QR Code
03-20557331
Βασίλειος Στάϊκος

Μαθηματικά ΣΤ΄ Γυμνασίου (θετικής κατευθύνσεως) Τόμος Πρώτος
[1971, 3η Έκδοση]

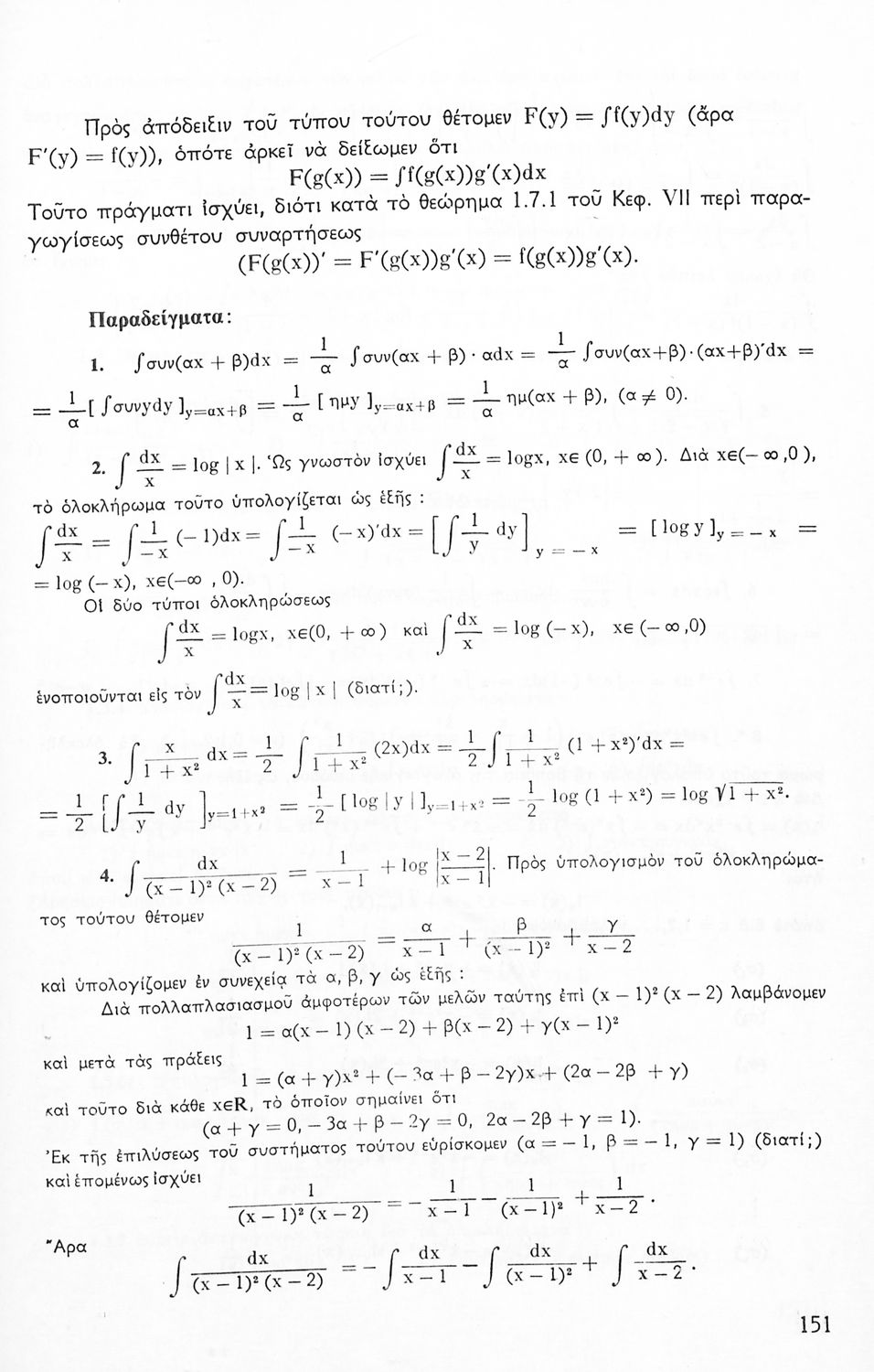
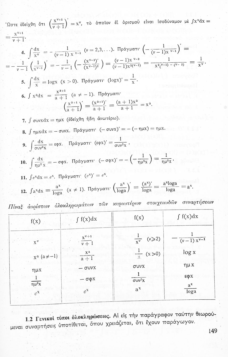
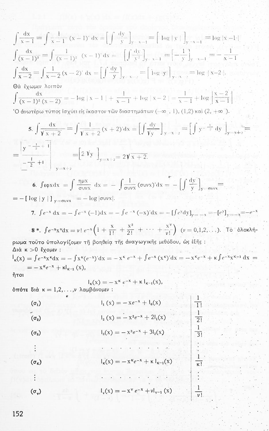
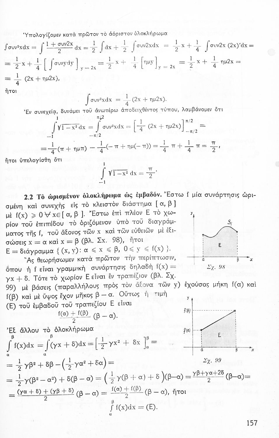
Το σύγγραμμα ήταν σχολικό εγχειρίδιο για το μάθημα των Μαθηματικών στο Γυμνάσιο. Περιέχει βασικές γνώσεις 'Άλγεβρας, σύνολα, συναρτήσεις, ολοκληρώματα, λογάριθμους, παραγώγους συναρτήσεων. Εκτός από τη θεωρία το βιβλίο περιέχει και ασκήσεις.


TopΠΕΔΙΟ ΑΝΑΓΝΩΡΙΣΗΣ

Κωδικός αναγνώρισης: 03-20557331

Τίτλος: Μαθηματικά ΣΤ΄ Γυμνασίου (θετικής κατευθύνσεως) Τόμος Πρώτος

Συγγραφέας: Βασίλειος Στάϊκος

Μέγεθος και υπόστρωμα: Σχολικό εγχειρίδιο, μαλακό εξώφυλλο, 168 σελίδες. Σχήματα (ασπρόμαυρα).

TopΠΕΔΙΟ ΠΕΡΙΕΧΟΜΕΝΟΥ

Βαθμίδα εκπαίδευσης: Δευτεροβάθμια

Τάξη: ΣΤ' Γυμνασίου

Μάθημα: Μαθηματικά

Γλώσσα: Απλή καθαρεύουσα

Παρουσίαση περιεχομένου: Το σύγγραμμα ήταν σχολικό εγχειρίδιο για το μάθημα των Μαθηματικών στο Γυμνάσιο. Περιέχει βασικές γνώσεις 'Άλγεβρας, σύνολα, συναρτήσεις, ολοκληρώματα, λογάριθμους, παραγώγους συναρτήσεων. Εκτός από τη θεωρία το βιβλίο περιέχει και ασκήσεις.

TopΠΕΔΙΟ ΠΛΗΡΟΦΟΡΙΩΝ ΕΚΔΟΣΗΣ

Εκδότης: Οργανισμός Εκδόσεως Διδακτικών Βιβλίων

Έτος έκδοσης: 1971

Τόπος έκδοσης: Αθήνα

Έκδοση:

Υπουργική απόφαση / Σύμβαση: 2135/ 15-4-1971

Έτος έγκρισης: 1971

TopΠΕΔΙΟ ΠΑΡΑΤΗΡΗΣΕΩΝ

Εντοπισμός πρωτοτύπου: Βιβλιοθήκη της Βουλής των Ελλήνων

Κωδικός βιβλιοθήκης: 20557331

TopΕΥΡΕΤΗΡΙΟ ΘΕΜΑΤΙΚΩΝ ΟΡΩΝ

Σχετιζόμενα πρόσωπα:

Σχετιζόμενοι όροι:


172 εγγραφές [141 - 160]
Σελίδα #139
Σελίδα #140
Σελίδα #141
Σελίδα #142
Σελίδα #143
Σελίδα #144
Σελίδα #145
Σελίδα #146
Σελίδα #147
Σελίδα #148
Σελίδα #149
Σελίδα #150
Σελίδα #151
Σελίδα #152
Σελίδα #153
Σελίδα #154
Σελίδα #155
Σελίδα #156
Σελίδα #157
Σελίδα #158
Σελίδα #159
Σελίδα #160
Σελίδα #161
Σελίδα #162
[Σχολικό Εγχειρίδιο]
Βασίλειος Στάϊκος
Τάξη:  ΣΤ' Γυμνασίου
Μάθημα:  Μαθηματικά
Το σύγγραμμα ήταν σχολικό εγχειρίδιο για το μάθημα των Μαθηματικών στο Γυμνάσιο. Περιέχει βασικές γνώσεις 'Άλγεβρας, σύνολα, συναρτήσεις, ολοκληρώματα, λογάριθμους, παραγώγους συναρτήσεων. Εκτός από τη θεωρία ...
[Σχολικό Εγχειρίδιο]
Βασίλειος Στάϊκος
Τάξη:  ΣΤ' Γυμνασίου
Μάθημα:  Μαθηματικά
Το σύγγραμμα ήταν σχολικό εγχειρίδιο για το μάθημα των Μαθηματικών στο Γυμνάσιο. Περιέχει βασικές γνώσεις Άλγεβρας, σύνολα, συναρτήσεις, ολοκληρώματα, λογάριθμους, παραγώγους συναρτήσεων. Εκτός από τη θεωρία ...
[Σχολικό Εγχειρίδιο]
Βασίλειος Στάικος
Τάξη:  ΣΤ' Γυμνασίου
Μάθημα:  Μαθηματικά
Σχετιζόμενοι όροι:  σύνολα, συναρτήσεις, ολοκληρώματα
Σχολικό εγχειρίδιο Μαθηματικών Γυμνασίου που είναι χωρισμένο σε θεωρήματα, παραδείγματα και ασκήσεις και περιλαμβάνει στοιχεία Ανώτερης Άλγεβρας και Μαθηματικής Ανάλυσης.
[Σχολικό Εγχειρίδιο]
Β. Στάικος
Τάξη:  ΣΤ' Γυμνασίου
Μάθημα:  Μαθηματικά
Σχετιζόμενοι όροι:  σύνολα, συναρτήσεις, ολοκληρώματα
Σχολικό εγχειρίδιο Μαθηματικών ΣΤ΄ Γυμνασίου που είναι χωρισμένο σε θεωρήματα, παραδείγματα και ασκήσεις και περιλαμβάνει στοιχεία Ανώτερης Άλγεβρας και Μαθηματικής Ανάλυσης.
[Σχολικό Εγχειρίδιο]
Θ. Βαβαλέτσκος, Γ. Μπούσγος
Τάξη:  Δ' Γυμνασίου
Μάθημα:  Μαθηματικά
Σχολικό εγχειρίδιο για την Δ΄ Γυμνασίου για το μάθημα των Μαθηματικών. Το εγχειρίδιο περιλαμβάνει στοιχεία λογικής, τα σύνολα των αριθμών, την ανάλυση των πολυωνύμων στο γινόμενο των παραγόντων, τα στοιχεία ...
[Σχολικό Εγχειρίδιο]
Θ. Βαβαλέτσκος, Γ. Μπούσγος
Τάξη:  Δ' Γυμνασίου
Μάθημα:  Μαθηματικά
Σχολικό εγχειρίδιο Δ΄ Γυμνασίου για το μάθημα των Μαθηματικών. Αναφέρεται στην θεωρία της Άλγεβρας, ρίζες, συναρτήσεις, παραστάσεις, διανύσματα κ.α.
[Σχολικό Εγχειρίδιο]
Θ. Βαβαλέτσκος, Γ. Μπούσγος
Τάξη:  Δ' Γυμνασίου
Μάθημα:  Μαθηματικά
Σχετιζόμενοι όροι:  εξισώσεις, συναρτήσεις, ανισώσεις
Σχολικό εγχειρίδιο Μαθηματικών Δ΄ Γυμνασίου χωρισμένο σε ορισμούς, παραδείγματα και ασκήσεις. Περιέχει στοιχεία Περιγραφικής Στατιστικής και Τριγωνομετρίας. Φέρει το σύμβολο της δικτατορίας.
[Σχολικό Εγχειρίδιο]
Ιωάν. Πανάκης
Τάξη:  Ε' Γυμνασίου
Μάθημα:  Μαθηματικά
Σχολικό εγχειρίδιο Μαθηματικών για την Ε΄ Γυμνασίου, χωρισμένο σε προβλήματα, εφαρμογές και ασκήσεις, που εστιάζει στην Τριγωνομετρία. Φέρει το σύμβολο της δικτατορίας.
[Σχολικό Εγχειρίδιο]
Ηλίας Β. Ντζιώρας
Τάξη:  Ε' Γυμνασίου
Μάθημα:  Μαθηματικά
Σχολικό εγχειρίδιο Μαθηματικών Ε' Γυμνασίου που εστιάζει στη θεωρίας των συνόλων, τα ακέραια πολυώνυμα, τους πραγματικούς αριθμούς και τις πιθανότητες.
[Σχολικό Εγχειρίδιο]
Ηλίας Β. Ντζιώρας
Τάξη:  Ε' Γυμνασίου
Μάθημα:  Μαθηματικά
Σχολικό εγχειρίδιο Μαθηματικών Ε' Γυμνασίου που εστιάζει στη θεωρίας των συνόλων, τα ακέραια πολυώνυμα, τους πραγματικούς αριθμούς και τις πιθανότητες.