QR Code
03-20557815
Παύλος Οδ. Σακελλαρίδης

Χημεία Α΄ τάξη Λυκείου
[1979]

Σχολικό εγχειρίδιο Χημείας Α΄ Λυκείου που αποτελεί εισαγωγή στις έννοιες της ύλης και της ενέργειας και των χημικών στοιχείων και ενώσεων. Περιέχει επίσης νόμους της ατομικής και μοριακής θεωρίας, σε διαφορετικές καταστάσεις της ύλης (υγρά, στερεά, αέρια).


TopΠΕΔΙΟ ΑΝΑΓΝΩΡΙΣΗΣ

Κωδικός αναγνώρισης: 03-20557815

Τίτλος: Χημεία Α΄ τάξη Λυκείου

Συγγραφέας: Παύλος Οδ. Σακελλαρίδης

Μέγεθος και υπόστρωμα: Σχολικό εγχειρίδιο, μαλακό εξώφυλλο, 180 σελίδες. Εικόνες, σκίτσα (έγχρωμα).

TopΠΕΔΙΟ ΠΕΡΙΕΧΟΜΕΝΟΥ

Βαθμίδα εκπαίδευσης: Δευτεροβάθμια

Τάξη: Α' Λυκείου

Μάθημα: Χημεία

Γλώσσα: Δημοτική

Παρουσίαση περιεχομένου: Σχολικό εγχειρίδιο Χημείας Α΄ Λυκείου που αποτελεί εισαγωγή στις έννοιες της ύλης και της ενέργειας και των χημικών στοιχείων και ενώσεων. Περιέχει επίσης νόμους της ατομικής και μοριακής θεωρίας, σε διαφορετικές καταστάσεις της ύλης (υγρά, στερεά, αέρια).

TopΠΕΔΙΟ ΠΛΗΡΟΦΟΡΙΩΝ ΕΚΔΟΣΗΣ

Εκδότης: Ίδρυμα Ευγενίδου

Έτος έκδοσης: 1979

Τόπος έκδοσης: Αθήνα

Έτος έγκρισης: 1979

TopΠΕΔΙΟ ΠΑΡΑΤΗΡΗΣΕΩΝ

Εντοπισμός πρωτοτύπου: Βιβλιοθήκη της Βουλής των Ελλήνων

Κωδικός βιβλιοθήκης: 20557815

TopΕΥΡΕΤΗΡΙΟ ΘΕΜΑΤΙΚΩΝ ΟΡΩΝ

Σχετιζόμενα πρόσωπα:

Σχετιζόμενοι όροι:


190 εγγραφές [61 - 80]
Σελίδα #047
Σελίδα #048
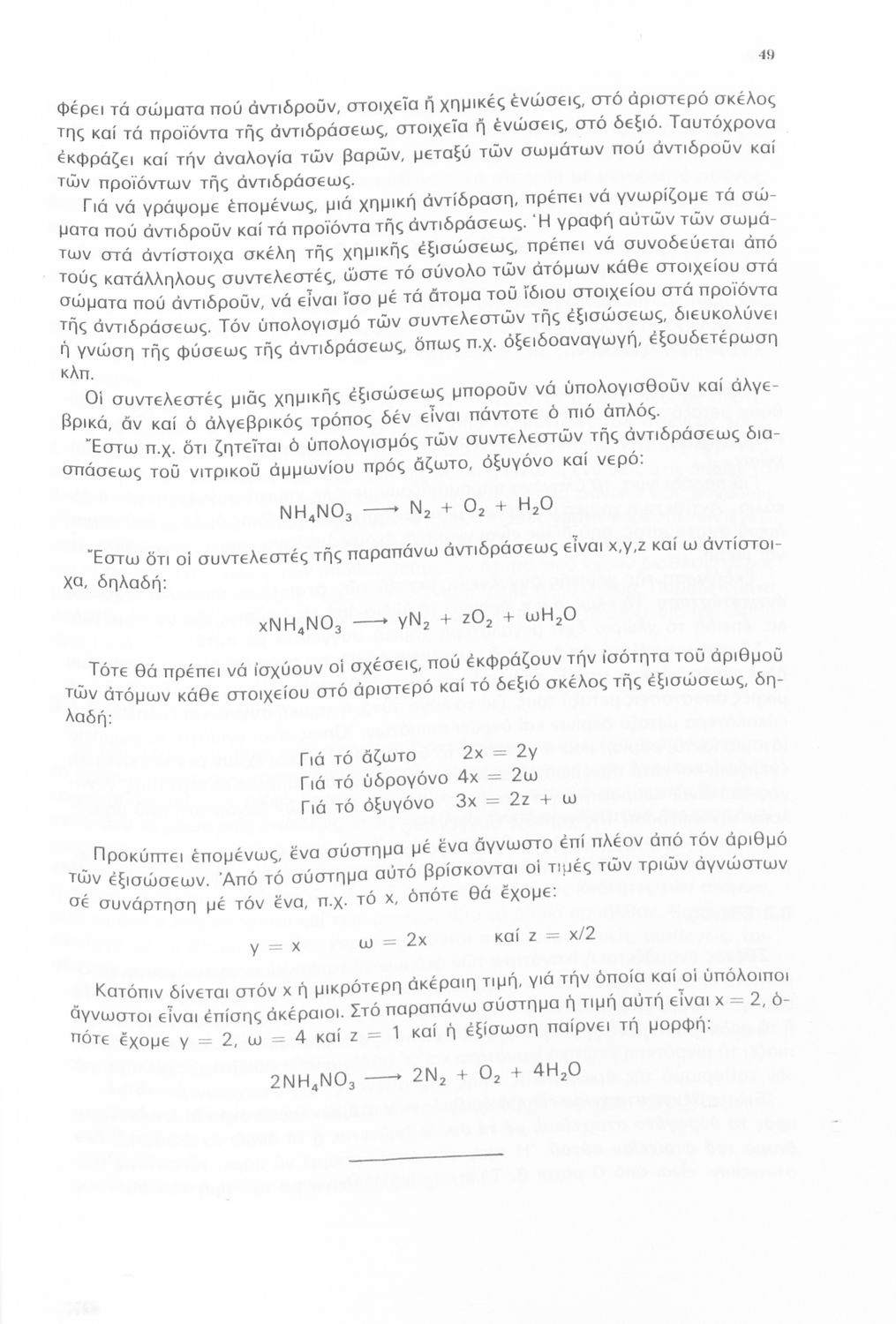
Σελίδα #049
Σελίδα #050
Σελίδα #051
Σελίδα #052
Σελίδα #053
Σελίδα #054
Σελίδα #055
Σελίδα #056
Σελίδα #057
Σελίδα #058
Σελίδα #059
Σελίδα #060
Σελίδα #061
Σελίδα #062
Σελίδα #063
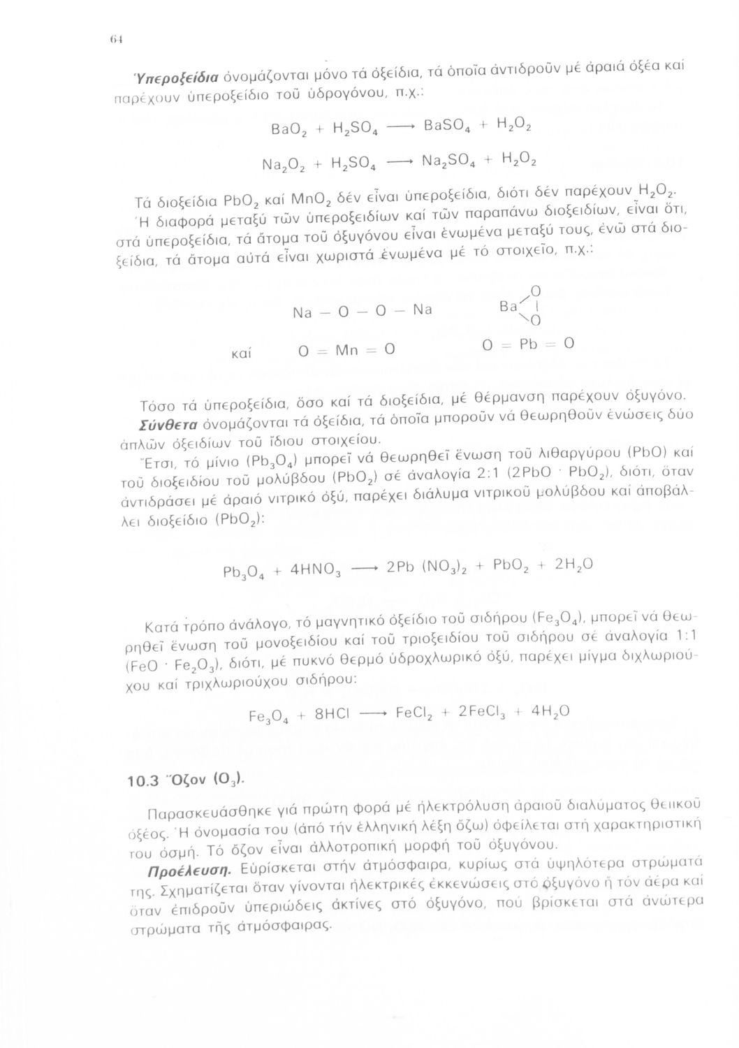
Σελίδα #064
Σελίδα #065
Σελίδα #066
Σελίδα #067
Σελίδα #068
Σελίδα #069
Σελίδα #070
[Σχολικό Εγχειρίδιο]
Λεωνίδας Σπ. Λιώκης
Τάξη:  Α' Λυκείου / Β' Λυκείου
Μάθημα:  Χημεία
Σχολικό εγχειρίδιο Χημείας Α΄ και Β΄ Λυκείου που περιλαμβάνει εισαγωγή στις έννοιες της Χημείας (ύλη, νόμοι χημείας, χημικές αντιδράσεις, εξισώσεις, ενώσεις), αναλυτική περιγραφή στοιχείων και των ενώσεών τους.
[Σχολικό Εγχειρίδιο]
Αχιλλέας Α. Τζάρτζανος
Τάξη:  Α' Λυκείου / Β' Λυκείου / Γ' Λυκείου
Σχολικό εγχειρίδιο Αρχαίων Ελληνικών για τις Α΄, Β΄ και Γ΄ Λυκείου που εξετάζει τα μέρη του λόγου και την σύνταξή τους.
[Σχολικό Εγχειρίδιο]
Χαρ. Ι. Σημηριώτης, Νικ. Γ. Δρακόπουλος
Τάξη:  Α' Αστικού Σχολείου
Μάθημα:  Φυσική
Σχολικό εγχειρίδιο της Α΄ Τάξης των Αστικών Σχολείων για το μάθημα της Φυσικής. Παρέχει βασικές γνώσεις της Φυσικής επιστήμης και της Χημείας. Αναλύει τις ιδιότητες των σωμάτων, καθώς και της θερμότητας, του ...
[Σχολικό Εγχειρίδιο]
Λεωνίδας Σπ. Λιώκης
Τάξη:  Α' Λυκείου / Β' Λυκείου
Μάθημα:  Χημεία
Σχολικό εγχειρίδιο Χημείας που απευθύνεται σε μαθητές Γυμνασίου με σκοπό τη περιγραφή εισαγωγικών εννοιών χημείας (ύλη, νόμοι χημείας, χημικές αντιδράσεις-εξισώσεις-ενώσεις). Στο βιβλίο γίνεται αναλυτική ...
[Σχολικό Εγχειρίδιο]
Χρ. Γ. Παπανικολάου
Τάξη:  Α' Λυκείου / Β' Λυκείου / Γ' Λυκείου
Μάθημα:  Μαθηματικά
Σχολικό εγχειρίδιο Γεωμετρίας για τις Α΄, Β΄ και Γ΄ Λυκείου που περιλαμβάνει θεωρία και ασκήσεις και είναι χωρισμένο σε Επιπεδομετρία και Στερεομετρία.
[Σχολικό Εγχειρίδιο]
Διον. Π. Λεονταρίτης
Τάξη:  Α' Γυμνασίου
Μάθημα:  Φυσική
Μαθητικό βοήθημα της Ε΄ και ΣΤ΄ Δημοτικού για το μάθημα της Φυσικής στο Δημοτικό . Παρέχει βασικές γνώσεις της Φυσικής επιστήμης και της Χημείας. Αναλύει τις ιδιότητες των σωμάτων, καθώς και της θερμότητας, ...
[Σχολικό Εγχειρίδιο]
Απολλόδωρος, Αιλιανός (Claudius Aelianus), Ιωάννης Θ. Παπαγιαννόπουλος
Τάξη:  Α' Γυμνασίου / Α' Πρακτικού Λυκείου
Σχολικό εγχειρίδιο Αρχαίων Ελληνικών Α΄ Γυμνασίου και Πρακτικού Λυκείου που περιλαμβάνει εισαγωγή στη ζωή και το έργο των Απολλόδωρου και Αιλιανού, αποσπάσματα από τη Βιβλιοθήκη του Απολλόδωρου και την Ποικίλη
[Μαθητικό Βοήθημα]
Ε. Χατζηγιάννης, Σ. Αλοΐζος
Τάξη:  Ε' Δημοτικού / ΣΤ' Δημοτικού
Μάθημα:  Χημεία
Μαθητικό βοήθημα Χημείας Ε΄ και ΣΤ΄ Δημοτικού που παρουσιάζει πλήθος χημικών στοιχείων και ενώσεων.
[Σχολικό Εγχειρίδιο]
Περικ. Κ. Μακρής
Τάξη:  Α' Γυμνασίου
Μάθημα:  Φυσική
Σχολικό εγχειρίδιο της Α΄ Γυμνασίου για το μάθημα της Φυσικής. Παρέχει βασικές γνώσεις της φυσικής επιστήμης και της χημείας. Αναλύει τις ιδιότητες των σωμάτων, καθώς και της θερμότητας, του ηλεκτρισμού και ...
[Μαθητικό Βοήθημα]
Αγγελική Θ. Πάτση
Τάξη:  Ε' Δημοτικού / ΣΤ' Δημοτικού
Μάθημα:  Φυσική
Μαθητικό βοήθημα της Ε΄ και ΣΤ΄ Δημοτικού για το μάθημα της Φυσικής στο Δημοτικό . Παρέχει βασικές γνώσεις της Φυσικής επιστήμης και της Χημείας. Αναλύει τις ιδιότητες των σωμάτων, καθώς και της θερμότητας, ...