QR Code
03-20557281
Γ. Μπούσγος, Ι. Ταμβακλής

Μαθηματικά Γ' Γυμνασίου
[1972, 5η Έκδοση]

Μαθητικό βοήθημα Μαθηματικών Γ' Γυμνασίου που περιέχει ασκήσεις Άλγεβρας και Γεωμετρίας.


TopΠΕΔΙΟ ΑΝΑΓΝΩΡΙΣΗΣ

Κωδικός αναγνώρισης: 03-20557281

Τίτλος: Μαθηματικά Γ' Γυμνασίου

Συγγραφέας: Γ. Μπούσγος, Ι. Ταμβακλής

Μέγεθος και υπόστρωμα: Μαθητικό βοήθημα, μαλακό εξώφυλλο, 100 σελίδες.

TopΠΕΔΙΟ ΠΕΡΙΕΧΟΜΕΝΟΥ

Βαθμίδα εκπαίδευσης: Δευτεροβάθμια

Τάξη: Γ' Γυμνασίου

Μάθημα: Μαθηματικά

Γλώσσα: Καθαρεύουσα

Παρουσίαση περιεχομένου: Μαθητικό βοήθημα Μαθηματικών Γ' Γυμνασίου που περιέχει ασκήσεις Άλγεβρας και Γεωμετρίας.

TopΠΕΔΙΟ ΠΛΗΡΟΦΟΡΙΩΝ ΕΚΔΟΣΗΣ

Εκδότης: Οργανισμός Εκδόσεως Διδακτικών Βιβλίων

Έτος έκδοσης: 1972

Τόπος έκδοσης: Αθήνα

Έκδοση:

Υπουργική απόφαση / Σύμβαση: 2215/31-3-1972

Έτος έγκρισης: 1972

TopΠΕΔΙΟ ΠΑΡΑΤΗΡΗΣΕΩΝ

Εντοπισμός πρωτοτύπου: Βιβλιοθήκη της Βουλής των Ελλήνων

Κωδικός βιβλιοθήκης: 20557281

TopΕΥΡΕΤΗΡΙΟ ΘΕΜΑΤΙΚΩΝ ΟΡΩΝ

Σχετιζόμενα πρόσωπα:

Σχετιζόμενοι όροι:


204 εγγραφές [141 - 160]
Σελίδα #139
Σελίδα #140
Σελίδα #141
Σελίδα #142
Σελίδα #143
Σελίδα #144
Σελίδα #145
Σελίδα #146
Σελίδα #147
Σελίδα #148
Σελίδα #149
Σελίδα #150
Σελίδα #151
Σελίδα #152
Σελίδα #153
Σελίδα #154
Σελίδα #155
Σελίδα #156
Σελίδα #157
Σελίδα #158
Σελίδα #159
Σελίδα #160
Σελίδα #161
Σελίδα #162
[Σχολικό Εγχειρίδιο]
Νικόλ. Δ. Νικολάου
Τάξη:  Α' Γυμνασίου / Β' Γυμνασίου / Γ' Γυμνασίου
Μάθημα:  Μαθηματικά
Σχολικό εγχειρίδιο Αριθμητικής για τις Α΄, Β΄, Γ΄ Γυμνασίου που είναι χωρισμένο σε ορισμούς και ασκήσεις και εστιάζει στις ιδιότητες των αριθμητικών πράξεων, τα κλάσματα και την τετραγωνική ρίζα.
[Σχολικό Εγχειρίδιο]
Νικόλαος Δ. Νικολάου
Τάξη:  Γ' Γυμνασίου / Δ' Γυμνασίου / Ε' Γυμνασίου / ΣΤ' Γυμνασίου
Μάθημα:  Μαθηματικά
Σχολικό εγχειρίδιο Γεωμετρίας για τις Γ΄, Δ΄, Ε΄, ΣΤ΄ Γυμνασίου που περιλαμβάνει θεωρία και ασκήσεις και είναι χωρισμένο σε Επιπεδομετρία και Στερεομετρία. Φέρει το σύμβολο της δικτατορίας.
[Σχολικό Εγχειρίδιο]
Χρ. Γ. Παπανικολάου
Τάξη:  Γ' Γυμνασίου / Δ' Γυμνασίου / Ε' Γυμνασίου / ΣΤ' Γυμνασίου
Μάθημα:  Μαθηματικά
Σχετιζόμενοι όροι:  πολύγωνα, κύκλος, εμβαδόν, όγκος, προβολή
Σχολικό εγχειρίδιο Γεωμετρίας για τις Γ΄, Δ΄, Ε΄, ΣΤ΄ Γυμνασίου που περιλαμβάνει θεωρία και ασκήσεις και είναι χωρισμένο σε Επιπεδομετρία και Στερεομετρία.
[Σχολικό Εγχειρίδιο]
Χρ. Γ. Παπανικολάου
Τάξη:  Γ' Γυμνασίου
Μάθημα:  Μαθηματικά
Σχετιζόμενοι όροι:  γραμμές, γωνίες, πολύγωνα, κύκλος
Σχολικό εγχειρίδιο Γεωμετρίας Γ΄ Γυμνασίου χωρισμένο σε θεωρήματα και ασκήσεις που εστιάζει στην Επιπεδομετρία. Το εγχειρίδιο μεταγλωττίστηκε στη δημοτική από τους Ε. Πλατή και Ιορδάνη Παπαδόπουλο.
[Σχολικό Εγχειρίδιο]
Ηλίας Β. Ντζιώρας
Τάξη:  Γ' Γυμνασίου
Μάθημα:  Μαθηματικά
Σχολικό εγχειρίδιο Μαθηματικών Ε΄ Γυμνασίου χωρισμένο σε θεωρία και ασκήσεις. Φέρει το σύμβολο της δικτατορίας.
[Σχολικό Εγχειρίδιο]
Γ. Μπούσγος, Ι. Ταμβακλής, Παν. Ηλιάδης (επιμέλεια)
Τάξη:  Γ' Γυμνασίου
Μάθημα:  Μαθηματικά
Σχολικό εγχειρίδιο Μαθηματικών Γ΄ Γυμνασίου που περιλαμβάνει θεωρία, παραδείγματα και ασκήσεις. Φέρει το σύμβολο της δικτατορίας.
[Σχολικό Εγχειρίδιο]
Γ. Μπούσγος, Ι. Ταμβακλής
Τάξη:  Γ' Γυμνασίου
Μάθημα:  Μαθηματικά
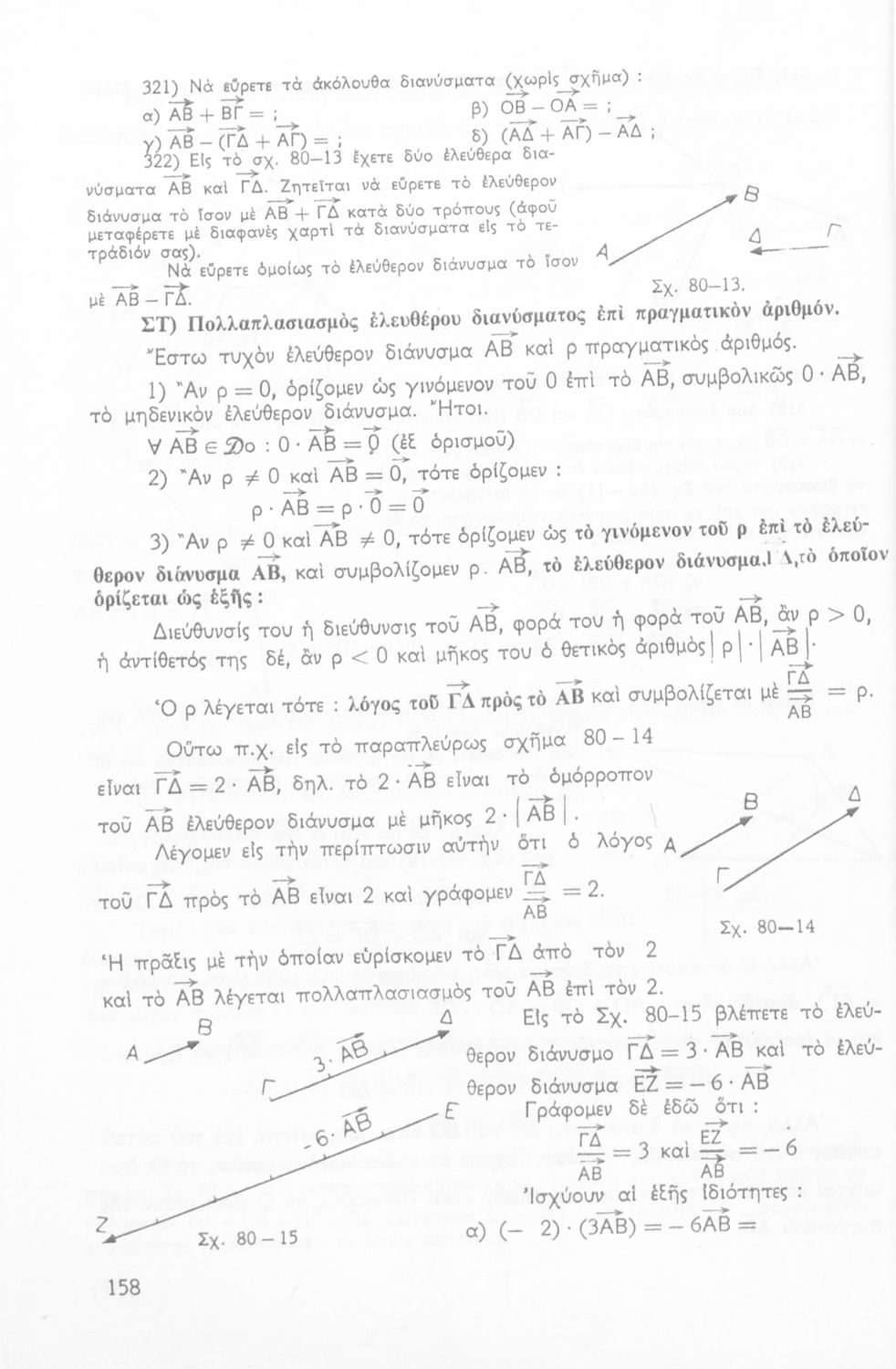
Σχολικό εγχειρίδιο Μαθηματικών Γ΄ Γυμνασίου που περιέχει θεωρία, παραδείγματα και ασκήσεις και περιλαμβάνει Άλγεβρα, Τριγωνομετρία και στοιχεία Περιγραφικής Στατιστικής.
[Σχολικό Εγχειρίδιο]
Ι. Ιωαννίδης, Ηλίας Ντζιώρας (επιμέλεια)
Τάξη:  Γ' Γυμνασίου
Μάθημα:  Μαθηματικά
Σχολικό εγχειρίδιο Μαθηματικών Γ΄ Γυμνασίου που εστιάζει στη Γεωμετρία. Φέρει το σύμβολο της δικτατορίας.
[Σχολικό Εγχειρίδιο]
Γ. Μπούσγος, Ι. Ταμβακλής, Παν. Ηλιάδης (επιμέλεια)
Τάξη:  Γ' Γυμνασίου
Μάθημα:  Μαθηματικά
Σχολικό εγχειρίδιο Μαθηματικών Γ΄ Γυμνασίου που περιλαμβάνει θεωρία, παραδείγματα και ασκήσεις. Φέρει το σύμβολο της δικτατορίας.
[Σχολικό Εγχειρίδιο]
Νικόλ. Δ. Νικολάου
Τάξη:  Α' Γυμνασίου / Β' Γυμνασίου / Γ' Γυμνασίου
Μάθημα:  Μαθηματικά
Σχολικό εγχειρίδιο Αριθμητικής για τις Α΄, Β΄, Γ΄ Γυμνασίου που είναι χωρισμένο σε ορισμούς και ασκήσεις και εστιάζει στις ιδιότητες των αριθμητικών πράξεων, τα κλάσματα και την τετραγωνική ρίζα.