QR Code
01-46114
Νικόλαος Δ. Νικολάου

Τριγωνομετρία δια την Η΄ τάξιν των Γυμνασίων
[1966, 9η Έκδοση]

Σχολικό εγχειρίδιο Τριγωνομετρίας για την Η' Γυμνασίου που περιλαμβάνει θεωρία και ασκήσεις.


TopΠΕΔΙΟ ΑΝΑΓΝΩΡΙΣΗΣ

Κωδικός αναγνώρισης: 01-46114

Τίτλος: Τριγωνομετρία δια την Η΄ τάξιν των Γυμνασίων

Συγγραφέας: Νικόλαος Δ. Νικολάου

Εικονογράφος: Θεμιστοκλής Λιακόπουλος (εξώφυλλο)

Μέγεθος και υπόστρωμα: Σχολικό εγχειρίδιο, 20εκ., σκληρό εξώφυλλο, 191 σελίδες. Σκίτσα (ασπρόμαυρα).

TopΠΕΔΙΟ ΠΕΡΙΕΧΟΜΕΝΟΥ

Βαθμίδα εκπαίδευσης: Δευτεροβάθμια

Τάξη: Η' Γυμνασίου

Μάθημα: Μαθηματικά

Γλώσσα: Απλή καθαρεύουσα

Παρουσίαση περιεχομένου: Σχολικό εγχειρίδιο Τριγωνομετρίας για την Η' Γυμνασίου που περιλαμβάνει θεωρία και ασκήσεις.

TopΠΕΔΙΟ ΠΛΗΡΟΦΟΡΙΩΝ ΕΚΔΟΣΗΣ

Εκδότης: Οργανισμός Εκδόσεως Διδακτικών Βιβλίων

Έτος έκδοσης: 1966

Τόπος έκδοσης: Αθήνα

Έκδοση:

Υπουργική απόφαση / Σύμβαση: 1377/21-4-1966

Έτος έγκρισης: 1966

TopΠΕΔΙΟ ΠΑΡΑΤΗΡΗΣΕΩΝ

Εντοπισμός πρωτοτύπου: Ινστιτούτο Εκπαιδευτικής Πολιτικής

Κωδικός βιβλιοθήκης: 46114

TopΕΥΡΕΤΗΡΙΟ ΘΕΜΑΤΙΚΩΝ ΟΡΩΝ

Σχετιζόμενα πρόσωπα:

Σχετιζόμενοι όροι:


200 εγγραφές [141 - 160]
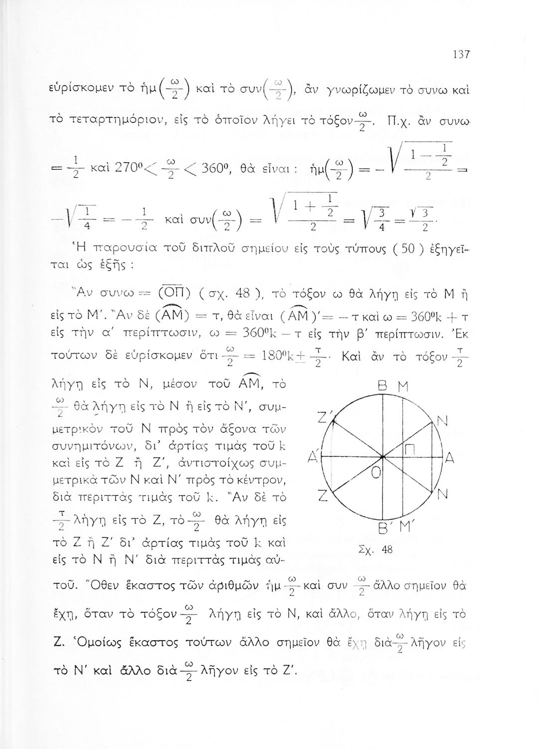
Σελίδα #137
Σελίδα #138
Σελίδα #139
Σελίδα #140
Σελίδα #141
Σελίδα #142
Σελίδα #143
Σελίδα #144
Σελίδα #145
Σελίδα #146
Σελίδα #147
Σελίδα #148
Σελίδα #149
Σελίδα #150
Σελίδα #151
Σελίδα #152
Σελίδα #153
Σελίδα #154
Σελίδα #155
Σελίδα #156
Σελίδα #157
Σελίδα #158
Σελίδα #159
Σελίδα #160
[Σχολικό Εγχειρίδιο]
Νικόλαος Δ. Νικολάου, Χρ. Στυλιανόπουλος (επιμέλεια)
Τάξη:  Η' Γυμνασίου
Μάθημα:  Μαθηματικά
Σχολικό εγχειρίδιο Τριγωνομετρίας για την Η' Γυμνασίου που περιλαμβάνει θεωρία και ασκήσεις.
[Σχολικό Εγχειρίδιο]
Νικόλαος Δ. Νικολάου
Τάξη:  Η' Γυμνασίου
Μάθημα:  Μαθηματικά
Σχολικό εγχειρίδιο Τριγωνομετρίας για την Η' Γυμνασίου που περιλαμβάνει θεωρία και ασκήσεις.
[Σχολικό Εγχειρίδιο]
Νικόλαος Δ. Νικολάου
Τάξη:  Η' Γυμνασίου
Μάθημα:  Μαθηματικά
Σχολικό εγχειρίδιο Τριγωνομετρίας για την Η' Γυμνασίου που περιλαμβάνει θεωρία και ασκήσεις.
[Σχολικό Εγχειρίδιο]
Νικόλαος Δ. Νικολάου
Τάξη:  Δ' Γυμνασίου
Μάθημα:  Μαθηματικά
Σχολικό εγχειρίδιο Τριγωνομετρίας για τη Δ΄ Γυμνασίου που περιλαμβάνει θεωρία και ασκήσεις.
[Σχολικό Εγχειρίδιο]
Νικόλαος Δ. Νικολάου, Ι. Αγγελής (επιμέλεια)
Τάξη:  ΣΤ' Γυμνασίου
Μάθημα:  Μαθηματικά
Σχολικό εγχειρίδιο Τριγωνομετρίας για την ΣΤ΄ Γυμνασίου που περιλαμβάνει θεωρία και ασκήσεις.
[Σχολικό Εγχειρίδιο]
Αλκ. Ε Μάζης
Τάξη:  Η' Γυμνασίου
Μάθημα:  Φυσική
Σχολικό εγχειρίδιο της Η' Γυμνασίου για το μάθημα της Φυσικής. Παρέχει βασικές γνώσεις της φυσικής επιστήμης. Αναλύει το φαινόμενο της οπτικής, του φωτός, της διάθλασης, της φωτομετρίας, καθώς και του ...
[Μαθητικό Βοήθημα]
Κουίντος Οράτιος Φλάκκος (Q. Horati Flacci), Γεώργιος Ν. Παπανικολάου (μετάφραση/σχόλια)
Τάξη:  Η' Γυμνασίου
Μάθημα:  Λατινικά
Σχετιζόμενοι όροι:  Carmina selecta
Μαθητικό βοήθημα Λατινικών για την Η΄ τάξη των Οκταταξίων Γυμνασίων που περιέχει κείμενο, μετάφραση, γραμματικά, σημασιολογικά και συντακτικά σχόλια, νόημα και περίληψη.
[Μαθητικό Βοήθημα]
Μάρκος Τύλλιος Κικέρωνας (M. Tullius Cicero), Γεώργιος Ν. Παπανικολάου (μετάφραση, σχόλια)
Τάξη:  Η' Γυμνασίου
Μάθημα:  Λατινικά
Σχετιζόμενοι όροι:  Ενύπνιος Σκιπιώνος
Μαθητικό βοήθημα Λατινικών για την Η΄ τάξη των Οκταταξίων Γυμνασίων που περιέχει κείμενο, μετάφραση, γραμματικά, σημασιολογικά και συντακτικά σχόλια, νόημα και περίληψη.
[Σχολικό Εγχειρίδιο]
Χρίστος Α. Μπαρμπαστάθης
Τάξη:  ΣΤ' Γυμνασίου
Μάθημα:  Μαθηματικά
Σχολικό εγχειρίδιο Τριγωνομετρίας για την ΣΤ΄ Γυμνασίου που περιλαμβάνει θεωρήματα και ασκήσεις.
[Σχολικό Εγχειρίδιο]
Χρίστος Α. Μπαρμπαστάθης
Τάξη:  ΣΤ' Γυμνασίου
Μάθημα:  Μαθηματικά
Σχολικό εγχειρίδιο Τριγωνομετρίας για την ΣΤ΄ Γυμνασίου που περιλαμβάνει θεωρήματα και ασκήσεις.