QR Code
03-20557248
Χρ. Γ. Παπανικολάου

Ευκλείδιος Γεωμετρία Β΄ Λυκείου
[1981, 6η Έκδοση]

Σχολικό εγχειρίδιο Μαθηματικών Β΄ Λυκείου που περιλαμβάνει εισαγωγή στην Ευκλείδεια Γεωμετρία, στα βασικά θεωρήματα, στις μετρικές σχέσεις των σχημάτων και στη στερεομετρία.


TopΠΕΔΙΟ ΑΝΑΓΝΩΡΙΣΗΣ

Κωδικός αναγνώρισης: 03-20557248

Τίτλος: Ευκλείδιος Γεωμετρία Β΄ Λυκείου

Συγγραφέας: Χρ. Γ. Παπανικολάου

Μέγεθος και υπόστρωμα: Σχολικό εγχειρίδιο, μαλακό εξώφυλλο, 262 σελίδες. Σκίτσα, σχεδιαγράμματα (ασπρόμαυρα).

TopΠΕΔΙΟ ΠΕΡΙΕΧΟΜΕΝΟΥ

Βαθμίδα εκπαίδευσης: Δευτεροβάθμια

Τάξη: Β' Λυκείου

Μάθημα: Μαθηματικά

Γλώσσα: Δημοτική

Παρουσίαση περιεχομένου: Σχολικό εγχειρίδιο Μαθηματικών Β΄ Λυκείου που περιλαμβάνει εισαγωγή στην Ευκλείδεια Γεωμετρία, στα βασικά θεωρήματα, στις μετρικές σχέσεις των σχημάτων και στη στερεομετρία.

TopΠΕΔΙΟ ΠΛΗΡΟΦΟΡΙΩΝ ΕΚΔΟΣΗΣ

Εκδότης: Οργανισμός Εκδόσεως Διδακτικών Βιβλίων

Έτος έκδοσης: 1981

Τόπος έκδοσης: Αθήνα

Έκδοση:

Υπουργική απόφαση / Σύμβαση: 3602/15-5-1981

Έτος έγκρισης: 1981

TopΠΕΔΙΟ ΠΑΡΑΤΗΡΗΣΕΩΝ

Εντοπισμός πρωτοτύπου: Βιβλιοθήκη της Βουλής των Ελλήνων

Κωδικός βιβλιοθήκης: 20557248

TopΕΥΡΕΤΗΡΙΟ ΘΕΜΑΤΙΚΩΝ ΟΡΩΝ

Σχετιζόμενα πρόσωπα:

Σχετιζόμενοι όροι:


268 εγγραφές [81 - 100]
Σελίδα #071
Σελίδα #072
Σελίδα #073
Σελίδα #074
Σελίδα #075
Σελίδα #076
Σελίδα #077
Σελίδα #078
Σελίδα #079
Σελίδα #080
Σελίδα #081
Σελίδα #082
Σελίδα #083
Σελίδα #084
Σελίδα #085
Σελίδα #086
Σελίδα #087
Σελίδα #088
Σελίδα #089
Σελίδα #090
Σελίδα #091
Σελίδα #092
Σελίδα #093
Σελίδα #094
[Σχολικό Εγχειρίδιο]
Σπ. Γ. Κανέλλος
Τάξη:  Β' Λυκείου / Γ' Λυκείου
Μάθημα:  Μαθηματικά
Σχολικό εγχειρίδιο Γεωμετρίας για τις Β΄ και Γ΄ Λυκείου που περιλαμβάνει αξιώματα, θεωρήματα και κατασκευές και είναι χωρισμένο σε Γεωμετρία Επιπέδου και Γεωμετρία Χώρου. Το εγχειρίδιο μεταγλωττίστηκε από τον ...
[Σχολικό Εγχειρίδιο]
Χρ. Γ. Παπανικολάου
Τάξη:  Α' Λυκείου / Β' Λυκείου / Γ' Λυκείου
Μάθημα:  Μαθηματικά
Σχολικό εγχειρίδιο Γεωμετρίας για τις Α΄, Β΄ και Γ΄ Λυκείου που περιλαμβάνει θεωρία και ασκήσεις και είναι χωρισμένο σε Επιπεδομετρία και Στερεομετρία.
[Σχολικό Εγχειρίδιο]
Χρ. Γ. Παπανικολάου
Τάξη:  Β' Λυκείου
Μάθημα:  Μαθηματικά
Σχολικό εγχειρίδιο Γεωμετρίας για τις Α΄, Β΄ και Γ΄ Λυκείου που περιλαμβάνει θεωρία και ασκήσεις και είναι χωρισμένο σε Επιπεδομετρία και Στερεομετρία.
[Σχολικό Εγχειρίδιο]
Σπ. Γ. Κανέλλος
Τάξη:  Β' Λυκείου / Γ' Λυκείου
Μάθημα:  Μαθηματικά
Σχολικό εγχειρίδιο Γεωμετρίας για τις Β΄ και Γ΄ Λυκείου που περιλαμβάνει αξιώματα, θεωρήματα και κατασκευές και είναι χωρισμένο σε Γεωμετρία Επιπέδου και Γεωμετρία Χώρου. Το εγχειρίδιο μεταγλωττίστηκε από τον ...
[Σχολικό Εγχειρίδιο]
Χρ. Γ. Παπανικολάου
Τάξη:  Α' Λυκείου / Β' Λυκείου / Γ' Λυκείου
Μάθημα:  Μαθηματικά
Σχετιζόμενοι όροι:  πολύγωνα, κύκλος, εμβαδόν, όγκος, προβολή
Σχολικό εγχειρίδιο Γεωμετρίας για τις Α΄, Β΄ και Γ΄ Λυκείου που περιλαμβάνει θεωρία και ασκήσεις και είναι χωρισμένο σε Επιπεδομετρία και Στερεομετρία.
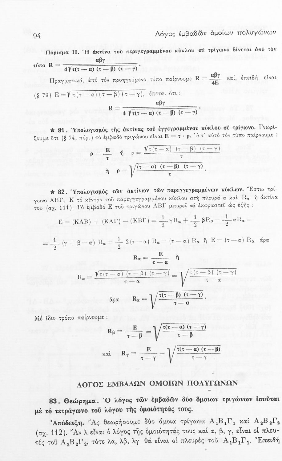
[Μαθητικό Βοήθημα]
Χρήστος Γ. Παπανικολάου
Τάξη:  Α' Λυκείου
Μάθημα:  Μαθηματικά
Σχετιζόμενοι όροι:  σχήματα, τρίγωνα, κριτήρια, θεώρημα
Μαθητικό βοήθημα Γεωμετρίας Α΄ Λυκείου που περιέχει τις λύσεις των ασκήσεων 149-305 του βιβλίου Ευκλείδειος Γεωμετρία για τις τάξεις Α΄, Β΄ και Γ΄ Λυκείου του Ο.Ε.Δ.Β που είχε συγγράψει ο Χρήστος Γ. ...
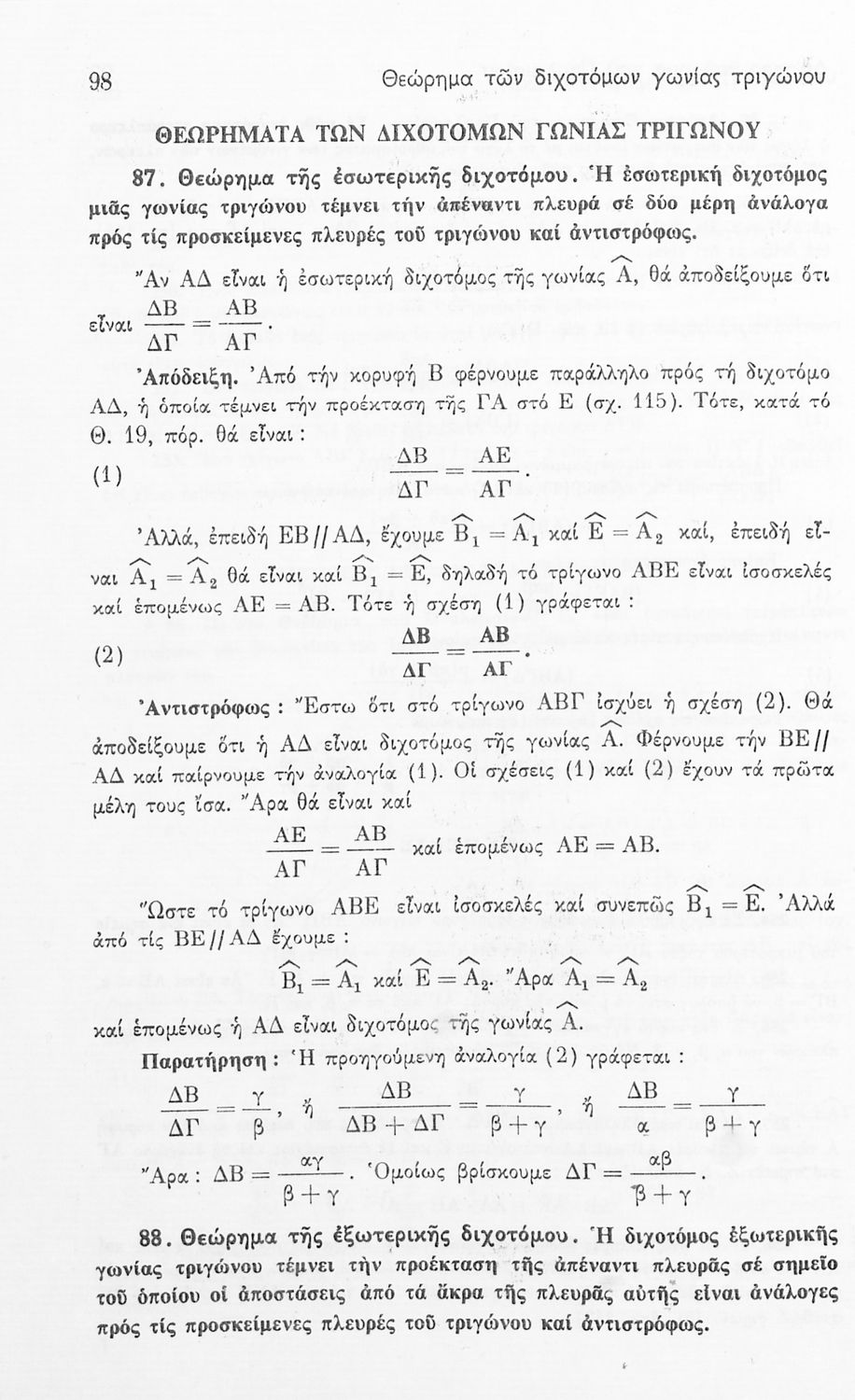
[Σχολικό Εγχειρίδιο]
Ηλίας Β. Ντζιώρας
Τάξη:  Β' Λυκείου
Μάθημα:  Μαθηματικά
Σχολικό εγχειρίδιο Άλγεβρας Β΄ Λυκείου χωρισμένο σε θεωρία, παρατηρήσεις και ασκήσεις που περιλαμβάνει και στοιχεία από το Διανυσματικό Λογισμό και την Αναλυτική Γεωμετρία που έχουν συγγραφεί από τον Ιωάννη ...
[Σχολικό Εγχειρίδιο]
Σπ. Γ. Κανέλλος
Τάξη:  Α' Λυκείου
Μάθημα:  Μαθηματικά
Σχολικό εγχειρίδιο Γεωμετρίας για την Α΄ Λυκείου που περιλαμβάνει αξιώματα, θεωρήματα και κατασκευές και εστιάζει στην Γεωμετρία Επιπέδου.
[Σχολικό Εγχειρίδιο]
Κορνήλιος Νέπως (Cornelius Nepos), Ερρίκος Α. Σκάσσης (σχόλια)
Τάξη:  Β' Λυκείου
Μάθημα:  Λατινικά
Σχετιζόμενοι όροι:  Hamilcar, Hannibal, Cato, Atticus
Σχολικό εγχειρίδιο Λατινικών Β΄ Λυκείου που περιέχει σύντομο βιογραφικό σημείωμα του Νέπωτα, αποσπάσματα από τα έργα Αμίλκας, Αννίβας, Κάτων και Αττικός, ιστορικό και γεωγραφικό πίνακα και λεξιλόγιο. Ο ...
[Σχολικό Εγχειρίδιο]
Λεωνίδας Σπ. Λιώκης
Τάξη:  Α' Λυκείου / Β' Λυκείου
Μάθημα:  Χημεία
Σχολικό εγχειρίδιο Χημείας Α΄ και Β΄ Λυκείου που περιλαμβάνει εισαγωγή στις έννοιες της Χημείας (ύλη, νόμοι χημείας, χημικές αντιδράσεις, εξισώσεις, ενώσεις), αναλυτική περιγραφή στοιχείων και των ενώσεών τους.