QR Code
01-46092
Δ. Κωτσάκης, Κ. Χασάπης

Κοσμογραφία ΣΤ΄ Γυμνασίου
[1971, 3η Έκδοση]

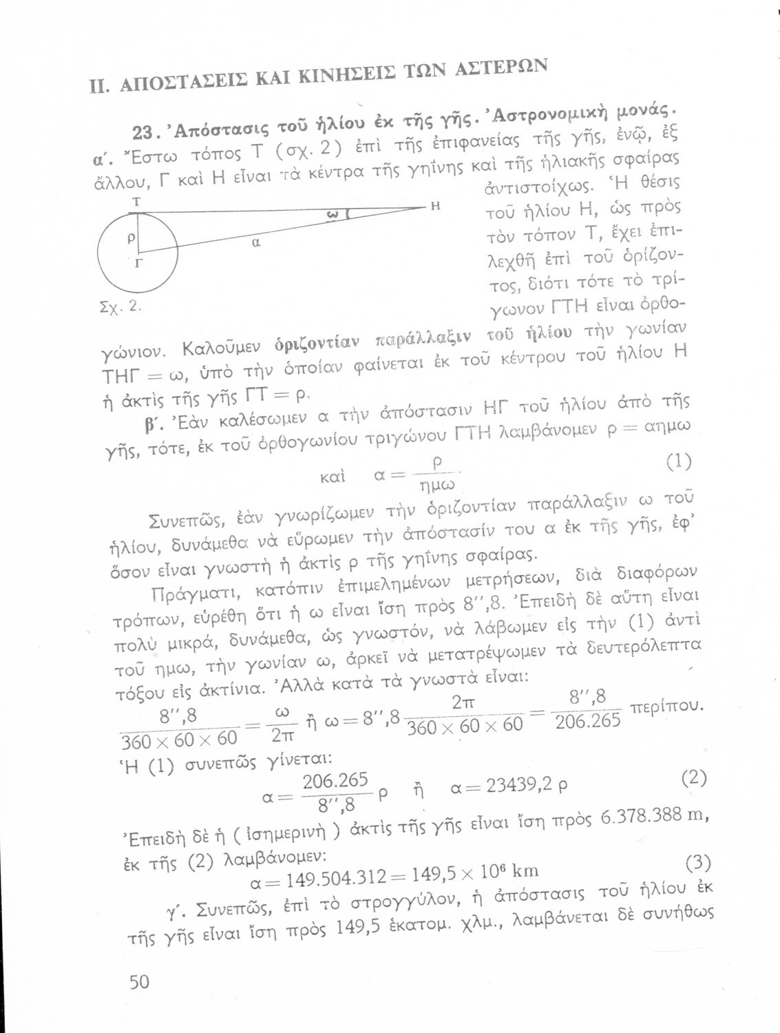
Σχολικό εγχειρίδιο Κοσμογραφίας ΣΤ΄ Γυμνασίου που πραγματεύεται τη μορφή, σύσταση, μέγεθος και κίνηση των γαλαξιών και των πλανητών. Περιέχει στοιχεία αστροναυτικής και πίνακα με 88 αστερισμούς, τα διεθνή ονόματα και τα σύμβολά τους. Φέρει το σύμβολο της δικτατορίας.


TopΠΕΔΙΟ ΑΝΑΓΝΩΡΙΣΗΣ

Κωδικός αναγνώρισης: 01-46092

Τίτλος: Κοσμογραφία ΣΤ΄ Γυμνασίου

Συγγραφέας: Δ. Κωτσάκης, Κ. Χασάπης

Μέγεθος και υπόστρωμα: Σχολικό εγχειρίδιο, 20εκ., μαλακό εξώφυλλο, 264 σελίδες. Σκίτσα και φωτογραφίες (ασπρόμαυρα).

TopΠΕΔΙΟ ΠΕΡΙΕΧΟΜΕΝΟΥ

Βαθμίδα εκπαίδευσης: Δευτεροβάθμια

Τάξη: ΣΤ' Γυμνασίου

Μάθημα: Κοσμογραφία

Γλώσσα: Απλή καθαρεύουσα

Παρουσίαση περιεχομένου: Σχολικό εγχειρίδιο Κοσμογραφίας ΣΤ΄ Γυμνασίου που πραγματεύεται τη μορφή, σύσταση, μέγεθος και κίνηση των γαλαξιών και των πλανητών. Περιέχει στοιχεία αστροναυτικής και πίνακα με 88 αστερισμούς, τα διεθνή ονόματα και τα σύμβολά τους. Φέρει το σύμβολο της δικτατορίας.

TopΠΕΔΙΟ ΠΛΗΡΟΦΟΡΙΩΝ ΕΚΔΟΣΗΣ

Εκδότης: Οργανισμός Εκδόσεως Διδακτικών Βιβλίων

Έτος έκδοσης: 1971

Τόπος έκδοσης: Αθήνα

Έκδοση:

Υπουργική απόφαση / Σύμβαση: 2087/29-3-1971

Έτος έγκρισης: 1971

TopΠΕΔΙΟ ΠΑΡΑΤΗΡΗΣΕΩΝ

Εντοπισμός πρωτοτύπου: Ινστιτούτο Εκπαιδευτικής Πολιτικής

Κωδικός βιβλιοθήκης: 46092

TopΕΥΡΕΤΗΡΙΟ ΘΕΜΑΤΙΚΩΝ ΟΡΩΝ

Σχετιζόμενα πρόσωπα:

Σχετιζόμενοι όροι:


268 εγγραφές [41 - 60]
Σελίδα #039
Σελίδα #040
Σελίδα #041
Σελίδα #042
Σελίδα #043
Σελίδα #044
Σελίδα #045
Σελίδα #046
Σελίδα #047
Σελίδα #048
Σελίδα #049
Σελίδα #050
Σελίδα #051
Σελίδα #052
Σελίδα #053
Σελίδα #054
Σελίδα #055
Σελίδα #056
Σελίδα #057
Σελίδα #058
Σελίδα #059
Σελίδα #060
Σελίδα #061
Σελίδα #062
[Σχολικό Εγχειρίδιο]
Δ. Κωτσάκης, Κ. Χασάπης
Τάξη:  ΣΤ' Γυμνασίου
Μάθημα:  Κοσμογραφία
Σχετιζόμενοι όροι:  τροχιά, έκλειψη, περιστροφή, δορυφόροι
Σχολικό εγχειρίδιο Κοσμογραφίας ΣΤ΄ Γυμνασίου που πραγματεύεται τη μορφή, σύσταση, μέγεθος και κίνηση των γαλαξιών και των πλανητών. Περιέχει στοιχεία αστροναυτικής και πίνακα με 88 αστερισμούς, τα διεθνή ...
[Σχολικό Εγχειρίδιο]
Νικόλαος Δ. Νικολάου
Τάξη:  ΣΤ' Γυμνασίου
Μάθημα:  Κοσμογραφία
Σχολικό εγχειρίδιο Κοσμογραφίας ΣΤ΄ Γυμνασίου που εστιάζει στην κίνηση των πλανητών και στον τρόπο υπολογισμού της τροχιάς τους.
[Σχολικό Εγχειρίδιο]
Νικόλαος Δ. Νικολάου
Τάξη:  ΣΤ' Γυμνασίου
Μάθημα:  Κοσμογραφία
Σχολικό εγχειρίδιο Κοσμογραφίας ΣΤ΄ Γυμνασίου που εστιάζει στην κίνηση των πλανητών και στον τρόπο υπολογισμού της τροχιάς τους.
[Σχολικό Εγχειρίδιο]
Δ. Κωτσάκης, Κ. Χασάπης
Τάξη:  ΣΤ' Γυμνασίου
Μάθημα:  Κοσμογραφία
Σχετιζόμενοι όροι:  τροχιά, έκλειψη, περιστροφή, δορυφόροι
Σχολικό εγχειρίδιο Κοσμογραφίας ΣΤ΄ Γυμνασίου που πραγματεύεται τη μορφή, σύσταση, μέγεθος και κίνηση των γαλαξιών και των πλανητών. Περιέχει στοιχεία αστροναυτικής και πίνακα με 88 αστερισμούς, τα διεθνή ...
[Σχολικό Εγχειρίδιο]
Δ. Κωτσάκης, Κ. Χασάπης
Τάξη:  ΣΤ' Γυμνασίου
Μάθημα:  Κοσμογραφία
Σχετιζόμενοι όροι:  τροχιά, έκλειψη, περιστροφή, δορυφόροι
Σχολικό εγχειρίδιο Κοσμογραφίας ΣΤ΄ Γυμνασίου που πραγματεύεται τη μορφή, σύσταση, μέγεθος και κίνηση των γαλαξιών και των πλανητών. Περιέχει στοιχεία αστροναυτικής και πίνακα με 88 αστερισμούς, τα διεθνή ...
[Σχολικό Εγχειρίδιο]
Δ. Κωτσάκης, Κ. Χασάπης
Τάξη:  ΣΤ' Γυμνασίου
Μάθημα:  Κοσμογραφία
Σχετιζόμενοι όροι:  τροχιά, έκλειψη, περιστροφή, δορυφόροι
Σχολικό εγχειρίδιο Κοσμογραφίας ΣΤ΄ Γυμνασίου που πραγματεύεται τη μορφή, σύσταση, μέγεθος και κίνηση των γαλαξιών και των πλανητών. Περιέχει στοιχεία αστροναυτικής και πίνακα με 88 αστερισμούς, τα διεθνή ...
[Σχολικό Εγχειρίδιο]
Νικόλαος Δ. Νικολάου
Τάξη:  ΣΤ' Γυμνασίου
Μάθημα:  Κοσμογραφία
Σχολικό εγχειρίδιο Κοσμογραφίας ΣΤ΄ Γυμνασίου που εστιάζει στην κίνηση των πλανητών και στον τρόπο υπολογισμού της τροχιάς τους.
[Σχολικό Εγχειρίδιο]
Δ. Κωτσάκης, Κ. Χασάπης
Τάξη:  ΣΤ' Γυμνασίου
Μάθημα:  Κοσμογραφία
Σχετιζόμενοι όροι:  τροχιά, έκλειψη, περιστροφή, δορυφόροι
Σχολικό εγχειρίδιο Κοσμογραφίας ΣΤ΄ Γυμνασίου που πραγματεύεται τη μορφή, σύσταση, μέγεθος και κίνηση των γαλαξιών και των πλανητών. Περιέχει στοιχεία αστροναυτικής και πίνακα με 88 αστερισμούς, τα διεθνή ...
[Σχολικό Εγχειρίδιο]
Νικόλαος Δ. Νικολάου
Τάξη:  ΣΤ' Γυμνασίου
Μάθημα:  Φυσική
Σχολικό εγχειρίδιο Κοσμογραφίας ΣΤ΄ Γυμνασίου που εστιάζει στην κίνηση των πλανητών και στον τρόπο υπολογισμού της τροχιάς τους.
[Σχολικό Εγχειρίδιο]
Νικόλαος Νικολάου
Τάξη:  ΣΤ' Γυμνασίου
Μάθημα:  Κοσμογραφία
Σχολικό εγχειρίδιο Κοσμογραφίας ΣΤ΄ Γυμνασίου που εστιάζει στην κίνηση των πλανητών και στον τρόπο υπολογισμού της τροχιάς τους.