QR Code
03-20557507
Νικόλαος Νικολάου

Τριγωνομετρία δια την Η' τάξιν των Γυμνασίων
[1963, 7η Έκδοση]

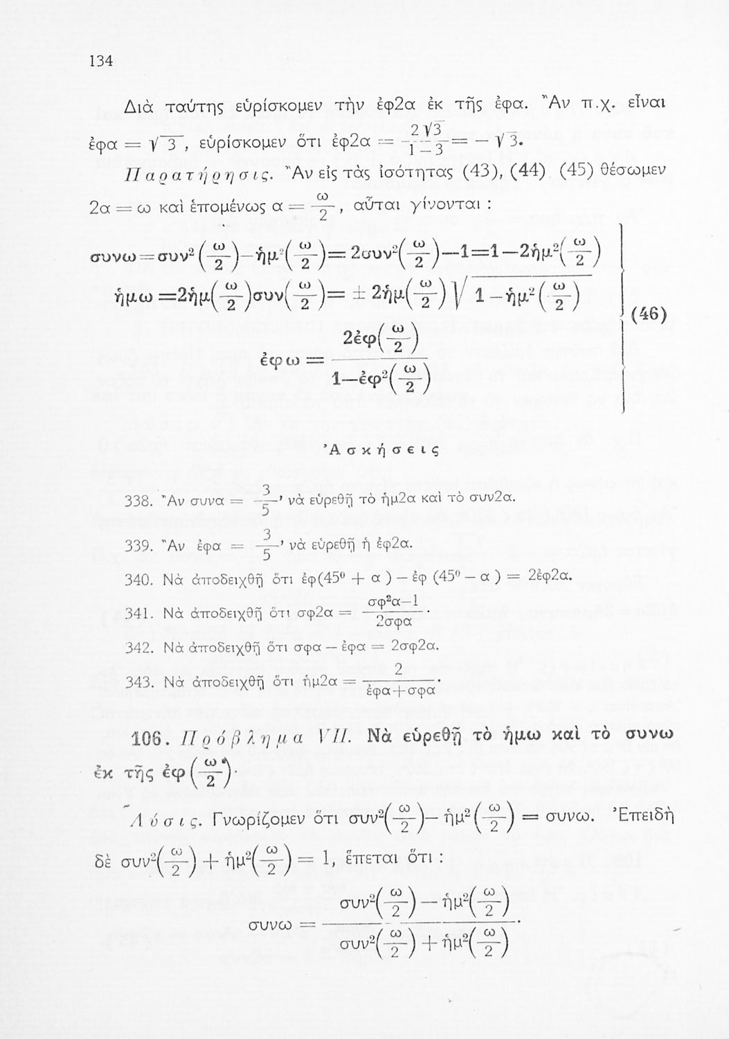
Σχολικό εγχειρίδιο Τριγωνομετρίας της Η' Γυμνασίου. Το βιβλίο περιέχει ασκήσεις τριγωνομετρίας. Εισάγει τους μαθητές στα διαφορετικά είδη τριγώνων, τις ιδιότητες και τα χαρακτηριστικά τους καθώς και στον τρόπο υπολογισμού διαφόρων στοιχείων τους όπως το εμβαδόν και η περιφέρεια.


TopΠΕΔΙΟ ΑΝΑΓΝΩΡΙΣΗΣ

Κωδικός αναγνώρισης: 03-20557507

Τίτλος: Τριγωνομετρία δια την Η' τάξιν των Γυμνασίων

Συγγραφέας: Νικόλαος Νικολάου

Μέγεθος και υπόστρωμα: Σχολικό εγχειρίδιο, σκληρό εξώφυλλο, 194 σελίδες.

TopΠΕΔΙΟ ΠΕΡΙΕΧΟΜΕΝΟΥ

Βαθμίδα εκπαίδευσης: Δευτεροβάθμια

Τάξη: Η' Γυμνασίου

Μάθημα: Τριγωνομετρία

Γλώσσα: Καθαρεύουσα

Παρουσίαση περιεχομένου: Σχολικό εγχειρίδιο Τριγωνομετρίας της Η' Γυμνασίου. Το βιβλίο περιέχει ασκήσεις τριγωνομετρίας. Εισάγει τους μαθητές στα διαφορετικά είδη τριγώνων, τις ιδιότητες και τα χαρακτηριστικά τους καθώς και στον τρόπο υπολογισμού διαφόρων στοιχείων τους όπως το εμβαδόν και η περιφέρεια.

TopΠΕΔΙΟ ΠΛΗΡΟΦΟΡΙΩΝ ΕΚΔΟΣΗΣ

Εκδότης: Οργανισμός Εκδόσεως Διδακτικών Βιβλίων

Έτος έκδοσης: 1963

Τόπος έκδοσης: Αθήνα

Έκδοση:

Υπουργική απόφαση / Σύμβαση: 1139/14-2-1963

Έτος έγκρισης: 1963

TopΠΕΔΙΟ ΠΑΡΑΤΗΡΗΣΕΩΝ

Εντοπισμός πρωτοτύπου: Βιβλιοθήκη της Βουλής των Ελλήνων

Κωδικός βιβλιοθήκης: 20557507

TopΕΥΡΕΤΗΡΙΟ ΘΕΜΑΤΙΚΩΝ ΟΡΩΝ

Σχετιζόμενα πρόσωπα:

Σχετιζόμενοι όροι:


200 εγγραφές [121 - 140]
Σελίδα #117
Σελίδα #118
Σελίδα #119
Σελίδα #120
Σελίδα #121
Σελίδα #122
Σελίδα #123
Σελίδα #124
Σελίδα #125
Σελίδα #126
Σελίδα #127
Σελίδα #128
Σελίδα #129
Σελίδα #130
Σελίδα #131
Σελίδα #132
Σελίδα #133
Σελίδα #134
Σελίδα #135
Σελίδα #136
Σελίδα #137
Σελίδα #138
Σελίδα #139
Σελίδα #140
[Σχολικό Εγχειρίδιο]
Νικόλαος Δ. Νικολάου, Χρ. Στυλιανόπουλος (επιμέλεια)
Τάξη:  Η' Γυμνασίου
Μάθημα:  Μαθηματικά
Σχολικό εγχειρίδιο Τριγωνομετρίας για την Η' Γυμνασίου που περιλαμβάνει θεωρία και ασκήσεις.
[Σχολικό Εγχειρίδιο]
Νικόλαος Δ. Νικολάου
Τάξη:  Η' Γυμνασίου
Μάθημα:  Μαθηματικά
Σχολικό εγχειρίδιο Τριγωνομετρίας για την Η' Γυμνασίου που περιλαμβάνει θεωρία και ασκήσεις.
[Σχολικό Εγχειρίδιο]
Νικόλαος Δ. Νικολάου
Τάξη:  Η' Γυμνασίου
Μάθημα:  Μαθηματικά
Σχολικό εγχειρίδιο Τριγωνομετρίας για την Η' Γυμνασίου που περιλαμβάνει θεωρία και ασκήσεις.
[Σχολικό Εγχειρίδιο]
Νικόλαος Δ. Νικολάου
Τάξη:  Η' Γυμνασίου
Μάθημα:  Μαθηματικά
Σχολικό εγχειρίδιο Τριγωνομετρίας για την Η' Γυμνασίου που περιλαμβάνει θεωρία και ασκήσεις.
[Σχολικό Εγχειρίδιο]
Νικόλαος Νικολάου
Τάξη:  Η' Γυμνασίου
Μάθημα:  Μαθηματικά
Σχολικό εγχειρίδιο Τριγωνομετρίας της ΣΤ΄ Γυμνασίου. Το βιβλίο περιέχει ασκήσεις τριγωνομετρίας. Εισάγει τους μαθητές στα διαφορετικά είδη τριγώνων, τις ιδιότητες και τα χαρακτηριστικά τους καθώς και στον ...
[Σχολικό Εγχειρίδιο]
Νικόλαος Δ. Νικολάου
Τάξη:  Δ' Γυμνασίου
Μάθημα:  Μαθηματικά
Σχολικό εγχειρίδιο Τριγωνομετρίας για τη Δ΄ Γυμνασίου που περιλαμβάνει θεωρία και ασκήσεις.
[Σχολικό Εγχειρίδιο]
Νικόλαος Δ. Νικολάου, Ι. Αγγελής (επιμέλεια)
Τάξη:  ΣΤ' Γυμνασίου
Μάθημα:  Μαθηματικά
Σχολικό εγχειρίδιο Τριγωνομετρίας για την ΣΤ΄ Γυμνασίου που περιλαμβάνει θεωρία και ασκήσεις.
[Σχολικό Εγχειρίδιο]
Αλκ. Ε Μάζης
Τάξη:  Η' Γυμνασίου
Μάθημα:  Φυσική
Σχολικό εγχειρίδιο της Η' Γυμνασίου για το μάθημα της Φυσικής. Παρέχει βασικές γνώσεις της φυσικής επιστήμης. Αναλύει το φαινόμενο της οπτικής, του φωτός, της διάθλασης, της φωτομετρίας, καθώς και του ...
[Μαθητικό Βοήθημα]
Κουίντος Οράτιος Φλάκκος (Q. Horati Flacci), Γεώργιος Ν. Παπανικολάου (μετάφραση/σχόλια)
Τάξη:  Η' Γυμνασίου
Μάθημα:  Λατινικά
Σχετιζόμενοι όροι:  Carmina selecta
Μαθητικό βοήθημα Λατινικών για την Η΄ τάξη των Οκταταξίων Γυμνασίων που περιέχει κείμενο, μετάφραση, γραμματικά, σημασιολογικά και συντακτικά σχόλια, νόημα και περίληψη.
[Μαθητικό Βοήθημα]
Μάρκος Τύλλιος Κικέρωνας (M. Tullius Cicero), Γεώργιος Ν. Παπανικολάου (μετάφραση, σχόλια)
Τάξη:  Η' Γυμνασίου
Μάθημα:  Λατινικά
Σχετιζόμενοι όροι:  Ενύπνιος Σκιπιώνος
Μαθητικό βοήθημα Λατινικών για την Η΄ τάξη των Οκταταξίων Γυμνασίων που περιέχει κείμενο, μετάφραση, γραμματικά, σημασιολογικά και συντακτικά σχόλια, νόημα και περίληψη.