QR Code
03-20557319
Ηλίας Ντζιώρας

Μαθηματικά Ε΄ Γυμνασίου (θετικής κατευθύνσεως)
[1970, 2η Έκδοση]

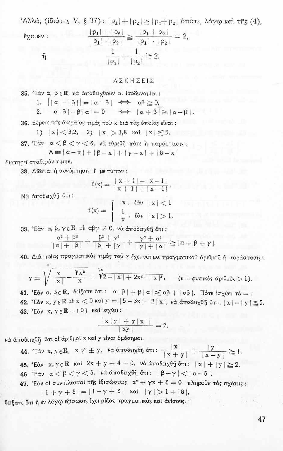
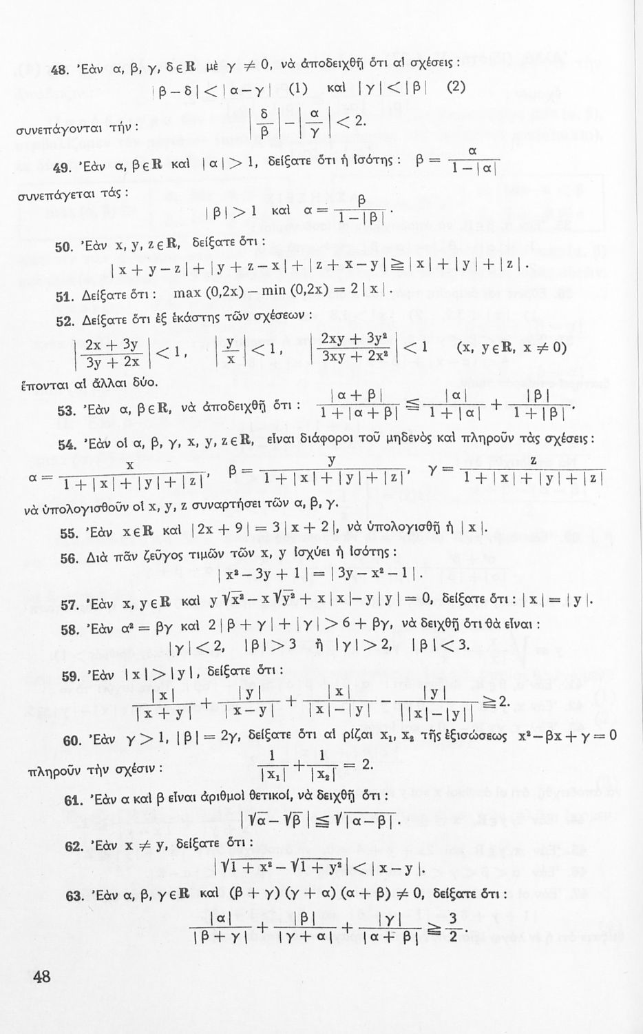
Σχολικό εγχειρίδιο Μαθηματικών Ε' Γυμνασίου που εστιάζει στη θεωρίας των συνόλων, τα ακέραια πολυώνυμα, τους πραγματικούς αριθμούς και τις πιθανότητες.


TopΠΕΔΙΟ ΑΝΑΓΝΩΡΙΣΗΣ

Κωδικός αναγνώρισης: 03-20557319

Τίτλος: Μαθηματικά Ε΄ Γυμνασίου (θετικής κατευθύνσεως)

Συγγραφέας: Ηλίας Ντζιώρας

Μέγεθος και υπόστρωμα: Σχολικό εγχειρίδιο, μαλακό εξώφυλλο, 424 σελίδες.

TopΠΕΔΙΟ ΠΕΡΙΕΧΟΜΕΝΟΥ

Βαθμίδα εκπαίδευσης: Δευτεροβάθμια

Τάξη: Ε' Γυμνασίου

Μάθημα: Μαθηματικά

Γλώσσα: Καθαρεύουσα

Παρουσίαση περιεχομένου: Σχολικό εγχειρίδιο Μαθηματικών Ε' Γυμνασίου που εστιάζει στη θεωρίας των συνόλων, τα ακέραια πολυώνυμα, τους πραγματικούς αριθμούς και τις πιθανότητες.

TopΠΕΔΙΟ ΠΛΗΡΟΦΟΡΙΩΝ ΕΚΔΟΣΗΣ

Εκδότης: Οργανισμός Εκδόσεως Διδακτικών Βιβλίων

Έτος έκδοσης: 1970

Τόπος έκδοσης: Αθήνα

Έκδοση:

Υπουργική απόφαση / Σύμβαση: 1972/30-3-1970

Έτος έγκρισης: 1970

TopΠΕΔΙΟ ΠΑΡΑΤΗΡΗΣΕΩΝ

Εντοπισμός πρωτοτύπου: Βιβλιοθήκη της Βουλής των Ελλήνων

Κωδικός βιβλιοθήκης: 20557319

TopΕΥΡΕΤΗΡΙΟ ΘΕΜΑΤΙΚΩΝ ΟΡΩΝ

Σχετιζόμενα πρόσωπα:

Σχετιζόμενοι όροι:


428 εγγραφές [41 - 60]
Σελίδα #039
Σελίδα #040
Σελίδα #041
Σελίδα #042
Σελίδα #043
Σελίδα #044
Σελίδα #045
Σελίδα #046
Σελίδα #047
Σελίδα #048
Σελίδα #049
Σελίδα #050
Σελίδα #051
Σελίδα #052
Σελίδα #053
Σελίδα #054
Σελίδα #055
Σελίδα #056
Σελίδα #057
Σελίδα #058
Σελίδα #059
Σελίδα #060
Σελίδα #061
Σελίδα #062
[Σχολικό Εγχειρίδιο]
Ιωάν. Πανάκης
Τάξη:  Ε' Γυμνασίου
Μάθημα:  Μαθηματικά
Σχολικό εγχειρίδιο Μαθηματικών για την Ε΄ Γυμνασίου, χωρισμένο σε προβλήματα, εφαρμογές και ασκήσεις, που εστιάζει στην Τριγωνομετρία. Φέρει το σύμβολο της δικτατορίας.
[Σχολικό Εγχειρίδιο]
Ηλίας Β. Ντζιώρας
Τάξη:  Ε' Γυμνασίου
Μάθημα:  Μαθηματικά
Σχολικό εγχειρίδιο Μαθηματικών Ε' Γυμνασίου που εστιάζει στη θεωρίας των συνόλων, τα ακέραια πολυώνυμα, τους πραγματικούς αριθμούς και τις πιθανότητες.
[Σχολικό Εγχειρίδιο]
Ηλίας Β. Ντζιώρας
Τάξη:  Ε' Γυμνασίου
Μάθημα:  Μαθηματικά
Σχολικό εγχειρίδιο Μαθηματικών Ε' Γυμνασίου που εστιάζει στη θεωρίας των συνόλων, τα ακέραια πολυώνυμα, τους πραγματικούς αριθμούς και τις πιθανότητες.
[Σχολικό Εγχειρίδιο]
Ηλίας Β. Ντζιώρας
Τάξη:  Ε' Γυμνασίου
Μάθημα:  Μαθηματικά
Σχολικό εγχειρίδιο Μαθηματικών Ε' Γυμνασίου που εστιάζει στη θεωρίας των συνόλων, τα ακέραια πολυώνυμα, τους πραγματικούς αριθμούς και τις πιθανότητες. Φέρει το σύμβολο της δικτατορίας.
[Μαθητικό Βοήθημα]
Ιωάννης Φ. Πανάκης
Τάξη:  Ε' Γυμνασίου
Μάθημα:  Μαθηματικά
Σχετιζόμενοι όροι:  πολύεδρα, σφαίρες, κώνοι
Μαθητικό βοήθημα Γεωμετρίας για την Ε΄ Γυμνασίου που περιέχει τις λύσεις των ασκήσεων του εγκεκριμένου βιβλίου του Ο.Ε.Δ.Β.
[Σχολικό Εγχειρίδιο]
Ιωάν. Πανάκης
Τάξη:  Ε' Γυμνασίου
Μάθημα:  Μαθηματικά
Σχολικό εγχειρίδιο Μαθηματικών για την Ε΄ Γυμνασίου χωρισμένο σε προβλήματα, εφαρμογές και ασκήσεις που εστιάζει στην Τριγωνομετρία.
[Μαθητικό Βοήθημα]
Ιωάννης Πανάκης
Τάξη:  Ε' Γυμνασίου
Μάθημα:  Μαθηματικά
Σχολικό εγχειρίδιο Τριγωνομετρίας για τους μαθητές της Ε΄ Γυμνασίου. Τριγωνομετρικοί αριθμοί, ασκήσεις τριγωνομετρίας.
[Σχολικό Εγχειρίδιο]
Ιωάννης Πανάκης
Τάξη:  Δ' Γυμνασίου / Ε' Γυμνασίου
Μάθημα:  Μαθηματικά
Σχολικό εγχειρίδιο Μαθηματικών Δ΄ και Ε΄ Γυμνασίου που είναι χωρισμένο σε θεωρήματα και ασκήσεις και εστιάζει στη Γεωμετρία. Φέρει το σύμβολο της δικτατορίας.
[Σχολικό Εγχειρίδιο]
Ηλίας Ντζιώρας
Τάξη:  Ε' Γυμνασίου
Μάθημα:  Μαθηματικά
Σχολικό εγχειρίδιο Μαθηματικών Ε' Γυμνασίου που εστιάζει στη θεωρίας των συνόλων, τα ακέραια πολυώνυμα, τους πραγματικούς αριθμούς και τις πιθανότητες.
[Σχολικό Εγχειρίδιο]
Θ. Βαβαλέτσκος, Γ. Μπούσγος
Τάξη:  Δ' Γυμνασίου
Μάθημα:  Μαθηματικά
Σχετιζόμενοι όροι:  εξισώσεις, συναρτήσεις, ανισώσεις
Σχολικό εγχειρίδιο Μαθηματικών Δ΄ Γυμνασίου χωρισμένο σε ορισμούς, παραδείγματα και ασκήσεις. Περιέχει στοιχεία Περιγραφικής Στατιστικής και Τριγωνομετρίας. Φέρει το σύμβολο της δικτατορίας.