QR Code
01-45005
Αθανάσιος Ι. Κεφαλιάκος

Λύσεις Άλγεβρας Ο.Ε.Σ.Β. τεύχος Α΄

Μαθητικό βοήθημα Άλγεβρας που περιλαμβάνει τις λύσεις των ασκήσεων του βιβλίου του Ο.Ε.Σ.Β.


TopΠΕΔΙΟ ΑΝΑΓΝΩΡΙΣΗΣ

Κωδικός αναγνώρισης: 01-45005

Τίτλος: Λύσεις Άλγεβρας Ο.Ε.Σ.Β. τεύχος Α΄

Συγγραφέας: Αθανάσιος Ι. Κεφαλιάκος

Μέγεθος και υπόστρωμα: Μαθητικό βοήθημα, 21εκ., μαλακό εξώφυλλο, 122 σελίδες.

TopΠΕΔΙΟ ΠΕΡΙΕΧΟΜΕΝΟΥ

Βαθμίδα εκπαίδευσης: Δευτεροβάθμια

Μάθημα: Μαθηματικά

Γλώσσα: Απλή καθαρεύουσα

Παρουσίαση περιεχομένου: Μαθητικό βοήθημα Άλγεβρας που περιλαμβάνει τις λύσεις των ασκήσεων του βιβλίου του Ο.Ε.Σ.Β.

TopΠΕΔΙΟ ΠΛΗΡΟΦΟΡΙΩΝ ΕΚΔΟΣΗΣ

Εκδότης: Χαραλ. Καγιάφας και Ιωαν. Χ. Καγιάφας

Τόπος έκδοσης: Αθήνα, Πάτρα

TopΠΕΔΙΟ ΠΑΡΑΤΗΡΗΣΕΩΝ

Εντοπισμός πρωτοτύπου: Ινστιτούτο Εκπαιδευτικής Πολιτικής

Κωδικός βιβλιοθήκης: 45005

TopΕΥΡΕΤΗΡΙΟ ΘΕΜΑΤΙΚΩΝ ΟΡΩΝ

Σχετιζόμενα πρόσωπα:

Σχετιζόμενοι όροι:


126 εγγραφές [1 - 20]
Σελίδα #001
Σελίδα #002
Σελίδα #003
Σελίδα #004
Σελίδα #005
Σελίδα #006
Σελίδα #007
Σελίδα #008
Σελίδα #009
Σελίδα #010
Σελίδα #011
Σελίδα #012
Σελίδα #013
Σελίδα #014
Σελίδα #015
Σελίδα #016
Σελίδα #017
Σελίδα #018
Σελίδα #019
Σελίδα #020
Σελίδα #021
Σελίδα #022
Σελίδα #023
Σελίδα #024
[Σχολικό Εγχειρίδιο]
Ν. Βαρουχάκης, Λ. Αδαμόπουλος, Ν. Αλεξανδρής, Δ. Α. Παπακωνσταντίνου, Α. Παπαμικρούλης
Τάξη:  Α' Λυκείου
Μάθημα:  Μαθηματικά
Σχολικό εγχειρίδιο Άλγεβρας Α΄ Λυκείου που είναι χωρισμένο σε αξιώματα, πορίσματα, παραδείγματα και ασκήσεις και εστιάζει στις συναρτήσεις και τις εξισώσεις. Περιέχει παράρτημα με τις λύσεις των ασκήσεων.
[Σχολικό Εγχειρίδιο]
Ν. Βαρουχάκης, Λ. Αδαμόπουλος, Ν. Αλεξανδρής, Δ. Α. Παπακωνσταντίνου, Α. Παπαμικρούλης
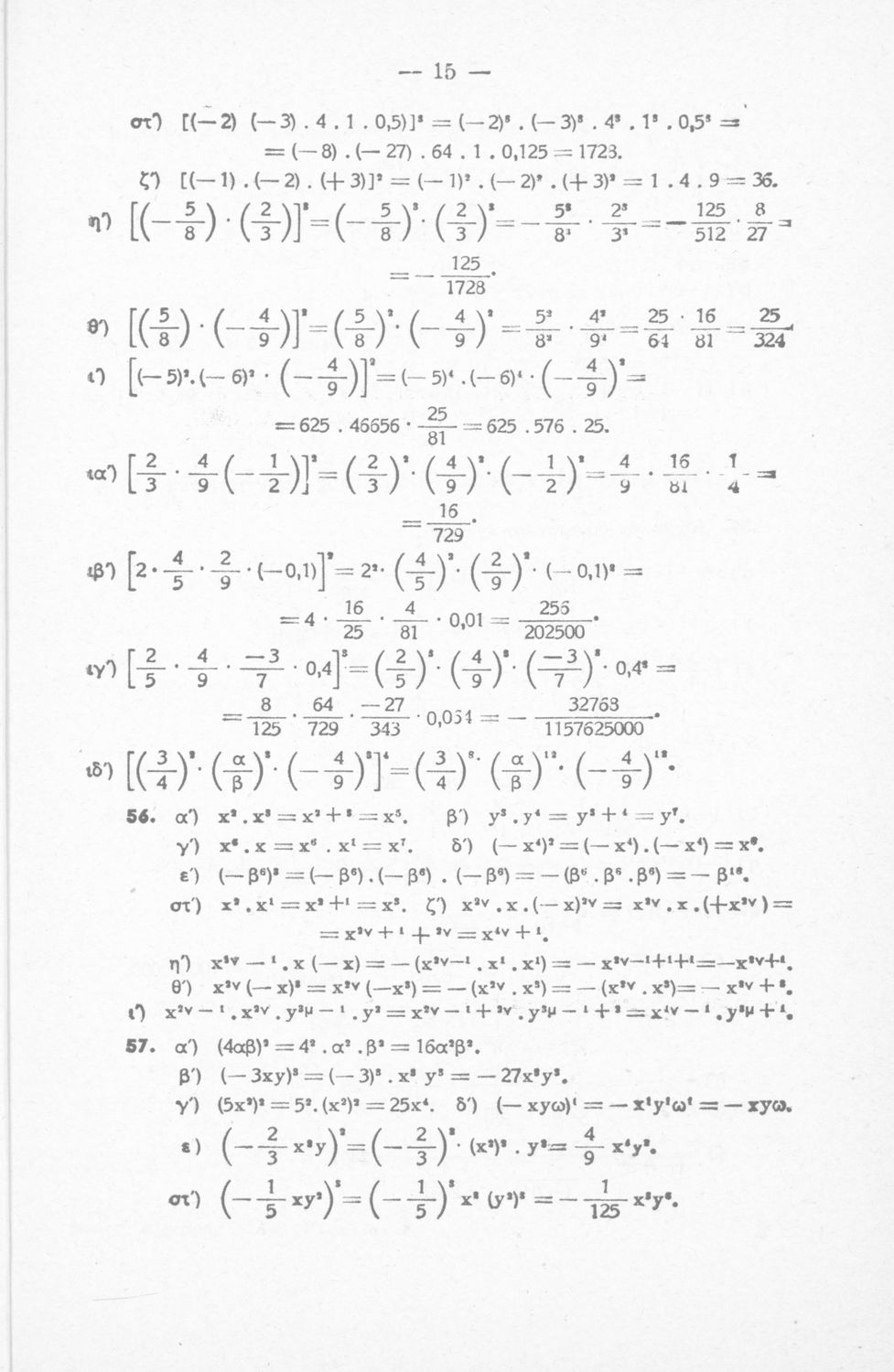
Τάξη:  Α' Λυκείου
Μάθημα:  Μαθηματικά
Σχολικό εγχειρίδιο Άλγεβρας Α΄ Λυκείου που είναι χωρισμένο σε αξιώματα, πορίσματα, παραδείγματα και ασκήσεις και εστιάζει στις συναρτήσεις, τις εξισώσεις και τις αριθμητικές πράξεις. Περιλαμβάνει στοιχεία ...
[Μαθητικό Βοήθημα]
Αθανάσιος Ι. Κεφαλιάκος
Τάξη:  Ε' Γυμνασίου / ΣΤ' Γυμνασίου
Μάθημα:  Μαθηματικά
Μαθητικό βοήθημα Γεωμετρίας για τις Ε΄ και ΣΤ΄ Γυμνασίου με τις αποδείξεις των αναπόδεικτων πορισμάτων και τις λύσεις των ασκήσεων που περιέχονται στο Α΄ και Β΄ βιβλίο Γεωμετρίας του Ν. Νικολάου.
[Σχολικό Εγχειρίδιο]
Βασίλειος Στάικος
Τάξη:  ΣΤ' Γυμνασίου
Μάθημα:  Μαθηματικά
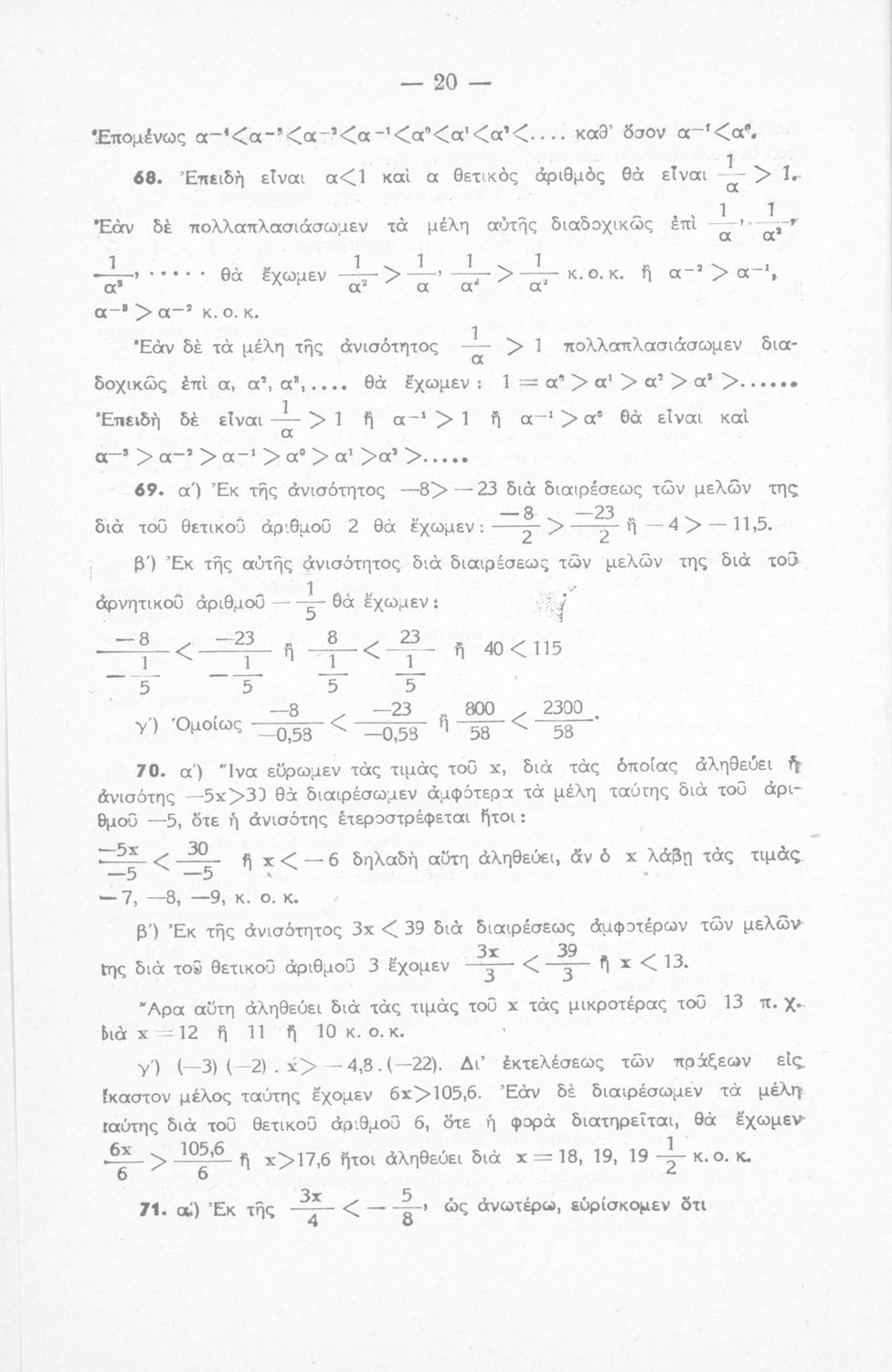
Σχετιζόμενοι όροι:  σύνολα, συναρτήσεις, ολοκληρώματα
Σχολικό εγχειρίδιο Μαθηματικών Γυμνασίου που είναι χωρισμένο σε θεωρήματα, παραδείγματα και ασκήσεις και περιλαμβάνει στοιχεία Ανώτερης Άλγεβρας και Μαθηματικής Ανάλυσης.
[Σχολικό Εγχειρίδιο]
Ν. Βαρουχάκης, Λ. Αδαμόπουλος, Ν. Αλεξανδρής, Δ. Α. Παπακωνσταντίνου, Α. Παπαμικρούλης
Τάξη:  Α' Λυκείου
Μάθημα:  Μαθηματικά
Σχολικό εγχειρίδιο Άλγεβρας Α΄ Λυκείου που είναι χωρισμένο σε αξιώματα, πορίσματα, παραδείγματα και ασκήσεις και εστιάζει στις συναρτήσεις και τις εξισώσεις. Περιέχει παράρτημα με τις λύσεις των ασκήσεων.
[Μαθητικό Βοήθημα]
Δ. Παπαμιχαήλ, Α. Σκιαδάς
Τάξη:  Α' Λυκείου
Μάθημα:  Μαθηματικά
Μαθητικό βοήθημα Γεωμετρίας Α΄ Λυκείου που περιλαμβάνει θέματα θεωρίας, ερωτήσεις και λύσεις ασκήσεων.
[Σχολικό Εγχειρίδιο]
Βασίλειος Στάικος
Τάξη:  Γ' Λυκείου
Μάθημα:  Μαθηματικά
Σχετιζόμενοι όροι:  σύνολα, συναρτήσεις, ολοκληρώματα
Σχολικό εγχειρίδιο Μαθηματικών Γ΄ Λυκείου που είναι χωρισμένο σε θεωρήματα, παραδείγματα και ασκήσεις και περιλαμβάνει στοιχεία Ανώτερης Άλγεβρας και Μαθηματικής Ανάλυσης.
[Σχολικό Εγχειρίδιο]
Βασίλειος Στάικος
Τάξη:  Γ' Λυκείου
Μάθημα:  Μαθηματικά
Σχετιζόμενοι όροι:  σύνολα, συναρτήσεις, ολοκληρώματα
Σχολικό εγχειρίδιο Μαθηματικών Γ΄ Λυκείου που είναι χωρισμένο σε θεωρήματα, παραδείγματα και ασκήσεις και περιλαμβάνει στοιχεία Ανώτερης Άλγεβρας και Μαθηματικής Ανάλυσης.
[Σχολικό Εγχειρίδιο]
Β. Στάικος
Τάξη:  ΣΤ' Γυμνασίου
Μάθημα:  Μαθηματικά
Σχετιζόμενοι όροι:  σύνολα, συναρτήσεις, ολοκληρώματα
Σχολικό εγχειρίδιο Μαθηματικών ΣΤ΄ Γυμνασίου που είναι χωρισμένο σε θεωρήματα, παραδείγματα και ασκήσεις και περιλαμβάνει στοιχεία Ανώτερης Άλγεβρας και Μαθηματικής Ανάλυσης.
[Μαθητικό Βοήθημα]
Χρήστος Γ. Παπανικολάου
Τάξη:  Α' Λυκείου
Μάθημα:  Μαθηματικά
Σχετιζόμενοι όροι:  σχήματα, τρίγωνα, κριτήρια, θεώρημα
Μαθητικό βοήθημα Γεωμετρίας Α΄ Λυκείου που περιέχει τις λύσεις των ασκήσεων 149-305 του βιβλίου Ευκλείδειος Γεωμετρία για τις τάξεις Α΄, Β΄ και Γ΄ Λυκείου του Ο.Ε.Δ.Β που είχε συγγράψει ο Χρήστος Γ. ...