., μαλακό εξώφυλλο, 200 σελίδες.

TopΠΕΔΙΟ ΠΕΡΙΕΧΟΜΕΝΟΥ

Βαθμίδα εκπαίδευσης: Δευτεροβάθμια

Τάξη: Β' Λυκείου

Μάθημα: Μαθηματικά

Γλώσσα: Δημοτική

Παρουσίαση περιεχομένου: Σχολικό εγχειρίδιο Μαθηματικών Β΄ Λυκείου που περιλαμβάνει Άλγεβρα και Τριγωνομετρία.

TopΠΕΔΙΟ ΠΛΗΡΟΦΟΡΙΩΝ ΕΚΔΟΣΗΣ

Εκδότης: Οργανισμός Εκδόσεως Διδακτικών Βιβλίων

Έτος έκδοσης: 1981

Τόπος έκδοσης: Αθήνα

Έκδοση:

Υπουργική απόφαση / Σύμβαση: 3620/30-6-1981

Έτος έγκρισης: 1981

TopΠΕΔΙΟ ΠΑΡΑΤΗΡΗΣΕΩΝ

Εντοπισμός πρωτοτύπου: Ινστιτούτο Εκπαιδευτικής Πολιτικής

Κωδικός βιβλιοθήκης: 40976

TopΕΥΡΕΤΗΡΙΟ ΘΕΜΑΤΙΚΩΝ ΟΡΩΝ

Σχετιζόμενα πρόσωπα:

Σχετιζόμενοι όροι:


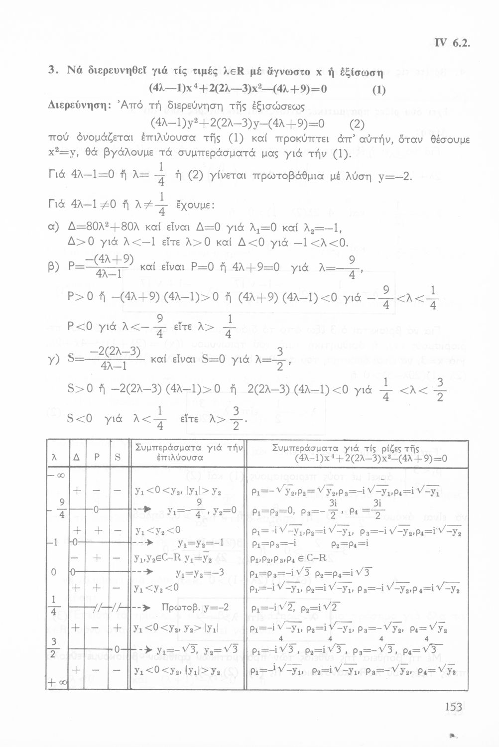
204 εγγραφές [141 - 160]
Σελίδα #139
Σελίδα #140
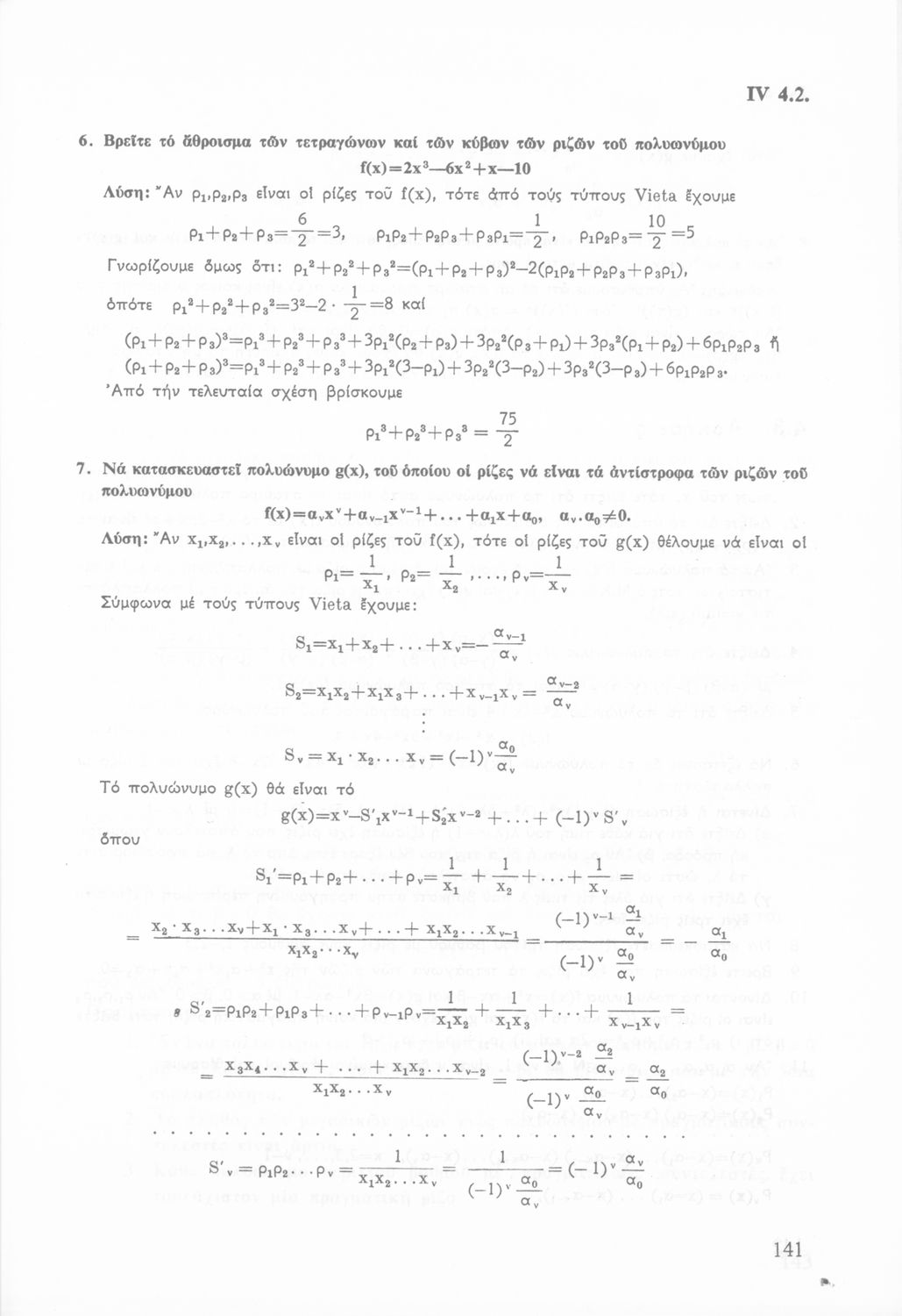
Σελίδα #141
Σελίδα #142
Σελίδα #143
Σελίδα #144
Σελίδα #145
Σελίδα #146
Σελίδα #147
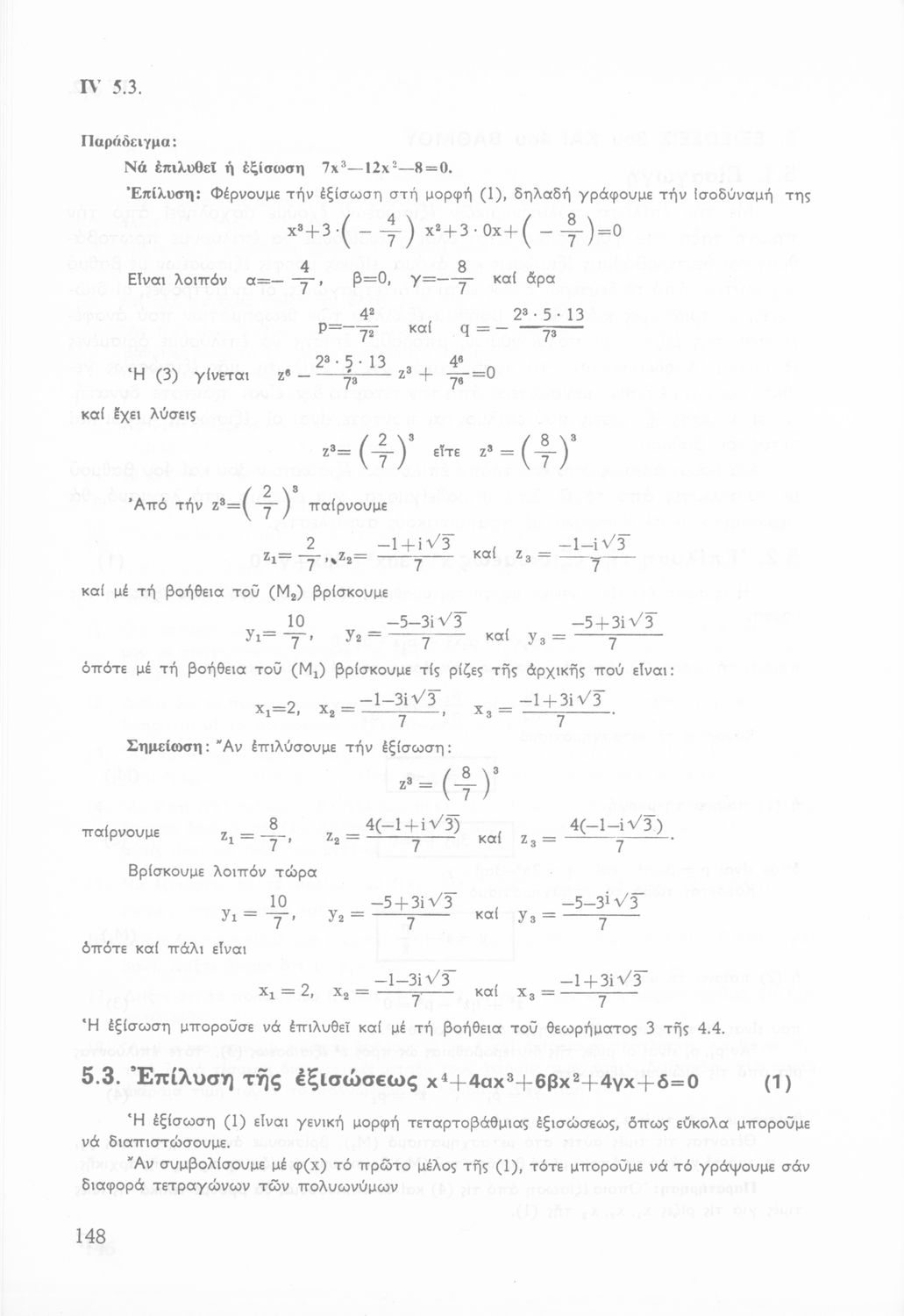
Σελίδα #148
Σελίδα #149
Σελίδα #150
Σελίδα #151
Σελίδα #152
Σελίδα #153
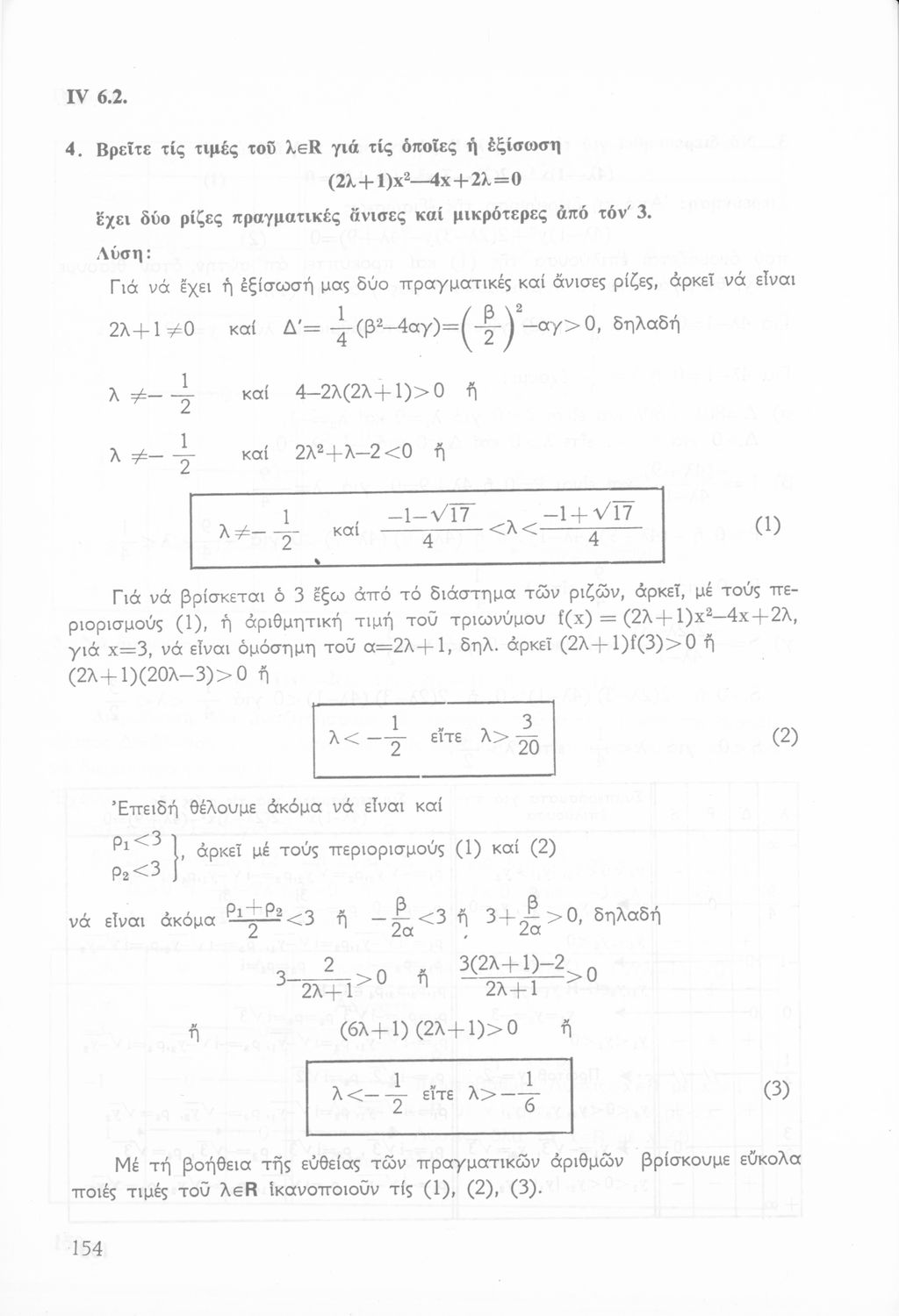
Σελίδα #154
Σελίδα #155
Σελίδα #156
Σελίδα #157
Σελίδα #158
Σελίδα #159
Σελίδα #160
Σελίδα #161
Σελίδα #162
[Σχολικό Εγχειρίδιο]
Κ. Ιορδανίδης, Δ. Λ. Καραγεώργος, Κ. Κωστάκης, Α. Μακρίδης, Β. Νασόπουλος
Τάξη:  Β' Λυκείου
Μάθημα:  Μαθηματικά
Σχολικό εγχειρίδιο Μαθηματικών Β΄ Λυκείου που εστιάζει στην Άλγεβρα.
[Σχολικό Εγχειρίδιο]
Κ. Ιορδανίδης, Δ. Λ. Καραγεώργος, Κ. Κωστάκης, Α. Μακρίδης, Β. Νασόπουλος
Τάξη:  Β' Λυκείου
Μάθημα:  Μαθηματικά
Σχολικό εγχειρίδιο Μαθηματικών Β΄ Λυκείου που περιλαμβάνει Άλγεβρα και Τριγωνομετρία και είναι χωρισμένο σε θεωρήματα, παρατηρήσεις, παραδείγματα και ασκήσεις.
[Σχολικό Εγχειρίδιο]
Κ. Ιορδανίδης, Δ. Λ. Καραγεώργος, Κ. Κωστάκης, Α. Μακρίδης, Β. Νασόπουλος
Τάξη:  Β' Λυκείου
Μάθημα:  Μαθηματικά
Σχολικό εγχειρίδιο Μαθηματικών Β΄ Λυκείου που περιλαμβάνει Άλγεβρα και Τριγωνομετρία.
[Σχολικό Εγχειρίδιο]
Κ. Ιορδανίδης, Δ. Λ. Καραγεώργος, Κ. Κωστάκης, Α. Μακρίδης, Β. Νασόπουλος
Τάξη:  Β' Λυκείου
Μάθημα:  Μαθηματικά
Σχολικό εγχειρίδιο Μαθηματικών Β΄ Λυκείου που περιλαμβάνει Άλγεβρα και Τριγωνομετρία.
[Σχολικό Εγχειρίδιο]
Κ. Ιορδανίδης, Δ. Λ. Καραγεώργος, Κ. Κωστάκης, Α. Μακρίδης, Β. Νασόπουλος
Τάξη:  Β' Λυκείου
Μάθημα:  Μαθηματικά
Σχολικό εγχειρίδιο Μαθηματικών Β΄ Λυκείου χωρισμένο σε θεωρία, παρατηρήσεις, παραδείγματα και ασκήσεις.
[Σχολικό Εγχειρίδιο]
Αικ. Χριστοφιλοπούλου
Τάξη:  Β' Λυκείου
Μάθημα:  Ιστορία
Σχολικό εγχειρίδιο Ιστορίας Β΄ Λυκείου που αποτελεί εισαγωγή στην ιστοριογραφία και την επιστήμη της ιστορίας και αναλύει τα είδη των ιστορικών πηγών.
[Σχολικό Εγχειρίδιο]
Βασίλειος Στάικος 
Τάξη:  Γ' Λυκείου
Μάθημα:  Μαθηματικά
Σχετιζόμενοι όροι:  σύνολα, συναρτήσεις, ολοκληρώματα
Σχολικό εγχειρίδιο Μαθηματικών Γ΄ Λυκείου που είναι χωρισμένο σε θεωρήματα, παραδείγματα και ασκήσεις και περιλαμβάνει στοιχεία Ανώτερης Άλγεβρας και Μαθηματικής Ανάλυσης.
[Σχολικό Εγχειρίδιο]
Ηλίας Β. Ντζιώρας
Τάξη:  Β' Λυκείου
Μάθημα:  Μαθηματικά
Σχολικό εγχειρίδιο Άλγεβρας Β΄ Λυκείου χωρισμένο σε θεωρία, παρατηρήσεις και ασκήσεις που περιλαμβάνει και στοιχεία από το Διανυσματικό Λογισμό και την Αναλυτική Γεωμετρία που έχουν συγγραφεί από τον Ιωάννη ...
[Σχολικό Εγχειρίδιο]
Ηλίας Β. Ντζιώρας, Ιωάννης Φ. Πανάκης
Τάξη:  Β' Λυκείου
Μάθημα:  Μαθηματικά
Σχολικό εγχειρίδιο Μαθηματικών Β΄ Λυκείου χωρισμένο σε Άλγεβρα και Τριγωνομετρία.
[Σχολικό Εγχειρίδιο]
Ιωάννης Φ. Πανάκης
Τάξη:  Β' Λυκείου
Μάθημα:  Μαθηματικά
Σχολικό εγχειρίδιο Τριγωνομετρίας για την Β΄ Λυκείου χωρισμένο σε προβλήματα, εφαρμογές και ασκήσεις. Το εγχειρίδιο μεταγλωττίστηκε στη δημοτική από τους Βασίλειο Θεοδωρακόπουλο, Απόστολο Ζορμπά και τον ...