QR Code
03-20557239
Ιωάννης Πανάκης

Μαθηματικά Ε΄ Γυμνασίου (θετικής κατευθύνσεως)
[1976, 5η Έκδοση]

Σχολικό εγχειρίδιο Τριγωνομετρίας για τους μαθητές της Ε΄ Γυμνασίου. Τριγωνομετρικοί αριθμοί, ασκήσεις τριγωνομετρίας.


TopΠΕΔΙΟ ΑΝΑΓΝΩΡΙΣΗΣ

Κωδικός αναγνώρισης: 03-20557239

Τίτλος: Μαθηματικά Ε΄ Γυμνασίου (θετικής κατευθύνσεως)

Συγγραφέας: Ιωάννης Πανάκης

Μέγεθος και υπόστρωμα: Μαθητικό βοήθημα, μαλακό εξώφυλλο, 88 σελίδες.

TopΠΕΔΙΟ ΠΕΡΙΕΧΟΜΕΝΟΥ

Βαθμίδα εκπαίδευσης: Δευτεροβάθμια

Τάξη: Ε' Γυμνασίου

Μάθημα: Μαθηματικά

Γλώσσα: Καθαρεύουσα

Παρουσίαση περιεχομένου: Σχολικό εγχειρίδιο Τριγωνομετρίας για τους μαθητές της Ε΄ Γυμνασίου. Τριγωνομετρικοί αριθμοί, ασκήσεις τριγωνομετρίας.

TopΠΕΔΙΟ ΠΛΗΡΟΦΟΡΙΩΝ ΕΚΔΟΣΗΣ

Εκδότης: Οργανισμός Εκδόσεως Διδακτικών Βιβλίων

Έτος έκδοσης: 1976

Τόπος έκδοσης: Αθήνα

Έκδοση:

Υπουργική απόφαση / Σύμβαση: 2657/31-3-1976

Έτος έγκρισης: 1976

TopΠΕΔΙΟ ΠΑΡΑΤΗΡΗΣΕΩΝ

Εντοπισμός πρωτοτύπου: Βιβλιοθήκη της Βουλής των Ελλήνων

Κωδικός βιβλιοθήκης: 20557239

TopΕΥΡΕΤΗΡΙΟ ΘΕΜΑΤΙΚΩΝ ΟΡΩΝ

Σχετιζόμενα πρόσωπα:

Σχετιζόμενοι όροι:


92 εγγραφές [21 - 40]
Σελίδα #019
Σελίδα #020
Σελίδα #021
Σελίδα #022
Σελίδα #023
Σελίδα #024
Σελίδα #025
Σελίδα #026
Σελίδα #027
Σελίδα #028
Σελίδα #029
Σελίδα #030
Σελίδα #031
Σελίδα #032
Σελίδα #033
Σελίδα #034
Σελίδα #035
Σελίδα #036
Σελίδα #037
Σελίδα #038
Σελίδα #039
Σελίδα #040
Σελίδα #041
Σελίδα #042
[Σχολικό Εγχειρίδιο]
Ιωάν. Πανάκης
Τάξη:  Ε' Γυμνασίου
Μάθημα:  Μαθηματικά
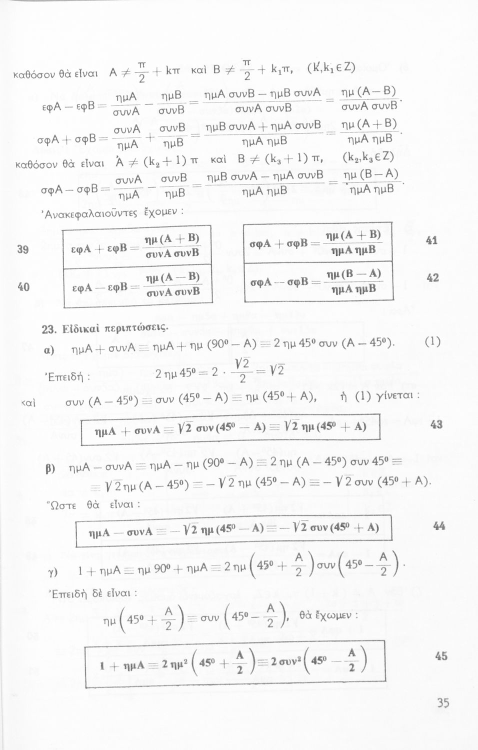
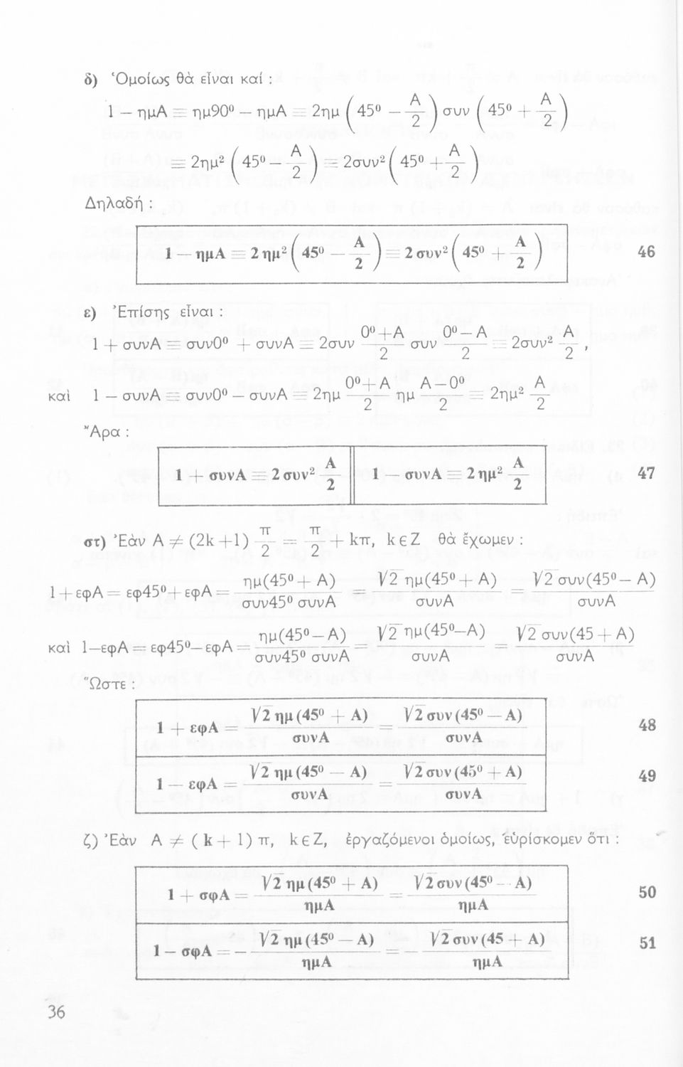
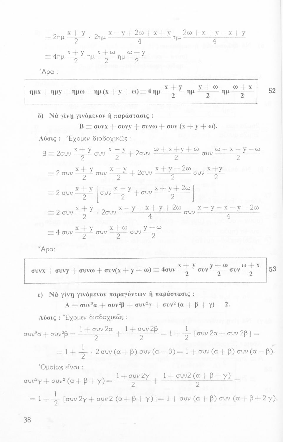
Σχολικό εγχειρίδιο Μαθηματικών για την Ε΄ Γυμνασίου, χωρισμένο σε προβλήματα, εφαρμογές και ασκήσεις, που εστιάζει στην Τριγωνομετρία. Φέρει το σύμβολο της δικτατορίας.
[Σχολικό Εγχειρίδιο]
Ηλίας Β. Ντζιώρας
Τάξη:  Ε' Γυμνασίου
Μάθημα:  Μαθηματικά
Σχολικό εγχειρίδιο Μαθηματικών Ε' Γυμνασίου που εστιάζει στη θεωρίας των συνόλων, τα ακέραια πολυώνυμα, τους πραγματικούς αριθμούς και τις πιθανότητες.
[Σχολικό Εγχειρίδιο]
Ηλίας Β. Ντζιώρας
Τάξη:  Ε' Γυμνασίου
Μάθημα:  Μαθηματικά
Σχολικό εγχειρίδιο Μαθηματικών Ε' Γυμνασίου που εστιάζει στη θεωρίας των συνόλων, τα ακέραια πολυώνυμα, τους πραγματικούς αριθμούς και τις πιθανότητες.
[Σχολικό Εγχειρίδιο]
Ηλίας Β. Ντζιώρας
Τάξη:  Ε' Γυμνασίου
Μάθημα:  Μαθηματικά
Σχολικό εγχειρίδιο Μαθηματικών Ε' Γυμνασίου που εστιάζει στη θεωρίας των συνόλων, τα ακέραια πολυώνυμα, τους πραγματικούς αριθμούς και τις πιθανότητες. Φέρει το σύμβολο της δικτατορίας.
[Μαθητικό Βοήθημα]
Ιωάννης Φ. Πανάκης
Τάξη:  Ε' Γυμνασίου
Μάθημα:  Μαθηματικά
Σχετιζόμενοι όροι:  πολύεδρα, σφαίρες, κώνοι
Μαθητικό βοήθημα Γεωμετρίας για την Ε΄ Γυμνασίου που περιέχει τις λύσεις των ασκήσεων του εγκεκριμένου βιβλίου του Ο.Ε.Δ.Β.
[Σχολικό Εγχειρίδιο]
Ιωάν. Πανάκης
Τάξη:  Ε' Γυμνασίου
Μάθημα:  Μαθηματικά
Σχολικό εγχειρίδιο Μαθηματικών για την Ε΄ Γυμνασίου χωρισμένο σε προβλήματα, εφαρμογές και ασκήσεις που εστιάζει στην Τριγωνομετρία.
[Σχολικό Εγχειρίδιο]
Ιωάννης Πανάκης
Τάξη:  Δ' Γυμνασίου / Ε' Γυμνασίου
Μάθημα:  Μαθηματικά
Σχολικό εγχειρίδιο Μαθηματικών Δ΄ και Ε΄ Γυμνασίου που είναι χωρισμένο σε θεωρήματα και ασκήσεις και εστιάζει στη Γεωμετρία. Φέρει το σύμβολο της δικτατορίας.
[Σχολικό Εγχειρίδιο]
Ηλίας Ντζιώρας
Τάξη:  Ε' Γυμνασίου
Μάθημα:  Μαθηματικά
Σχολικό εγχειρίδιο Μαθηματικών Ε' Γυμνασίου που εστιάζει στη θεωρίας των συνόλων, τα ακέραια πολυώνυμα, τους πραγματικούς αριθμούς και τις πιθανότητες.
[Σχολικό Εγχειρίδιο]
Ηλίας Ντζιώρας
Τάξη:  Ε' Γυμνασίου
Μάθημα:  Μαθηματικά
Σχολικό εγχειρίδιο Μαθηματικών Ε' Γυμνασίου που εστιάζει στη θεωρίας των συνόλων, τα ακέραια πολυώνυμα, τους πραγματικούς αριθμούς και τις πιθανότητες.
[Σχολικό Εγχειρίδιο]
Θ. Βαβαλέτσκος, Γ. Μπούσγος
Τάξη:  Δ' Γυμνασίου
Μάθημα:  Μαθηματικά
Σχετιζόμενοι όροι:  εξισώσεις, συναρτήσεις, ανισώσεις
Σχολικό εγχειρίδιο Μαθηματικών Δ΄ Γυμνασίου χωρισμένο σε ορισμούς, παραδείγματα και ασκήσεις. Περιέχει στοιχεία Περιγραφικής Στατιστικής και Τριγωνομετρίας. Φέρει το σύμβολο της δικτατορίας.