QR Code
03-20557358
Ν. Βαρουχάκης, Λ. Αδαμόπουλος, Ν. Αλεξανδρής, Δ.Α. Παπακωνσταντίνου, Α. Παπαμικρούλης

Μαθηματικά A' Λυκείου, άλγεβρα
[1981, 3η Έκδοση]

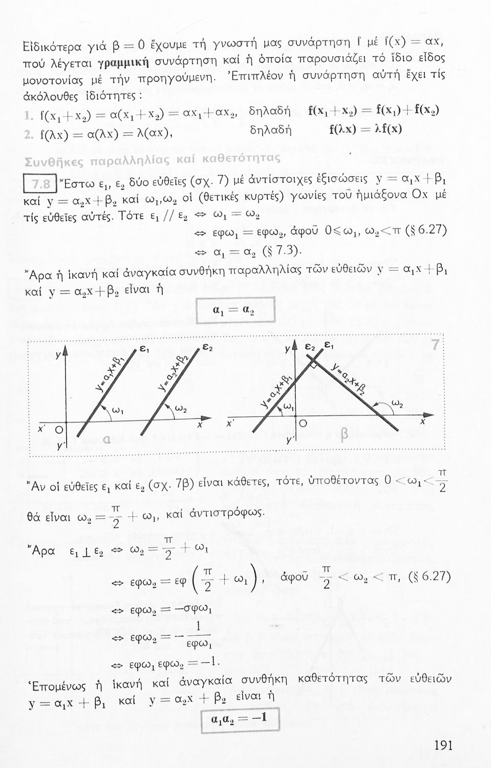
Σχολικό εγχειρίδιο Άλγεβρας Α΄ Λυκείου που είναι χωρισμένο σε αξιώματα, πορίσματα, παραδείγματα και ασκήσεις και εστιάζει στις συναρτήσεις, τις εξισώσεις και τις αριθμητικές πράξεις.. Περιέχει παράρτημα με τις λύσεις των ασκήσεων.


TopΠΕΔΙΟ ΑΝΑΓΝΩΡΙΣΗΣ

Κωδικός αναγνώρισης: 03-20557358

Τίτλος: Μαθηματικά A' Λυκείου, άλγεβρα

Συγγραφέας: Ν. Βαρουχάκης, Λ. Αδαμόπουλος, Ν. Αλεξανδρής, Δ.Α. Παπακωνσταντίνου, Α. Παπαμικρούλης

Μέγεθος και υπόστρωμα: Σχολικό εγχειρίδιο, μαλακό εξώφυλλο, 318 σελίδες.

TopΠΕΔΙΟ ΠΕΡΙΕΧΟΜΕΝΟΥ

Βαθμίδα εκπαίδευσης: Δευτεροβάθμια

Τάξη: Α' Λυκείου

Μάθημα: Μαθηματικά

Γλώσσα: Δημοτική

Παρουσίαση περιεχομένου: Σχολικό εγχειρίδιο Άλγεβρας Α΄ Λυκείου που είναι χωρισμένο σε αξιώματα, πορίσματα, παραδείγματα και ασκήσεις και εστιάζει στις συναρτήσεις, τις εξισώσεις και τις αριθμητικές πράξεις.. Περιέχει παράρτημα με τις λύσεις των ασκήσεων.

TopΠΕΔΙΟ ΠΛΗΡΟΦΟΡΙΩΝ ΕΚΔΟΣΗΣ

Εκδότης: Οργανισμός Εκδόσεως Διδακτικών Βιβλίων

Έτος έκδοσης: 1981

Τόπος έκδοσης: Αθήνα

Έκδοση:

Υπουργική απόφαση / Σύμβαση: 3501/13-11-1980

Έτος έγκρισης: 1981

TopΠΕΔΙΟ ΠΑΡΑΤΗΡΗΣΕΩΝ

Εντοπισμός πρωτοτύπου: Βιβλιοθήκη της Βουλής των Ελλήνων

Κωδικός βιβλιοθήκης: 20557358

TopΕΥΡΕΤΗΡΙΟ ΘΕΜΑΤΙΚΩΝ ΟΡΩΝ

Σχετιζόμενα πρόσωπα:

Σχετιζόμενοι όροι:


322 εγγραφές [181 - 200]
Σελίδα #179
Σελίδα #180
Σελίδα #181
Σελίδα #182
Σελίδα #183
Σελίδα #184
Σελίδα #185
Σελίδα #186
Σελίδα #187
Σελίδα #188
Σελίδα #189
Σελίδα #190
Σελίδα #191
Σελίδα #192
Σελίδα #193
Σελίδα #194
Σελίδα #195
Σελίδα #196
Σελίδα #197
Σελίδα #198
Σελίδα #199
Σελίδα #200
Σελίδα #201
Σελίδα #202
[Σχολικό Εγχειρίδιο]
Στ. Κατσαρλίνος, Ματθ. Μπαϊμπάς
Τάξη:  Α' Γυμνασίου
Μάθημα:  Μαθηματικά
Σχολικό εγχειρίδιο Μαθηματικών Α' Γυμνασίου που περιέχει άλγεβρα με έμφαση στις αριθμητικές πράξεις με ακέραιους, δεκαδικούς και κλάσματα, και γεωμετρία με έμφαση στην επιπεδομετρία. Περιέχει και εισαγωγή στη ...
[Σχολικό Εγχειρίδιο]
Ν. Βαρουχάκης, Λ. Αδαμόπουλος, Ν. Αλεξανδρής, Δ. Α. Παπακωνσταντίνου, Α. Παπαμικρούλης
Τάξη:  Α' Λυκείου
Μάθημα:  Μαθηματικά
Σχολικό εγχειρίδιο Άλγεβρας Α΄ Λυκείου που είναι χωρισμένο σε αξιώματα, πορίσματα, παραδείγματα και ασκήσεις και εστιάζει στις συναρτήσεις και τις εξισώσεις. Περιέχει παράρτημα με τις λύσεις των ασκήσεων.
[Σχολικό Εγχειρίδιο]
Θ. Βαβαλέτσκος, Γ. Μπούσγος
Τάξη:  Α' Λυκείου
Μάθημα:  Μαθηματικά
Σχετιζόμενοι όροι:  σύνολα, εξισώσεις, ανισώσεις, ρίζες,
Σχολικό εγχειρίδιο Μαθηματικών Α΄ Λυκείου χωρισμένο σε ορισμούς, παραδείγματα και ασκήσεις που εστιάζει στην Άλγεβρα. Περιέχει στοιχεία Περιγραφικής Στατιστικής και Τριγωνομετρίας.
[Σχολικό Εγχειρίδιο]
Δημήτριος Κ. Παπαμιχαήλ, Α. Σκιαδάς
Τάξη:  Α' Λυκείου
Μάθημα:  Μαθηματικά
Σχολικό εγχειρίδιο Γεωμετρίας Α΄ Λυκείου χωρισμένο σε θεωρήματα, λυμένες ασκήσεις, ασκήσεις και επαναλήψεις κεφαλαίου. Περιέχει ένα παράρτημα με επαναληπτικά μαθήματα και ένα με ευρετήριο όρων.
[Σχολικό Εγχειρίδιο]
Δ. Παπαμιχαήλ, Α. Σκιαδάς
Τάξη:  Α' Λυκείου
Μάθημα:  Μαθηματικά
Σχολικό εγχειρίδιο Γεωμετρίας Α΄ Λυκείου χωρισμένο σε θεωρήματα, λυμένες ασκήσεις, ασκήσεις και επαναλήψεις κεφαλαίου. Περιέχει ένα παράρτημα με επαναληπτικά μαθήματα και ένα με ευρετήριο όρων.
[Σχολικό Εγχειρίδιο]
Κ. Ιορδανίδης, Δ. Λ. Καραγεώργος, Κ. Κωστάκης, Α. Μακρίδης, Β. Νασόπουλος
Τάξη:  Β' Λυκείου
Μάθημα:  Μαθηματικά
Σχολικό εγχειρίδιο Μαθηματικών Β΄ Λυκείου που περιλαμβάνει Άλγεβρα και Τριγωνομετρία και είναι χωρισμένο σε θεωρήματα, παρατηρήσεις, παραδείγματα και ασκήσεις.
[Σχολικό Εγχειρίδιο]
Α. Πατεράκης, Γ. Σταυρουλάκης, Ε. Φωτόπουλος
Τάξη:  Α' Γυμνασίου
Μάθημα:  Μαθηματικά
Σχολικό εγχειρίδιο Μαθηματικών Α΄ Γυμνασίου που συνδυάζει Γεωμετρία και Άλγεβρα.
[Μαθητικό Βοήθημα]
Δ. Παπαμιχαήλ, Α. Σκιαδάς
Τάξη:  Α' Λυκείου
Μάθημα:  Μαθηματικά
Μαθητικό βοήθημα Γεωμετρίας Α΄ Λυκείου που περιλαμβάνει θέματα θεωρίας, ερωτήσεις και λύσεις ασκήσεων.
[Σχολικό Εγχειρίδιο]
Θ. Βαβαλέτσκος, Γ. Μπούσγος
Τάξη:  Α' Λυκείου
Μάθημα:  Μαθηματικά
Σχετιζόμενοι όροι:  σύνολα, εξισώσεις, ανισώσεις, ρίζες,
Σχολικό εγχειρίδιο Μαθηματικών Α΄ Λυκείου χωρισμένο σε ορισμούς, παραδείγματα και ασκήσεις που εστιάζει στην Άλγεβρα. Περιέχει στοιχεία Περιγραφικής Στατιστικής και Τριγωνομετρίας.
[Σχολικό Εγχειρίδιο]
Στ. Κατσαρλίνος, Ματθ. Μπαϊμπάς
Τάξη:  Α' Γυμνασίου
Μάθημα:  Μαθηματικά
Σχολικό εγχειρίδιο Μαθηματικών Α' Γυμνασίου που περιέχει άλγεβρα με έμφαση στις αριθμητικές πράξεις με ακέραιους, δεκαδικούς και κλάσματα, και γεωμετρία με έμφαση στην επιπεδομετρία. Περιέχει και εισαγωγή στη ...