QR Code
03-20557270
Θ. Βαβαλέτσκος, Γ. Μπούσγος

Μαθηματικά Δ' Γυμνασίου (θετικής κατευθύνσεως)
[1976, 8η Έκδοση]

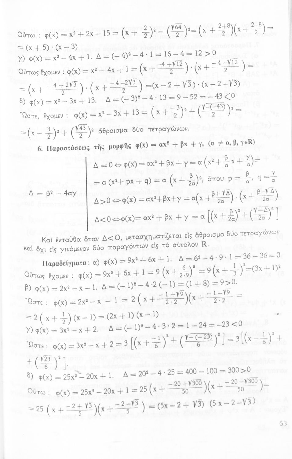
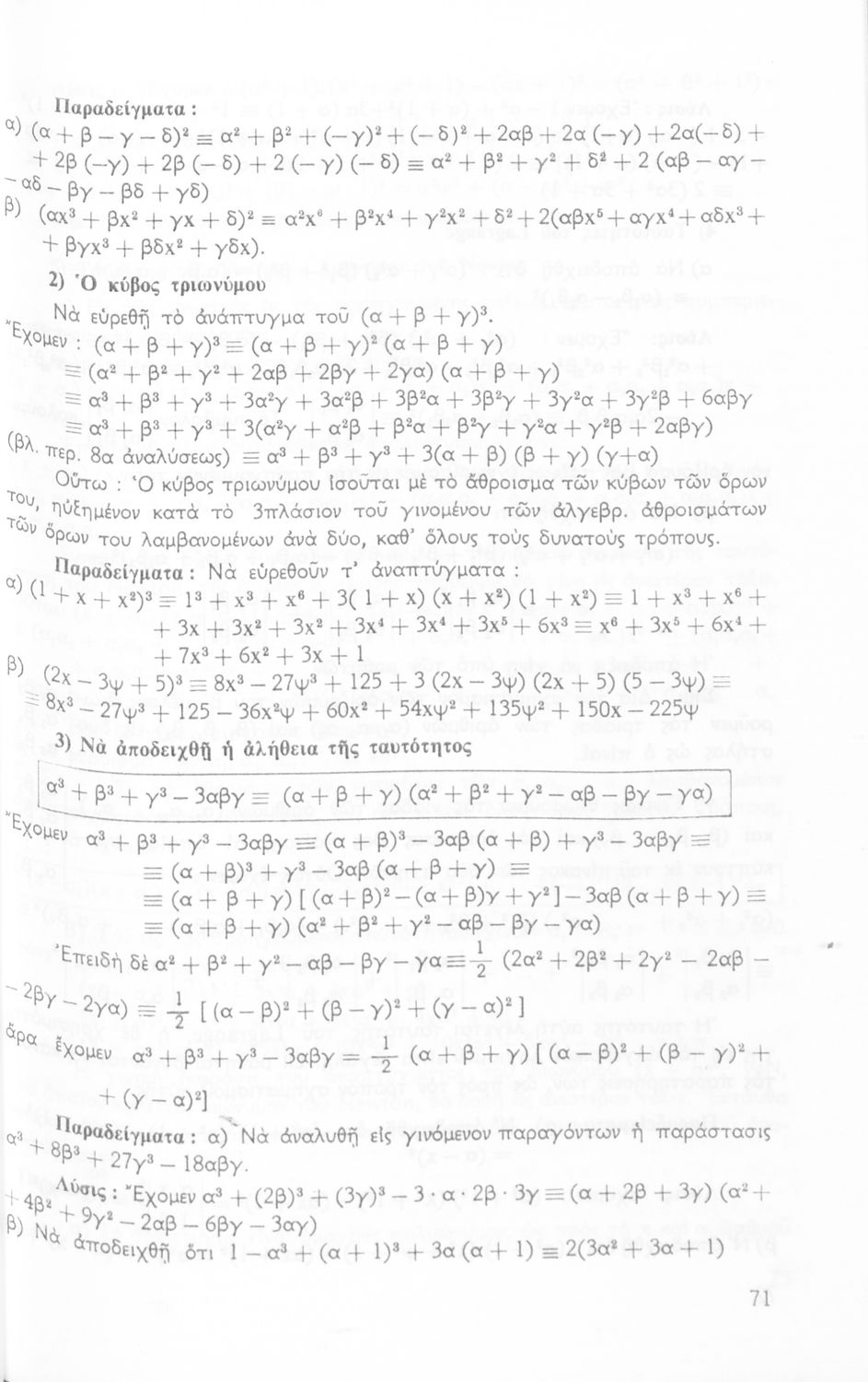
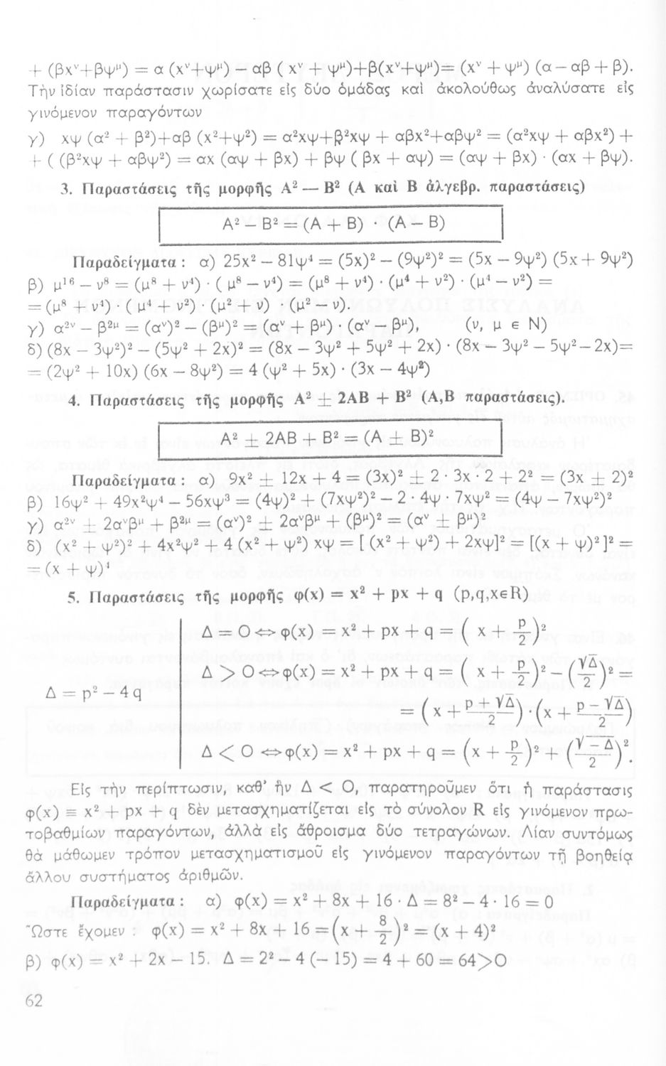
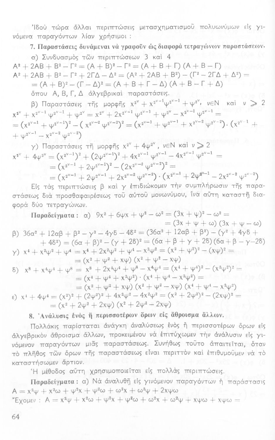
Σχολικό εγχειρίδιο Μαθηματικών της Δ' Γυμνασίου. Το βιβλίο περιέχει στοιχεία μαθηματικής λογικής όπως στοιχεία διανυσματικού λογισμού, συστήματα εξισώσεων, ασύμμετρους και πραγματικούς αριθμούς και αναδασώσεις δευτέρου βαθμού.


TopΠΕΔΙΟ ΑΝΑΓΝΩΡΙΣΗΣ

Κωδικός αναγνώρισης: 03-20557270

Τίτλος: Μαθηματικά Δ' Γυμνασίου (θετικής κατευθύνσεως)

Συγγραφέας: Θ. Βαβαλέτσκος, Γ. Μπούσγος

Μέγεθος και υπόστρωμα: Σχολικό εγχειρίδιο, μαλακό εξώφυλλο, 273 σελίδες.

TopΠΕΔΙΟ ΠΕΡΙΕΧΟΜΕΝΟΥ

Βαθμίδα εκπαίδευσης: Δευτεροβάθμια

Τάξη: Δ' Γυμνασίου

Μάθημα: Μαθηματικά

Γλώσσα: Καθαρεύουσα

Παρουσίαση περιεχομένου: Σχολικό εγχειρίδιο Μαθηματικών της Δ' Γυμνασίου. Το βιβλίο περιέχει στοιχεία μαθηματικής λογικής όπως στοιχεία διανυσματικού λογισμού, συστήματα εξισώσεων, ασύμμετρους και πραγματικούς αριθμούς και αναδασώσεις δευτέρου βαθμού.

TopΠΕΔΙΟ ΠΛΗΡΟΦΟΡΙΩΝ ΕΚΔΟΣΗΣ

Εκδότης: Οργανισμός Εκδόσεως Διδακτικών Βιβλίων

Έτος έκδοσης: 1976

Τόπος έκδοσης: Αθήνα

Έκδοση:

Υπουργική απόφαση / Σύμβαση: 2656/30-3-1976

Έτος έγκρισης: 1976

TopΠΕΔΙΟ ΠΑΡΑΤΗΡΗΣΕΩΝ

Εντοπισμός πρωτοτύπου: Βιβλιοθήκη της Βουλής των Ελλήνων

Κωδικός βιβλιοθήκης: 20557270

TopΕΥΡΕΤΗΡΙΟ ΘΕΜΑΤΙΚΩΝ ΟΡΩΝ

Σχετιζόμενα πρόσωπα:

Σχετιζόμενοι όροι:


278 εγγραφές [61 - 80]
Σελίδα #059
Σελίδα #060
Σελίδα #061
Σελίδα #062
Σελίδα #063
Σελίδα #064
Σελίδα #065
Σελίδα #066
Σελίδα #067
Σελίδα #068
Σελίδα #069
Σελίδα #070
Σελίδα #071
Σελίδα #072
Σελίδα #073
Σελίδα #074
Σελίδα #075
Σελίδα #076
Σελίδα #077
Σελίδα #078
Σελίδα #079
Σελίδα #080
Σελίδα #081
Σελίδα #082
[Σχολικό Εγχειρίδιο]
Θ. Βαβαλέτσκος, Γ. Μπούσγος
Τάξη:  Δ' Γυμνασίου
Μάθημα:  Μαθηματικά
Σχετιζόμενοι όροι:  εξισώσεις, συναρτήσεις, ανισώσεις
Σχολικό εγχειρίδιο Μαθηματικών Δ΄ Γυμνασίου χωρισμένο σε ορισμούς, παραδείγματα και ασκήσεις. Περιέχει στοιχεία Περιγραφικής Στατιστικής και Τριγωνομετρίας. Φέρει το σύμβολο της δικτατορίας.
[Σχολικό Εγχειρίδιο]
Θ. Βαβαλέτσκος, Γ. Μπούσγος
Τάξη:  Δ' Γυμνασίου
Μάθημα:  Μαθηματικά
Σχετιζόμενοι όροι:  εξισώσεις, συναρτήσεις, ανισώσεις
Σχολικό εγχειρίδιο Μαθηματικών Δ΄ Γυμνασίου χωρισμένο σε ορισμούς, παραδείγματα και ασκήσεις. Περιέχει στοιχεία Περιγραφικής Στατιστικής και Τριγωνομετρίας.
[Σχολικό Εγχειρίδιο]
Θ. Βαβαλέτσκος, Γ. Μπούσγος
Τάξη:  Δ' Γυμνασίου
Μάθημα:  Μαθηματικά
Σχετιζόμενοι όροι:  εξισώσεις, συναρτήσεις, ανισώσεις
Σχολικό εγχειρίδιο Μαθηματικών Δ΄ Γυμνασίου χωρισμένο σε ορισμούς, παραδείγματα και ασκήσεις. Περιέχει στοιχεία Περιγραφικής Στατιστικής και Τριγωνομετρίας. Φέρει το σύμβολο της δικτατορίας.
[Σχολικό Εγχειρίδιο]
Θ. Βαβαλέτσκος, Γ. Μπούσγος
Τάξη:  Δ' Γυμνασίου
Μάθημα:  Μαθηματικά
Σχολικό εγχειρίδιο για την Δ΄ Γυμνασίου για το μάθημα των Μαθηματικών. Το εγχειρίδιο περιλαμβάνει στοιχεία λογικής, τα σύνολα των αριθμών, την ανάλυση των πολυωνύμων στο γινόμενο των παραγόντων, τα στοιχεία ...
[Σχολικό Εγχειρίδιο]
Θ. Βαβαλέτσκος, Γ. Μπούσγος
Τάξη:  Δ' Γυμνασίου
Μάθημα:  Μαθηματικά
Σχολικό εγχειρίδιο Δ΄ Γυμνασίου για το μάθημα των Μαθηματικών. Αναφέρεται στην θεωρία της Άλγεβρας, ρίζες, συναρτήσεις, παραστάσεις, διανύσματα κ.α.
[Σχολικό Εγχειρίδιο]
Θ. Βαβαλέτσκος, Γ. Μπούσγος
Τάξη:  Δ' Γυμνασίου
Μάθημα:  Μαθηματικά
Σχολικό εγχειρίδιο Μαθηματικών της Δ' Γυμνασίου. Το βιβλίο περιέχει στοιχεία μαθηματικής λογικής όπως στοιχεία διανυσματικού λογισμού, συστήματα εξισώσεων, ασύμμετρους και πραγματικούς αριθμούς και αναδασώσεις
[Σχολικό Εγχειρίδιο]
Ιωάννης Πανάκης
Τάξη:  Δ' Γυμνασίου / Ε' Γυμνασίου
Μάθημα:  Μαθηματικά
Σχολικό εγχειρίδιο Μαθηματικών Δ΄ και Ε΄ Γυμνασίου που είναι χωρισμένο σε θεωρήματα και ασκήσεις και εστιάζει στη Γεωμετρία. Φέρει το σύμβολο της δικτατορίας.
[Σχολικό Εγχειρίδιο]
Βασίλειος Στάικος
Τάξη:  ΣΤ' Γυμνασίου
Μάθημα:  Μαθηματικά
Σχετιζόμενοι όροι:  σύνολα, συναρτήσεις, ολοκληρώματα
Σχολικό εγχειρίδιο Μαθηματικών Γυμνασίου που είναι χωρισμένο σε θεωρήματα, παραδείγματα και ασκήσεις και περιλαμβάνει στοιχεία Ανώτερης Άλγεβρας και Μαθηματικής Ανάλυσης.
[Σχολικό Εγχειρίδιο]
Ιωάν. Πανάκης
Τάξη:  Ε' Γυμνασίου
Μάθημα:  Μαθηματικά
Σχολικό εγχειρίδιο Μαθηματικών για την Ε΄ Γυμνασίου, χωρισμένο σε προβλήματα, εφαρμογές και ασκήσεις, που εστιάζει στην Τριγωνομετρία. Φέρει το σύμβολο της δικτατορίας.
[Σχολικό Εγχειρίδιο]
Ηλίας Β. Ντζιώρας
Τάξη:  Ε' Γυμνασίου
Μάθημα:  Μαθηματικά
Σχολικό εγχειρίδιο Μαθηματικών Ε' Γυμνασίου που εστιάζει στη θεωρίας των συνόλων, τα ακέραια πολυώνυμα, τους πραγματικούς αριθμούς και τις πιθανότητες.