QR Code
03-20557537
Νείλος Σακελλαρίου

Άλγεβρα Δ΄ Γυμνασίου
[1971, 13η Έκδοση]

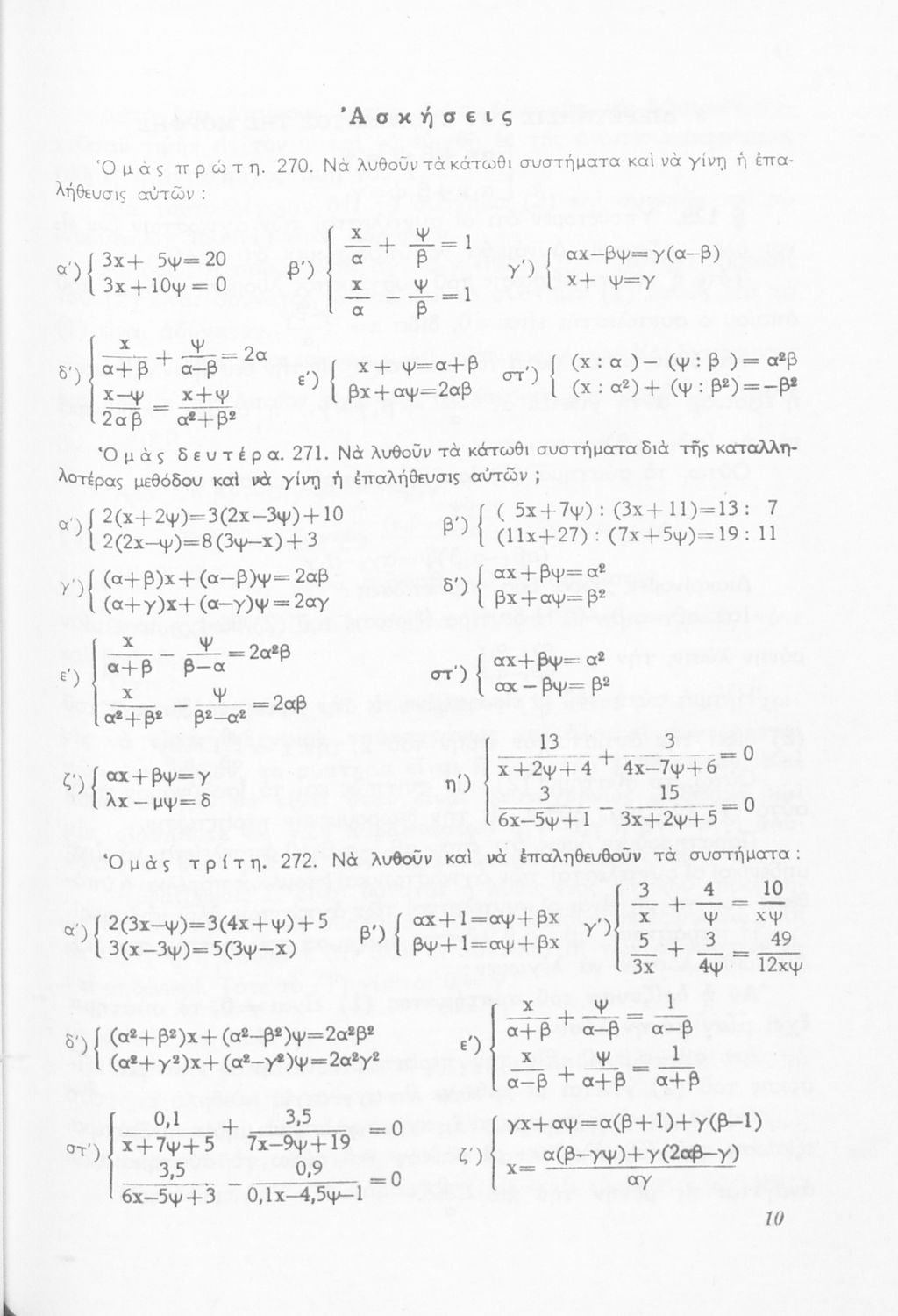
Σχολικό εγχειρίδιο Άλγεβρας Δ' Γυμνασίου που εστιάζει στις ιδιότητες των αριθμών, στις εξισώσεις, στους λογάριθμους και στις παραγώγους.


TopΠΕΔΙΟ ΑΝΑΓΝΩΡΙΣΗΣ

Κωδικός αναγνώρισης: 03-20557537

Τίτλος: Άλγεβρα Δ΄ Γυμνασίου

Συγγραφέας: Νείλος Σακελλαρίου

Μέγεθος και υπόστρωμα: Σχολικό εγχειρίδιο, μαλακό εξώφυλλο, 360 σελίδες.

TopΠΕΔΙΟ ΠΕΡΙΕΧΟΜΕΝΟΥ

Βαθμίδα εκπαίδευσης: Δευτεροβάθμια

Τάξη: Δ' Γυμνασίου

Μάθημα: Μαθηματικά

Γλώσσα: Καθαρεύουσα

Παρουσίαση περιεχομένου: Σχολικό εγχειρίδιο Άλγεβρας Δ' Γυμνασίου που εστιάζει στις ιδιότητες των αριθμών, στις εξισώσεις, στους λογάριθμους και στις παραγώγους.

TopΠΕΔΙΟ ΠΛΗΡΟΦΟΡΙΩΝ ΕΚΔΟΣΗΣ

Εκδότης: Οργανισμός Εκδόσεως Διδακτικών Βιβλίων

Έτος έκδοσης: 1971

Τόπος έκδοσης: Αθήνα

Έκδοση: 13η

Υπουργική απόφαση / Σύμβαση: 2080/22-3-1971

Έτος έγκρισης: 1971

TopΠΕΔΙΟ ΠΑΡΑΤΗΡΗΣΕΩΝ

Εντοπισμός πρωτοτύπου: Βιβλιοθήκη της Βουλής των Ελλήνων

Κωδικός βιβλιοθήκης: 20557537

TopΕΥΡΕΤΗΡΙΟ ΘΕΜΑΤΙΚΩΝ ΟΡΩΝ

Σχετιζόμενα πρόσωπα:

Σχετιζόμενοι όροι:


360 εγγραφές [141 - 160]
Σελίδα #139
Σελίδα #140
Σελίδα #141
Σελίδα #142
Σελίδα #143
Σελίδα #144
Σελίδα #145
Σελίδα #146
Σελίδα #147
Σελίδα #148
Σελίδα #149
Σελίδα #150
Σελίδα #151
Σελίδα #152
Σελίδα #153
Σελίδα #154
Σελίδα #155
Σελίδα #156
Σελίδα #157
Σελίδα #158
Σελίδα #159
Σελίδα #160
Σελίδα #161
Σελίδα #162
[Σχολικό Εγχειρίδιο]
Χρίστος Α. Μπαρμπαστάθης
Τάξη:  Δ' Γυμνασίου / Ε΄ Εξαταξίου Γυμνασίου
Μάθημα:  Μαθηματικά
Σχολικό εγχειρίδιο Άλγεβρας για τις Δ΄ και Ε΄ Εξαταξίου Γυμνασίου χωρισμένο σε θεωρία και ασκήσεις που εστιάζει στις αλγεβρικές πράξεις και παραστάσεις, στις εξισώσεις και στις ρίζες.
[Σχολικό Εγχειρίδιο]
Νείλος Σακελλαρίου
Άλγεβρα Δ΄ Γυμνασίου   [1969, 11η Έκδοση]
Τάξη:  Δ' Γυμνασίου
Μάθημα:  Μαθηματικά
Σχολικό εγχειρίδιο Άλγεβρας Δ΄ Γυμνασίου που εστιάζει στις ιδιότητες των αριθμών, στις εξισώσεις, στους λογάριθμους και στις παραγώγους. Ο συγγραφέας ήταν καθηγητής στο Πανεπιστήμιο. Φέρει το σύμβολο της ...
[Σχολικό Εγχειρίδιο]
Χρίστος Α. Μπαρμπαστάθης
Τάξη:  Δ' Γυμνασίου / Ε΄ Εξαταξίου Γυμνασίου
Μάθημα:  Μαθηματικά
Σχολικό εγχειρίδιο Άλγεβρας για τις Δ΄ και Ε΄ Εξαταξίου Γυμνασίου χωρισμένο σε θεωρία και ασκήσεις που εστιάζει στις αλγεβρικές πράξεις και παραστάσεις, στις εξισώσεις και στις ρίζες.
[Σχολικό Εγχειρίδιο]
Νείλος Σακελλαρίου
Τάξη:  Δ' Γυμνασίου / Ε' Γυμνασίου / ΣΤ' Γυμνασίου
Μάθημα:  Μαθηματικά
Σχολικό εγχειρίδιο Μαθηματικών Δ', Ε' και ΣΤ΄ τάξεων του Γυμνασίου που παρουσιάζει τις βασικές έννοιες της Άλγεβρας, εστιάζει τις ιδιότητες των αριθμών και περιέχει ασκήσεις εξισώσεων, λογαρίθμων και παραγώγων.
[Σχολικό Εγχειρίδιο]
Νείλος Σακελλαρίου
Άλγεβρα Δ΄ Γυμνασίου   [1970, 12η Έκδοση]
Τάξη:  Δ' Γυμνασίου
Μάθημα:  Μαθηματικά
Σχολικό εγχειρίδιο Άλγεβρας Δ' Γυμνασίου που εστιάζει στις ιδιότητες των αριθμών, στις εξισώσεις, στους λογάριθμους και στις παραγώγους.
[Σχολικό Εγχειρίδιο]
Θ. Βαβαλέτσκος, Γ. Μπούσγος
Τάξη:  Δ' Γυμνασίου
Μάθημα:  Μαθηματικά
Σχολικό εγχειρίδιο Δ΄ Γυμνασίου για το μάθημα των Μαθηματικών. Αναφέρεται στην θεωρία της Άλγεβρας, ρίζες, συναρτήσεις, παραστάσεις, διανύσματα κ.α.
[Σχολικό Εγχειρίδιο]
Κυριάκος Κοσμάς
Τάξη:  Δ' Γυμνασίου
Μάθημα:  Λατινικά
Σχολικό εγχειρίδιο Λατινικών για τη Δ΄ Γυμνασίου που περιέχει 54 κείμενα/περικοπές στα λατινικά, ερμηνευτικά υπομνήματα, λεξιλόγιο και κατάλογο με τα συντακτικά φαινόμενα (αφαιρετική, προθέσεις, σύνδεσμοι) που
[Σχολικό Εγχειρίδιο]
Βασίλειος Ε. Πετρούνιας
Τάξη:  Δ' Γυμνασίου
Μάθημα:  Θρησκευτικά
Σχολικό εγχειρίδιο Θρησκευτικών Δ΄ Γυμνασίου που περιέχει την ιστορία της Ορθόδοξης Εκκλησίας από την ίδρυσή της μέχρι την ίδρυση του Παγκοσμίου Συμβουλίου των Εκκλησιών.
[Σχολικό Εγχειρίδιο]
Αλκίνοος Μάζης
Τάξη:  Δ' Γυμνασίου / ΣΤ' Γυμνασίου
Μάθημα:  Φυσική
Σχολικό εγχειρίδιο Φυσικής Δ΄ και ΣΤ΄ Γυμνασίου που εστιάζει στα φυσικά φαινόμενα της μηχανικής, της ακουστικής και της θερμότητας.
[Σχολικό Εγχειρίδιο]
Αλέξανδρος Γ. Σαρής
Τάξη:  Δ' Γυμνασίου
Μάθημα:  Νέα Ελληνικά
Σχολικό εγχειρίδιο Νέων Ελληνικών Δ΄ Γυμνασίου που περιλαμβάνει ποιήματα και πεζά Ελλήνων συγγραφέων και δημοτικά τραγούδια εμπνευσμένα από την σύγχρονη ελληνική ιστορία, την ελληνική φύση και τη ζωή στην ...