QR Code
03-20557335
Ε. Παπατριανταφύλλου

Μαθηματικά ΣΤ΄ Γυμνασίου (θετικής κατευθύνσεως) Τριγωνομετρία
[1974, 5η Έκδοση]

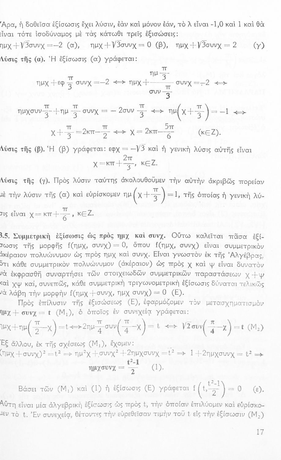
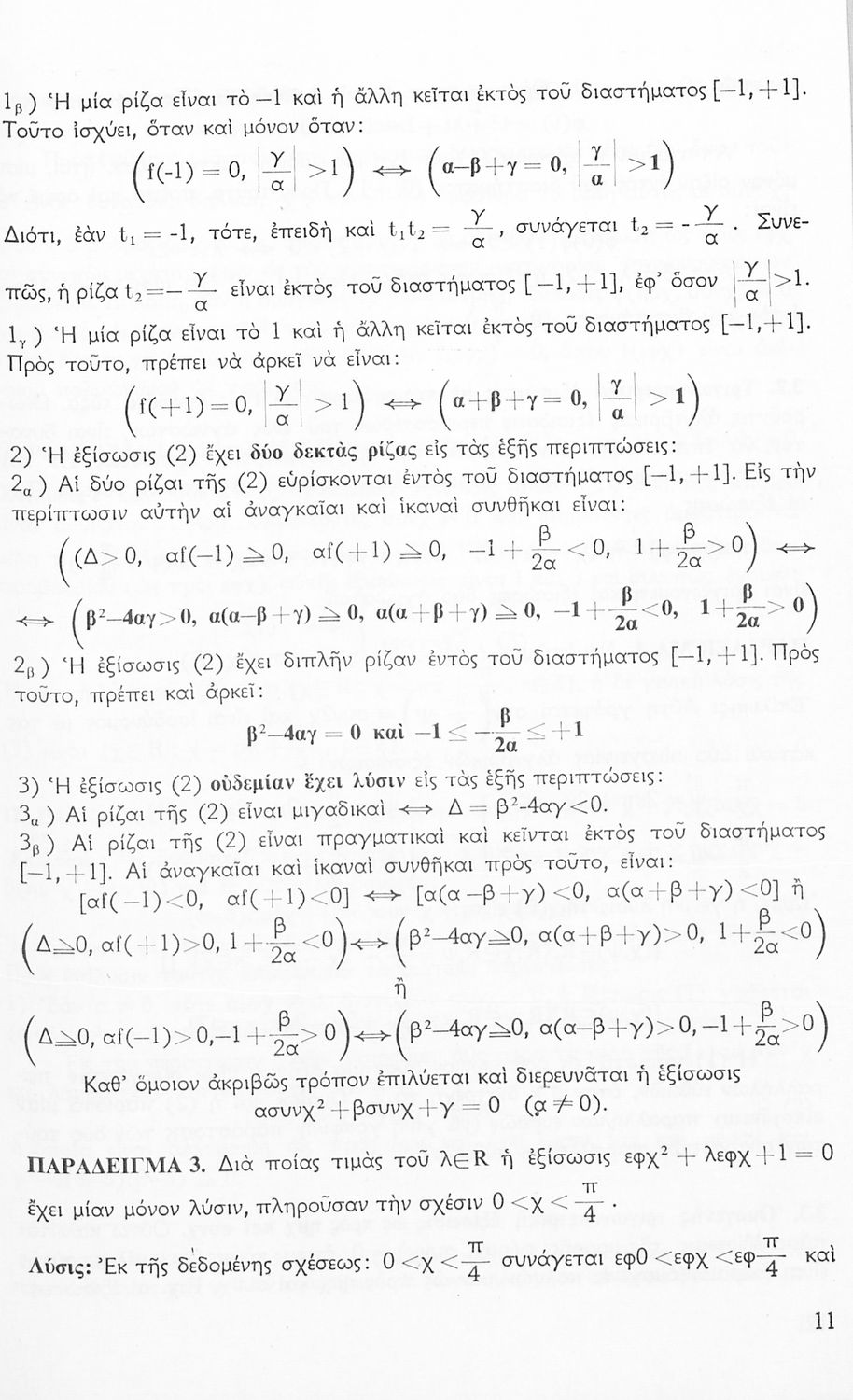
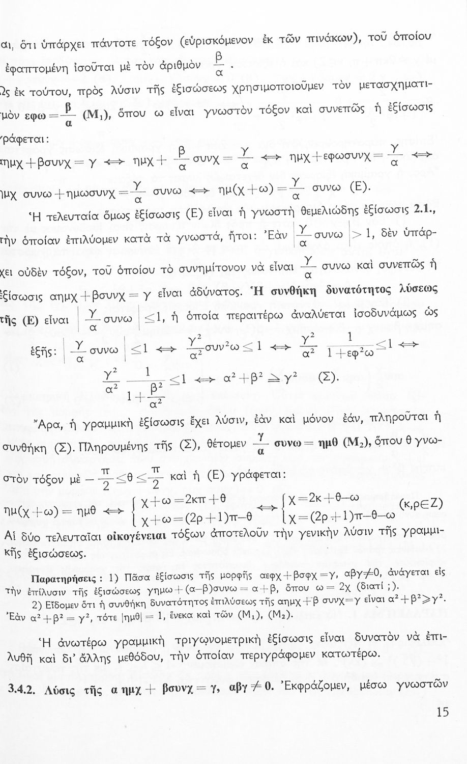
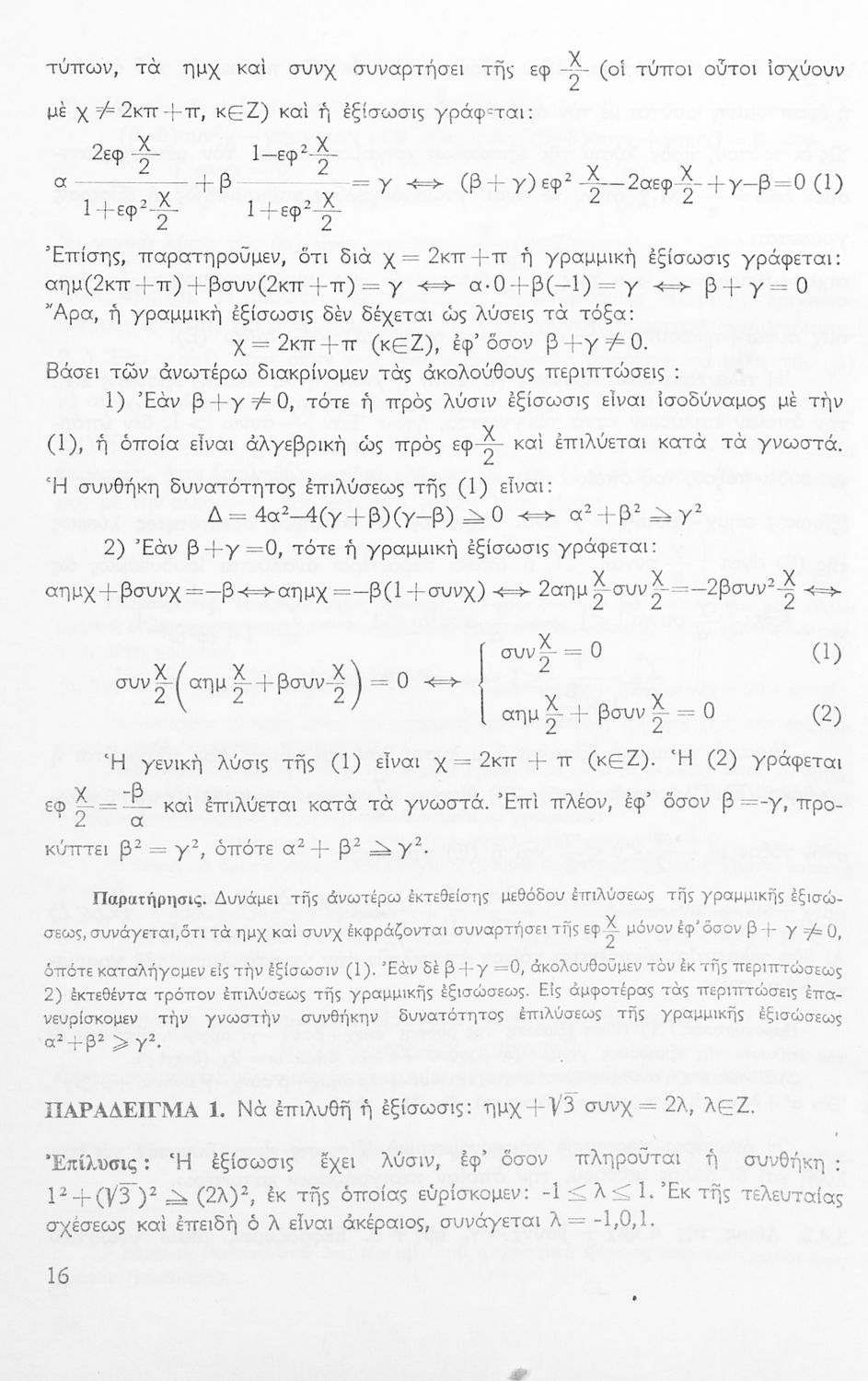
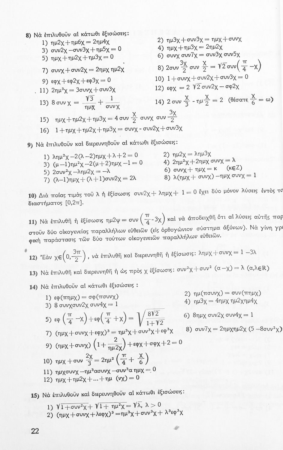
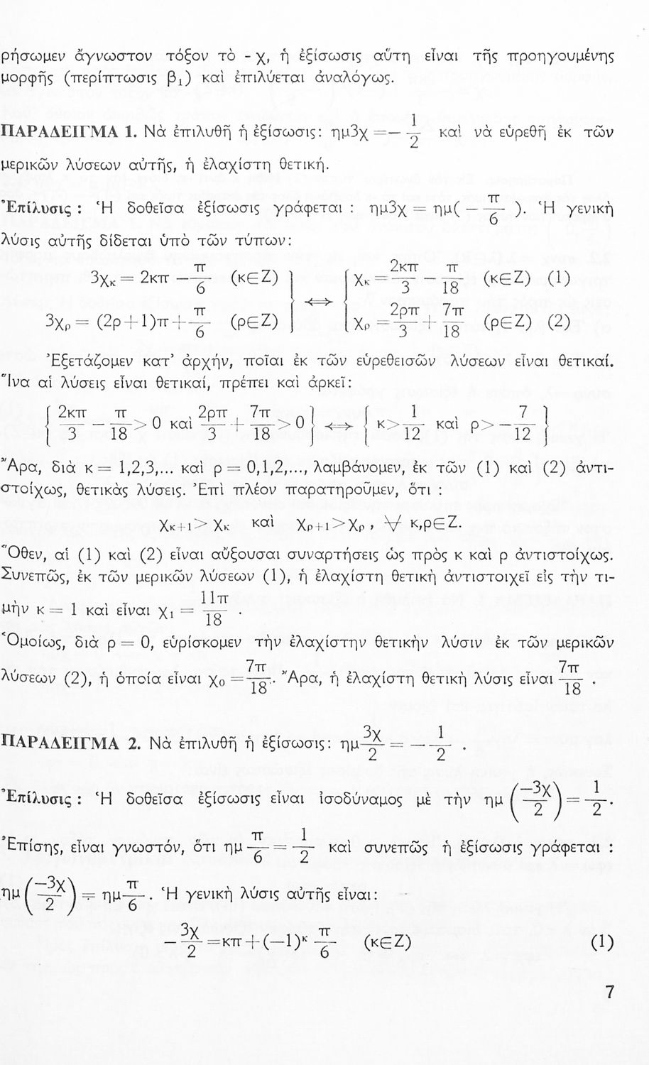
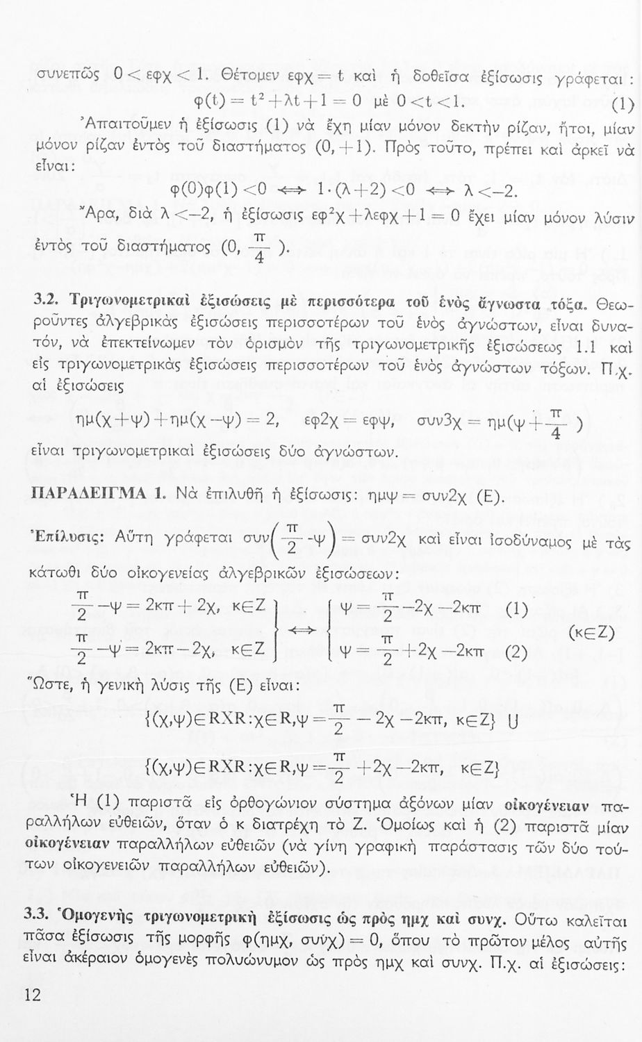
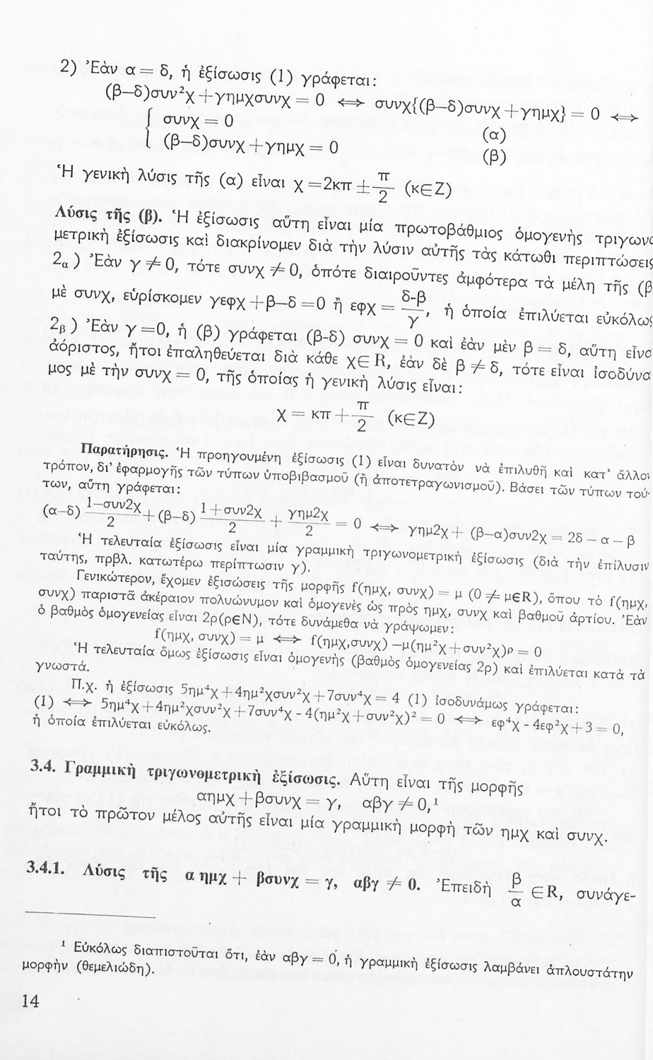
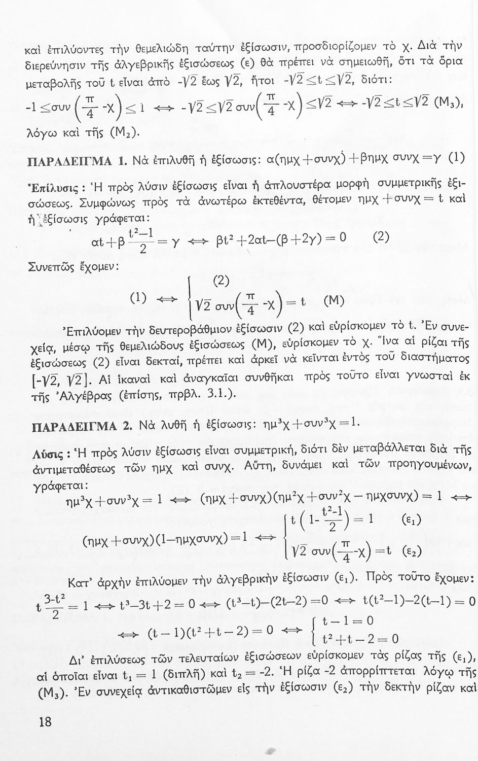
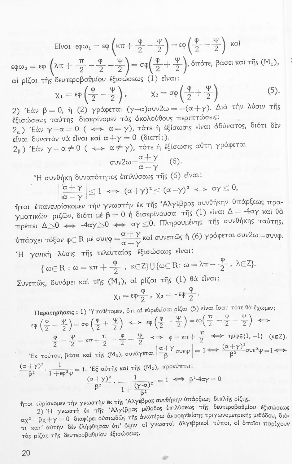
Το σύγγραμμα ήταν σχολικό εγχειρίδιο για το μάθημα των Μαθηματικών στο Γυμνάσιο. Περιέχει βασικές γνώσεις Τριγωνομετρίας. Αναφέρεται στις τριγωνομετρικές εξισώσεις, τα τριγωνομετρικά συστήματα, την απαλοιφή, την επίλυση τριγώνου και τετράπλευρου. Εκτός από τη θεωρία το βιβλίο περιέχει και ασκήσεις.


TopΠΕΔΙΟ ΑΝΑΓΝΩΡΙΣΗΣ

Κωδικός αναγνώρισης: 03-20557335

Τίτλος: Μαθηματικά ΣΤ΄ Γυμνασίου (θετικής κατευθύνσεως) Τριγωνομετρία

Συγγραφέας: Ε. Παπατριανταφύλλου

Μέγεθος και υπόστρωμα: Σχολικό εγχειρίδιο, μαλακό εξώφυλλο, 104 σελίδες. Σχήματα (ασπρόμαυρα).

TopΠΕΔΙΟ ΠΕΡΙΕΧΟΜΕΝΟΥ

Βαθμίδα εκπαίδευσης: Δευτεροβάθμια

Τάξη: ΣΤ' Γυμνασίου

Μάθημα: Μαθηματικά

Γλώσσα: Απλή καθαρεύουσα

Παρουσίαση περιεχομένου: Το σύγγραμμα ήταν σχολικό εγχειρίδιο για το μάθημα των Μαθηματικών στο Γυμνάσιο. Περιέχει βασικές γνώσεις Τριγωνομετρίας. Αναφέρεται στις τριγωνομετρικές εξισώσεις, τα τριγωνομετρικά συστήματα, την απαλοιφή, την επίλυση τριγώνου και τετράπλευρου. Εκτός από τη θεωρία το βιβλίο περιέχει και ασκήσεις.

TopΠΕΔΙΟ ΠΛΗΡΟΦΟΡΙΩΝ ΕΚΔΟΣΗΣ

Εκδότης: Οργανισμός Εκδόσεως Διδακτικών Βιβλίων

Έτος έκδοσης: 1974

Τόπος έκδοσης: Αθήνα

Έκδοση:

Υπουργική απόφαση / Σύμβαση: 2402/18-3-1974

Έτος έγκρισης: 1974

TopΠΕΔΙΟ ΠΑΡΑΤΗΡΗΣΕΩΝ

Εντοπισμός πρωτοτύπου: Βιβλιοθήκη της Βουλής των Ελλήνων

Κωδικός βιβλιοθήκης: 20557335

TopΕΥΡΕΤΗΡΙΟ ΘΕΜΑΤΙΚΩΝ ΟΡΩΝ

Σχετιζόμενα πρόσωπα:

Σχετιζόμενοι όροι:


106 εγγραφές [1 - 20]
Σελίδα #001
Σελίδα #002
Σελίδα #003
Σελίδα #004
Σελίδα #005
Σελίδα #006
Σελίδα #007
Σελίδα #008
Σελίδα #009
Σελίδα #010
Σελίδα #011
Σελίδα #012
Σελίδα #013
Σελίδα #014
Σελίδα #015
Σελίδα #016
Σελίδα #017
Σελίδα #018
Σελίδα #019
Σελίδα #020
Σελίδα #021
Σελίδα #022
Σελίδα #023
Σελίδα #024
[Σχολικό Εγχειρίδιο]
Θ. Βαβαλέτσκος, Γ. Μπούσγος
Τάξη:  Δ' Γυμνασίου
Μάθημα:  Μαθηματικά
Σχετιζόμενοι όροι:  εξισώσεις, συναρτήσεις, ανισώσεις
Σχολικό εγχειρίδιο Μαθηματικών Δ΄ Γυμνασίου χωρισμένο σε ορισμούς, παραδείγματα και ασκήσεις. Περιέχει στοιχεία Περιγραφικής Στατιστικής και Τριγωνομετρίας. Φέρει το σύμβολο της δικτατορίας.
[Σχολικό Εγχειρίδιο]
Βασίλειος Στάικος
Τάξη:  ΣΤ' Γυμνασίου
Μάθημα:  Μαθηματικά
Σχετιζόμενοι όροι:  σύνολα, συναρτήσεις, ολοκληρώματα
Σχολικό εγχειρίδιο Μαθηματικών Γυμνασίου που είναι χωρισμένο σε θεωρήματα, παραδείγματα και ασκήσεις και περιλαμβάνει στοιχεία Ανώτερης Άλγεβρας και Μαθηματικής Ανάλυσης.
[Σχολικό Εγχειρίδιο]
Ιωάν. Πανάκης
Τάξη:  Ε' Γυμνασίου
Μάθημα:  Μαθηματικά
Σχολικό εγχειρίδιο Μαθηματικών για την Ε΄ Γυμνασίου, χωρισμένο σε προβλήματα, εφαρμογές και ασκήσεις, που εστιάζει στην Τριγωνομετρία. Φέρει το σύμβολο της δικτατορίας.
[Σχολικό Εγχειρίδιο]
Θ. Βαβαλέτσκος, Γ. Μπούσγος
Τάξη:  Δ' Γυμνασίου
Μάθημα:  Μαθηματικά
Σχετιζόμενοι όροι:  εξισώσεις, συναρτήσεις, ανισώσεις
Σχολικό εγχειρίδιο Μαθηματικών Δ΄ Γυμνασίου χωρισμένο σε ορισμούς, παραδείγματα και ασκήσεις. Περιέχει στοιχεία Περιγραφικής Στατιστικής και Τριγωνομετρίας.
[Σχολικό Εγχειρίδιο]
Β. Στάικος
Τάξη:  ΣΤ' Γυμνασίου
Μάθημα:  Μαθηματικά
Σχετιζόμενοι όροι:  σύνολα, συναρτήσεις, ολοκληρώματα
Σχολικό εγχειρίδιο Μαθηματικών ΣΤ΄ Γυμνασίου που είναι χωρισμένο σε θεωρήματα, παραδείγματα και ασκήσεις και περιλαμβάνει στοιχεία Ανώτερης Άλγεβρας και Μαθηματικής Ανάλυσης.
[Σχολικό Εγχειρίδιο]
Θ. Βαβαλέτσκος, Γ. Μπούσγος
Τάξη:  Δ' Γυμνασίου
Μάθημα:  Μαθηματικά
Σχετιζόμενοι όροι:  εξισώσεις, συναρτήσεις, ανισώσεις
Σχολικό εγχειρίδιο Μαθηματικών Δ΄ Γυμνασίου χωρισμένο σε ορισμούς, παραδείγματα και ασκήσεις. Περιέχει στοιχεία Περιγραφικής Στατιστικής και Τριγωνομετρίας. Φέρει το σύμβολο της δικτατορίας.
[Σχολικό Εγχειρίδιο]
Ιωάν. Πανάκης
Τάξη:  Ε' Γυμνασίου
Μάθημα:  Μαθηματικά
Σχολικό εγχειρίδιο Μαθηματικών για την Ε΄ Γυμνασίου χωρισμένο σε προβλήματα, εφαρμογές και ασκήσεις που εστιάζει στην Τριγωνομετρία.
[Μαθητικό Βοήθημα]
Ιωάννης Πανάκης
Τάξη:  Ε' Γυμνασίου
Μάθημα:  Μαθηματικά
Σχολικό εγχειρίδιο Τριγωνομετρίας για τους μαθητές της Ε΄ Γυμνασίου. Τριγωνομετρικοί αριθμοί, ασκήσεις τριγωνομετρίας.
[Σχολικό Εγχειρίδιο]
Βασίλειος Στάϊκος
Τάξη:  ΣΤ' Γυμνασίου
Μάθημα:  Μαθηματικά
Το σύγγραμμα ήταν σχολικό εγχειρίδιο για το μάθημα των Μαθηματικών στο Γυμνάσιο. Περιέχει βασικές γνώσεις 'Άλγεβρας, σύνολα, συναρτήσεις, ολοκληρώματα, λογάριθμους, παραγώγους συναρτήσεων. Εκτός από τη θεωρία ...
[Σχολικό Εγχειρίδιο]
Βασίλειος Στάϊκος
Τάξη:  ΣΤ' Γυμνασίου
Μάθημα:  Μαθηματικά
Το σύγγραμμα ήταν σχολικό εγχειρίδιο για το μάθημα των Μαθηματικών στο Γυμνάσιο. Περιέχει βασικές γνώσεις Άλγεβρας, σύνολα, συναρτήσεις, ολοκληρώματα, λογάριθμους, παραγώγους συναρτήσεων. Εκτός από τη θεωρία ...