QR Code
01-46095
Κ. Παπαϊωάννου, Δ. Κάππος, Ν. Κριτικός, Ν. Μιχαλόπουλος, Ν. Μπάρκας, Ν. Σωτηράκης, Νίκη Δενρινού

Πειραματική διδασκαλία των μαθηματικών εις την πρώτην βαθμίδα των Γυμνασίων
[1964]

Παιδαγωγικό βοήθημα για τους καθηγητές Μαθηματικών της Β΄ Γυμνασίου που συντάχθηκε από την Επιτροπή Πειραματικής Μελέτης και Διδασκαλίας των Μαθηματικών στη Μέση Εκπαίδευση σύμφωνα με τις προγραμματικές εισηγήσεις του ΟΟΣΑ.


TopΠΕΔΙΟ ΑΝΑΓΝΩΡΙΣΗΣ

Κωδικός αναγνώρισης: 01-46095

Τίτλος: Πειραματική διδασκαλία των μαθηματικών εις την πρώτην βαθμίδα των Γυμνασίων

Συγγραφέας: Κ. Παπαϊωάννου, Δ. Κάππος, Ν. Κριτικός, Ν. Μιχαλόπουλος, Ν. Μπάρκας, Ν. Σωτηράκης, Νίκη Δενρινού

Μέγεθος και υπόστρωμα: Παιδαγωγικό βοήθημα, 24εκ., μαλακό εξώφυλλο, 244 σελίδες. Σκίτσα (ασπρόμαυρα).

TopΠΕΔΙΟ ΠΕΡΙΕΧΟΜΕΝΟΥ

Βαθμίδα εκπαίδευσης: Δευτεροβάθμια

Τάξη: Β' Γυμνασίου

Μάθημα: Μαθηματικά

Γλώσσα: Απλή καθαρεύουσα

Παρουσίαση περιεχομένου: Παιδαγωγικό βοήθημα για τους καθηγητές Μαθηματικών της Β΄ Γυμνασίου που συντάχθηκε από την Επιτροπή Πειραματικής Μελέτης και Διδασκαλίας των Μαθηματικών στη Μέση Εκπαίδευση σύμφωνα με τις προγραμματικές εισηγήσεις του ΟΟΣΑ.

TopΠΕΔΙΟ ΠΛΗΡΟΦΟΡΙΩΝ ΕΚΔΟΣΗΣ

Εκδότης: Υπουργείο Εθνικής Παιδείας & Θρησκευμάτων / Υπηρεσία Μελετών και Συντονισμού

Έτος έκδοσης: 1964

Τόπος έκδοσης: Αθήνα

TopΠΕΔΙΟ ΠΑΡΑΤΗΡΗΣΕΩΝ

Εντοπισμός πρωτοτύπου: Ινστιτούτο Εκπαιδευτικής Πολιτικής

Κωδικός βιβλιοθήκης: 46095

TopΕΥΡΕΤΗΡΙΟ ΘΕΜΑΤΙΚΩΝ ΟΡΩΝ

Σχετιζόμενα πρόσωπα:

Σχετιζόμενοι όροι:


256 εγγραφές [181 - 200]
Σελίδα #171
Σελίδα #172
Σελίδα #173
Σελίδα #174
Σελίδα #175
Σελίδα #176
Σελίδα #177
Σελίδα #178
Σελίδα #179
Σελίδα #180
Σελίδα #181
Σελίδα #182
Σελίδα #183
Σελίδα #184
Σελίδα #185
Σελίδα #186
Σελίδα #187
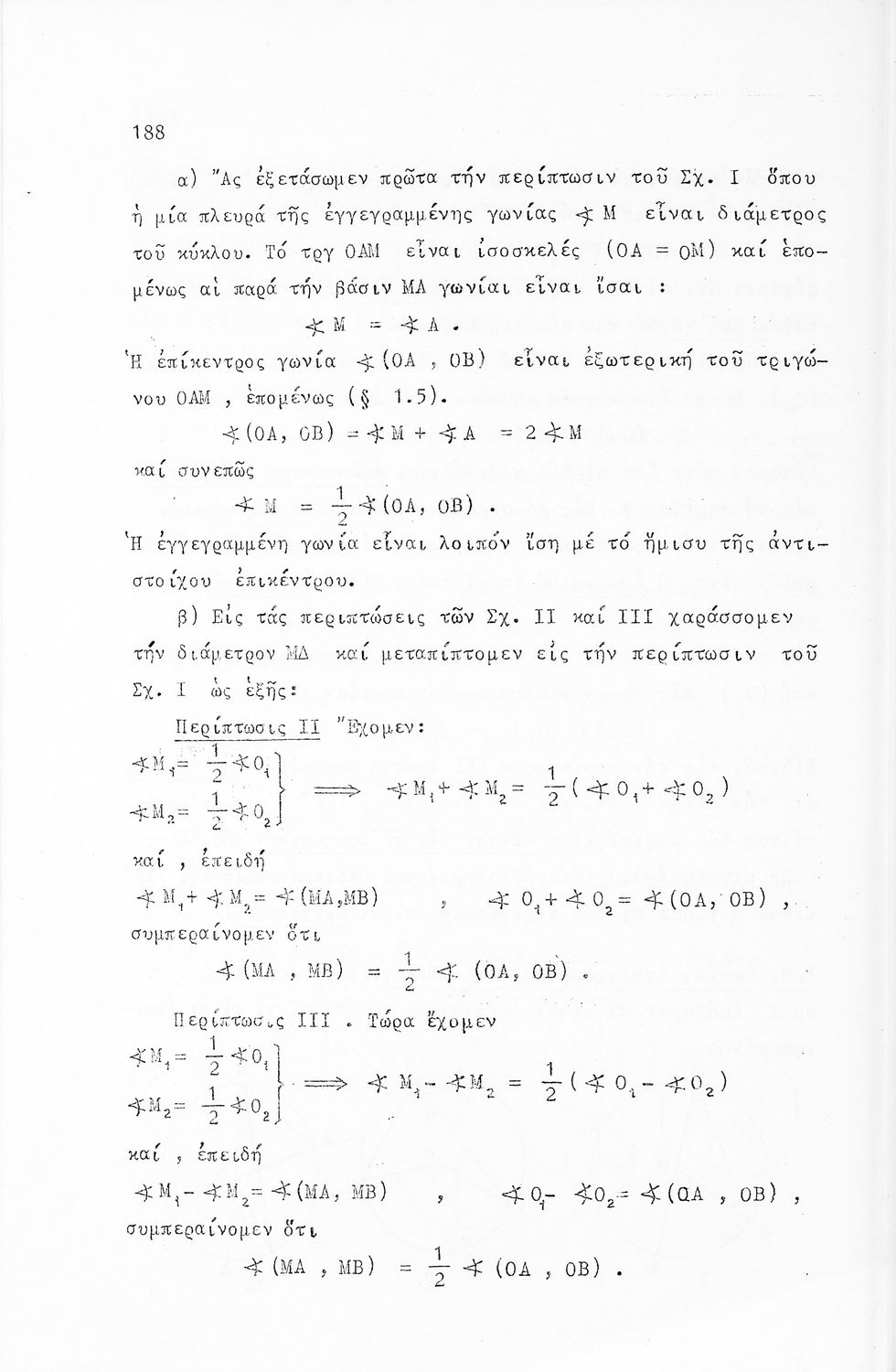
Σελίδα #188
Σελίδα #189
Σελίδα #190
Σελίδα #191
Σελίδα #192
Σελίδα #193
Σελίδα #194
[Σχολικό Εγχειρίδιο]
Διον. Π. Λεονταρίτης
Τάξη:  Α' Γυμνασίου
Μάθημα:  Φυσική
Μαθητικό βοήθημα της Ε΄ και ΣΤ΄ Δημοτικού για το μάθημα της Φυσικής στο Δημοτικό . Παρέχει βασικές γνώσεις της Φυσικής επιστήμης και της Χημείας. Αναλύει τις ιδιότητες των σωμάτων, καθώς και της θερμότητας, ...
[Μαθητικό Βοήθημα]
Αγγελική Θ. Πάτση
Τάξη:  Ε' Δημοτικού / ΣΤ' Δημοτικού
Μάθημα:  Φυσική
Μαθητικό βοήθημα της Ε΄ και ΣΤ΄ Δημοτικού για το μάθημα της Φυσικής στο Δημοτικό . Παρέχει βασικές γνώσεις της Φυσικής επιστήμης και της Χημείας. Αναλύει τις ιδιότητες των σωμάτων, καθώς και της θερμότητας, ...
[Σχολικό Εγχειρίδιο]
Σπ. Ν. Παπανικολάου, Διον. Π. Λεονταρίτης
Τάξη:  Ε' Δημοτικού / ΣΤ' Δημοτικού / Α΄ Γυμνασίου / Αστικό Σχολείο
Μάθημα:  Φυσική
Σχολικό εγχειρίδιο της Ε΄ και ΣΤ΄ Τάξης των Δημοτικών Σχολείων και την Α΄ Τάξη των Οκτατάξιων Γυμνασίων, Προγυμνασίων και Αστικών Σχολείων για το μάθημα της Φυσικής. Παρέχει βασικές γνώσεις της φυσικής ...
[Σχολικό Εγχειρίδιο]
Διον. Π. Λεονταρίτης
Τάξη:  Α' Γυμνασίου
Μάθημα:  Φυσική
Σχολικό εγχειρίδιο της Α΄ Γυμνασίου για το μάθημα της Φυσικής. Παρέχει βασικές γνώσεις της Φυσικής επιστήμης και της Χημείας. Αναλύει τις ιδιότητες των σωμάτων, καθώς και της θερμότητας, του ηλεκτρισμού και ...
[Μαθητικό Βοήθημα]
Χρ. Αλ. Αλεξόπουλος
Τάξη:  Ε' Δημοτικού
Μάθημα:  Φυσική
Μαθητικό βοήθημα της Ε΄ Δημοτικού για το μάθημα της Φυσικής στο Δημοτικό. Παρέχει βασικές γνώσεις της φυσικής επιστήμης και της χημείας. Αναλύει τις ιδιότητες των σωμάτων, καθώς και της θερμότητας, του ...
[Σχολικό Εγχειρίδιο]
Νικ. Κ. Γερμανός
Τάξη:  Γυμνάσιο / Διδασκαλείο
Μάθημα:  Φυσική
Σχολικό εγχειρίδιο για τις Τάξεις του Γυμνασίου και Διδασκαλείων για το μάθημα της Φυσικής στην Δευτεροβάθμια Εκπαίδευση. Παρέχει βασικές γνώσεις της φυσικής επιστήμης και αναλύει τις ιδιότητες των σωμάτων, ...
[Μαθητικό Βοήθημα]
Δημ. Αρκουδέας, Νικ. Κατσίκας
Τάξη:  Ε' Δημοτικού / ΣΤ' Δημοτικού
Μάθημα:  Φυσική
Το σύγγραμμα ήταν μαθητικό βοήθημα για το μάθημα της Φυσικής στο Δημοτικό . Παρέχει βασικές γνώσεις της φυσικής επιστήμης και της χημείας. Αναλύει τις ιδιότητες των σωμάτων, καθώς και της οπτικής, ακουστικής, ...
[Μαθητικό Βοήθημα]
Μ. Χαρίδης
Τάξη:  Ε' Δημοτικού
Μάθημα:  Φυσική
Μαθητικό βοήθημα της Ε΄ Δημοτικού για το μάθημα της Φυσικής στο Δημοτικό . Παρέχει βασικές γνώσεις της φυσικής επιστήμης και της χημείας. Αναλύει τις ιδιότητες των σωμάτων, καθώς και της θερμότητας, του ...
[Παιδαγωγικό Βοήθημα]
Μαρία Λιουδάκη, Σ. Αγιερηνιώτης
Τάξη:  Α' Δημοτικού
Μάθημα:  Μαθηματικά
Το σύγγραμμα ήταν παιδαγωγικό βοήθημα για τη διδασκαλία των Μαθηματικών στο Δημοτικό. Αποτελεί οδηγό για τον εκπαιδευτικό, προτείνοντας μεθόδους διδασκαλίας για την αριθμητική. Περιέχει θεωρία, ασκήσεις, ...
[Άλλο]
Ν. Δ. Σωτηράκης
Μάθημα:  Μαθηματικά
Έκδοση της Υπηρεσίας Μελετών και Συντονισμού του Υπουργείου Παιδείας που περιλαμβάνει τρεις διαλέξεις που παρουσιάστηκαν σε σεμινάριο του Υπουργείου και εστιάζουν στα ψυχολογικά χαρακτηριστικά του εφήβου κατά ...