QR Code
01-45153
Νικόλαος Δ. Νικολάου

Λογαριθμικοί Πίνακες Αριθμών και Τόξων, πλείστον τύπου και οδηγιών
[1950, 3η Έκδοση]

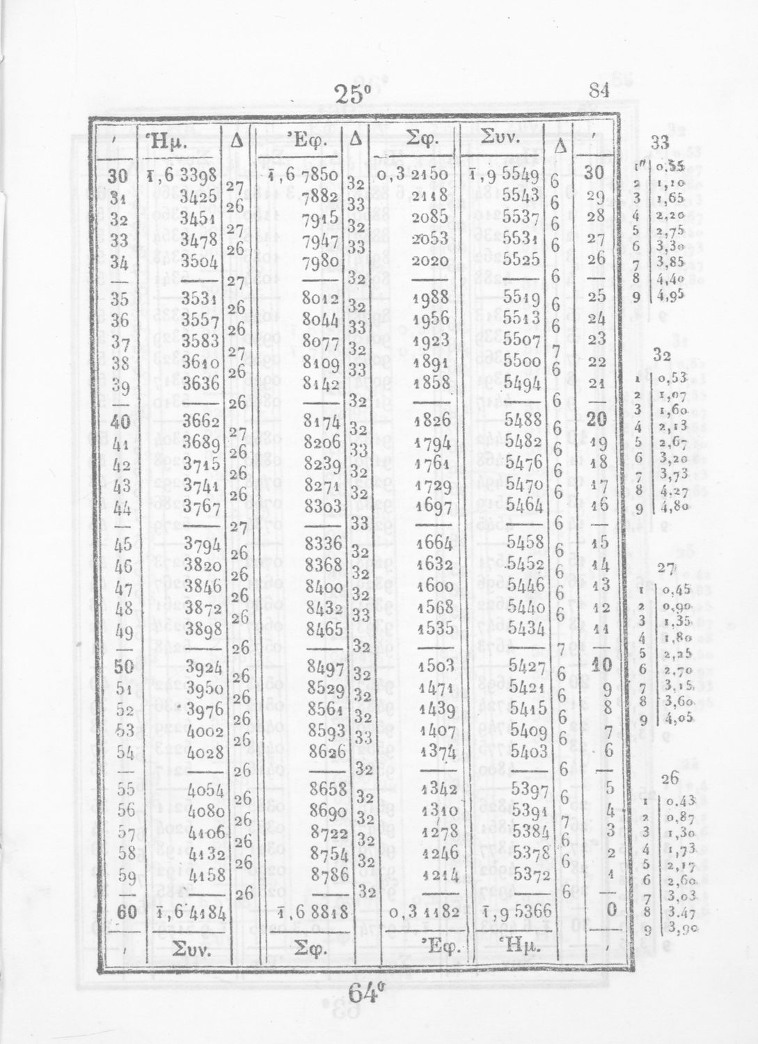
Μαθητικό βοήθημα το οποίο περιλαμβάνει λογαριθμικούς πίνακες των αριθμών από το 1 έως το 1000 και τους λογάριθμους των τεσσάρων κυριοτέρων τριγωνομετρικών αριθμών και τόξων.


TopΠΕΔΙΟ ΑΝΑΓΝΩΡΙΣΗΣ

Κωδικός αναγνώρισης: 01-45153

Τίτλος: Λογαριθμικοί Πίνακες Αριθμών και Τόξων, πλείστον τύπου και οδηγιών

Συγγραφέας: Νικόλαος Δ. Νικολάου

Μέγεθος και υπόστρωμα: Μαθητικό βοήθημα, μαλακό εξώφυλλο, 216 σελίδες.

TopΠΕΔΙΟ ΠΕΡΙΕΧΟΜΕΝΟΥ

Βαθμίδα εκπαίδευσης: Δευτεροβάθμια

Τάξη: Γυμνάσιο / Λύκειο

Μάθημα: Μαθηματικά

Γλώσσα: Καθαρεύουσα

Παρουσίαση περιεχομένου: Μαθητικό βοήθημα το οποίο περιλαμβάνει λογαριθμικούς πίνακες των αριθμών από το 1 έως το 1000 και τους λογάριθμους των τεσσάρων κυριοτέρων τριγωνομετρικών αριθμών και τόξων.

TopΠΕΔΙΟ ΠΛΗΡΟΦΟΡΙΩΝ ΕΚΔΟΣΗΣ

Εκδότης: Εκδοτικός Οίκος Δημ. Ν. Τζάκα-Στεφ. Δελλαγραμμάτικα

Έτος έκδοσης: 1950

Τόπος έκδοσης: Αθήνα

Έκδοση:

TopΠΕΔΙΟ ΠΑΡΑΤΗΡΗΣΕΩΝ

Εντοπισμός πρωτοτύπου: Ινστιτούτο Εκπαιδευτικής Πολιτικής

Κωδικός βιβλιοθήκης: 45153

TopΕΥΡΕΤΗΡΙΟ ΘΕΜΑΤΙΚΩΝ ΟΡΩΝ

Σχετιζόμενα πρόσωπα:

Σχετιζόμενοι όροι:


216 εγγραφές [81 - 100]
Σελίδα #081
Σελίδα #082
Σελίδα #083
Σελίδα #084
Σελίδα #085
Σελίδα #086
Σελίδα #087
Σελίδα #088
Σελίδα #089
Σελίδα #090
Σελίδα #091
Σελίδα #092
Σελίδα #093
Σελίδα #094
Σελίδα #095
Σελίδα #096
Σελίδα #097
Σελίδα #098
Σελίδα #099
Σελίδα #100
Σελίδα #101
Σελίδα #102
Σελίδα #103
Σελίδα #104
[Μαθητικό Βοήθημα]
Πέτρος Γ. Τόγκας
Μάθημα:  Μαθηματικά
Σχετιζόμενοι όροι:  λογάριθμοι, ρίζες, εμβαδόν, όγκος
Μαθητικό βοήθημα που περιέχει πίνακες με λογαριθμικούς και τριγωνομετρικούς αριθμούς των τόξων, πίνακες δυνάμεων και πίνακες μετατροπών.
[Σχολικό Εγχειρίδιο]
Πλάτων, Χρίστος Α. Παπαναστασίου (σχόλια)
Τάξη:  Ε' Γυμνασίου
Σχολικό εγχειρίδιο της Ε΄ Γυμνασίου για το μάθημα των Αρχαίων Ελληνικών. Περιέχει το πρωτότυπο κείμενο του Πλάτωνα από την απολογία του Κρίτωνα με ερμηνευτικά, πραγματολογικά σχόλια και λεξιλογικές ...
[Σχολικό Εγχειρίδιο]
Νείλος Σακελλαρίου
Τάξη:  Γυμνάσιο
Μάθημα:  Μαθηματικά
Σχολικό εγχειρίδιο Τριγωνομετρίας Γυμνασίου που εστιάζει στους τριγωνομετρικούς αριθμούς και τους λογαριθμικούς πίνακες. Ο συγγραφέας ήταν καθηγητής στο Πανεπιστήμιο Αθηνών.
[Σχολικό Εγχειρίδιο]
Όμηρος, Νικηφόρος Ξ. Ελεόπουλος, Καλλιρόη Ν. Ελεοπούλου (μετάφραση)
Τάξη:  ΣΤ' Γυμνασίου
Σχολικό εγχειρίδιο Αρχαίων Ελληνικών ΣΤ΄ Γυμνασίου που περιέχει μετάφραση αποσπασμάτων από την Ιλιάδα, ερμηνευτικά, πραγματολογικά σχόλια και λεξιλογικές παρατηρήσεις. Ο συγγραφέας ήταν Καθηγητής στο Κολέγιο ...
[Σχολικό Εγχειρίδιο]
Αλκίνοος Ε. Μάζης
Γεωγραφία Β΄ Λυκείου   [1978, 4η Έκδοση]
Τάξη:  Β' Λυκείου
Μάθημα:  Γεωγραφία
Σχολικό εγχειρίδιο Γεωγραφίας Β΄ Λυκείου που περιέχει στοιχεία ανθρωπογεωγραφίας, πληθυσμιακής κατανομής και οικονομικής κατάστασης με έμφαση στην Ελλάδα.
[Σχολικό Εγχειρίδιο]
Ξενοφών, Κυριάκος Κοσμάς, Νικόλαος Φραγκίσκος (σχόλια)
Τάξη:  Β' Γυμνασίου
Σχετιζόμενοι όροι:  Ξενοφώντας, Κύρος, Αρταξέρξης, Έλληνες
Σχολικό εγχειρίδιο Αρχαίων Ελληνικών Β΄ Γυμνασίου που περιλαμβάνει αποσπάσματα από το έργο του Ξενοφώντα Κύρου Ανάβασις, ερμηνευτικές σημειώσεις και πραγματολογικά σχόλια.
[Σχολικό Εγχειρίδιο]
Ε. Π. Παπανούτσος
Τάξη:  Ε' Γυμνασίου
Μάθημα:  Ψυχολογία
Σχολικό εγχειρίδιο Ψυχολογίας για την Ε΄ Γυμνασίου χωρισμένο σε δύο τμήματα που μελετούν τα γνωστικά φαινόμενα και τα συναισθήματα. Περιέχει παράρτημα για τη φυσιολογική βάση των ψυχικών φαινομένων.
[Σχολικό Εγχειρίδιο]
Διον. Λεονταρίτης
Τάξη:  ΣΤ' Γυμνασίου
Μάθημα:  Χημεία
Σχολικό εγχειρίδιο Χημείας ΣΤ΄ Γυμνασίου που περιέχει εισαγωγή στις οργανικές ενώσεις, τις ιδιότητες των υδρογονανθράκων, της αλκοόλης, των οξέων και στις χρήσεις των χημικών στοιχείων στην καθημερινή ζωή.
[Σχολικό Εγχειρίδιο]
Θρασύβουλος Βλησίδης
Τάξη:  Δ' Γυμνασίου παλαιού τύπου / ΣΤ΄ Γυμνασίου νέου τύπου
Μάθημα:  Βιολογία
Σχολικό εγχειρίδιο Βιολογίας Δ΄ Γυμνασίου που εστιάζει στις συνθήκες γέννησης, μεταβολής και θανάτου των έμβιων οργανισμών. Ο συγγραφέας ήταν καθηγητής της γενικής Βιολογίας στο Πανεπιστήμιο Αθηνών.
[Σχολικό Εγχειρίδιο]
Νείλος Σακελλαρίου, Ι. Αγγελής (επιμέλεια)
Τάξη:  Γυμνάσιο
Μάθημα:  Μαθηματικά
Σχολικό εγχειρίδιο Μαθηματικών Γυμνασίου που παρουσιάζει τις βασικές έννοιες της Άλγεβρας, εστιάζει τις ιδιότητες των αριθμών και περιέχει ασκήσεις εξισώσεων, λογαρίθμων και παραγώγων.