QR Code
03-20557275
Γ. Μπούσγος, Ι. Ταμβακλής

Μαθηματικά Γ΄ Γυμνασίου, τόμος πρώτος
[1975, 7η Έκδοση]

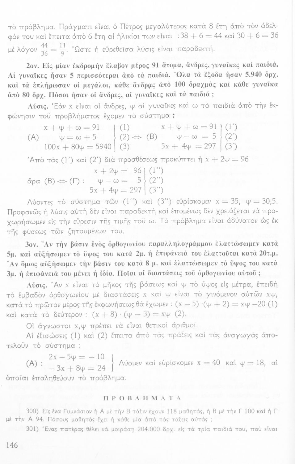
Σχολικό εγχειρίδιο της Γ' Γυμνασίου για το μάθημα των Μαθηματικών. Περιέχει τα σύνολα, τα όρια, δυνάμεις και ρίζες των πραγματικών αριθμών. Περιλαμβάνει θεωρία και ασκήσεις της τριγωνομετρίας.


TopΠΕΔΙΟ ΑΝΑΓΝΩΡΙΣΗΣ

Κωδικός αναγνώρισης: 03-20557275

Τίτλος: Μαθηματικά Γ΄ Γυμνασίου, τόμος πρώτος

Συγγραφέας: Γ. Μπούσγος, Ι. Ταμβακλής

Μέγεθος και υπόστρωμα: Σχολικό εγχειρίδιο, σκληρό εξώφυλλο, 215 σελίδες. Σκίτσα, εικόνες (ασπρόμαυρα).

TopΠΕΔΙΟ ΠΕΡΙΕΧΟΜΕΝΟΥ

Βαθμίδα εκπαίδευσης: Δευτεροβάθμια

Τάξη: Γ' Γυμνασίου

Μάθημα: Μαθηματικά

Γλώσσα: Απλή καθαρεύουσα

Παρουσίαση περιεχομένου: Σχολικό εγχειρίδιο της Γ' Γυμνασίου για το μάθημα των Μαθηματικών. Περιέχει τα σύνολα, τα όρια, δυνάμεις και ρίζες των πραγματικών αριθμών. Περιλαμβάνει θεωρία και ασκήσεις της τριγωνομετρίας.

TopΠΕΔΙΟ ΠΛΗΡΟΦΟΡΙΩΝ ΕΚΔΟΣΗΣ

Εκδότης: Οργανισμός Εκδόσεως Διδακτικών Βιβλίων

Έτος έκδοσης: 1975

Τόπος έκδοσης: Αθήνα

Έκδοση:

Υπουργική απόφαση / Σύμβαση: 2558/9-4-1975

Έτος έγκρισης: 1975

TopΠΕΔΙΟ ΠΑΡΑΤΗΡΗΣΕΩΝ

Εντοπισμός πρωτοτύπου: Βιβλιοθήκη της Βουλής των Ελλήνων

Κωδικός βιβλιοθήκης: 20557275

TopΕΥΡΕΤΗΡΙΟ ΘΕΜΑΤΙΚΩΝ ΟΡΩΝ

Σχετιζόμενα πρόσωπα:

Σχετιζόμενοι όροι:


204 εγγραφές [141 - 160]
Σελίδα #139
Σελίδα #140
Σελίδα #141
Σελίδα #142
Σελίδα #143
Σελίδα #144
Σελίδα #145
Σελίδα #146
Σελίδα #147
Σελίδα #148
Σελίδα #149
Σελίδα #150
Σελίδα #151
Σελίδα #152
Σελίδα #153
Σελίδα #154
Σελίδα #155
Σελίδα #156
Σελίδα #157
Σελίδα #158
Σελίδα #159
Σελίδα #160
Σελίδα #161
Σελίδα #162
[Σχολικό Εγχειρίδιο]
Γ. Μπούσγος, Ι. Ταμβακλής, Παν. Ηλιάδης (επιμέλεια)
Τάξη:  Γ' Γυμνασίου
Μάθημα:  Μαθηματικά
Σχολικό εγχειρίδιο Μαθηματικών Γ΄ Γυμνασίου που περιλαμβάνει θεωρία, παραδείγματα και ασκήσεις. Φέρει το σύμβολο της δικτατορίας.
[Σχολικό Εγχειρίδιο]
Γ. Μπούσγος, Ι. Ταμβακλής
Τάξη:  Γ' Γυμνασίου
Μάθημα:  Μαθηματικά
Σχολικό εγχειρίδιο Μαθηματικών Γ΄ Γυμνασίου που περιέχει θεωρία, παραδείγματα και ασκήσεις και περιλαμβάνει Άλγεβρα, Τριγωνομετρία και στοιχεία Περιγραφικής Στατιστικής.
[Σχολικό Εγχειρίδιο]
Ι. Ιωαννίδης, Ηλίας Ντζιώρας (επιμέλεια)
Τάξη:  Γ' Γυμνασίου
Μάθημα:  Μαθηματικά
Σχολικό εγχειρίδιο Μαθηματικών Γ΄ Γυμνασίου που εστιάζει στη Γεωμετρία. Φέρει το σύμβολο της δικτατορίας.
[Σχολικό Εγχειρίδιο]
Ιωάν. Πανάκης
Τάξη:  Ε' Γυμνασίου
Μάθημα:  Μαθηματικά
Σχολικό εγχειρίδιο Μαθηματικών για την Ε΄ Γυμνασίου, χωρισμένο σε προβλήματα, εφαρμογές και ασκήσεις, που εστιάζει στην Τριγωνομετρία. Φέρει το σύμβολο της δικτατορίας.
[Σχολικό Εγχειρίδιο]
Γ. Μπούσγος, Ι. Ταμβακλής, Παν. Ηλιάδης (επιμέλεια)
Τάξη:  Γ' Γυμνασίου
Μάθημα:  Μαθηματικά
Σχολικό εγχειρίδιο Μαθηματικών Γ΄ Γυμνασίου που περιλαμβάνει θεωρία, παραδείγματα και ασκήσεις. Φέρει το σύμβολο της δικτατορίας.
[Σχολικό Εγχειρίδιο]
Γ. Μπούσγος, Ι. Ταμβακλής, Παν. Ηλιάδης (επιμέλεια)
Τάξη:  Γ' Γυμνασίου
Μάθημα:  Μαθηματικά
Σχολικό εγχειρίδιο μαθηματικών Γ΄ Γυμνασίου που περιλαμβάνει θεωρία, παραδείγματα και ασκήσεις. Φέρει το σύμβολο της δικτατορίας.
[Σχολικό Εγχειρίδιο]
Γ. Μπούσγος, Ι. Ταμβακλής
Τάξη:  Γ' Γυμνασίου
Μάθημα:  Μαθηματικά
Σχολικό εγχειρίδιο Μαθηματικών Γ΄ Γυμνασίου που περιέχει θεωρία, παραδείγματα και ασκήσεις και περιλαμβάνει Άλγεβρα, Τριγωνομετρία και στοιχεία Περιγραφικής Στατιστικής. Το εγχειρίδιο μεταγλωττίστηκε στη ...
[Σχολικό Εγχειρίδιο]
Γ. Μπούσγος, Ι. Ταμβακλής, Παν. Ηλιάδης (επιμέλεια)
Τάξη:  Γ' Γυμνασίου
Μάθημα:  Μαθηματικά
Σχολικό εγχειρίδιο Μαθηματικών Γ΄ Γυμνασίου που περιλαμβάνει θεωρία, παραδείγματα και ασκήσεις. Φέρει το σύμβολο της δικτατορίας.
[Σχολικό Εγχειρίδιο]
Ι. Ιωαννίδης
Τάξη:  Γ' Γυμνασίου
Μάθημα:  Μαθηματικά
Σχολικό εγχειρίδιο Μαθηματικών Γ΄ Γυμνασίου που εστιάζει στη Γεωμετρία. Φέρει το σύμβολο της δικτατορίας. Ο συγγραφέας ήταν επιμελητής στο ΕΜΠ.
[Σχολικό Εγχειρίδιο]
Γ. Μπούσγος, Ι. Ταμβακλής, Παν. Ηλιάδης (επιμέλεια)
Τάξη:  Γ' Γυμνασίου
Μάθημα:  Μαθηματικά
Σχολικό εγχειρίδιο Μαθηματικών Γ΄ Γυμνασίου που περιλαμβάνει θεωρία, παραδείγματα και ασκήσεις. Φέρει το σύμβολο της δικτατορίας.