QR Code
03-20557823
Παύλος Οδ. Σακελλαρίδης

Χημεία Β' τάξη Λυκείου
[1981]

Σχολικό εγχειρίδιο Χημείας Β' Λυκείου που εστιάζει στο περιοδικό σύστημα, τα οξέα, τα άλατα και τις βάσεις, τα μέταλλα και τις χημικές αντιδράσεις.


TopΠΕΔΙΟ ΑΝΑΓΝΩΡΙΣΗΣ

Κωδικός αναγνώρισης: 03-20557823

Τίτλος: Χημεία Β' τάξη Λυκείου

Συγγραφέας: Παύλος Οδ. Σακελλαρίδης

Μέγεθος και υπόστρωμα: Σχολικό εγχειρίδιο, μαλακό εξώφυλλο, 226 σελίδες. Εικόνες, σκίτσα ασπρόμαυρα.

TopΠΕΔΙΟ ΠΕΡΙΕΧΟΜΕΝΟΥ

Βαθμίδα εκπαίδευσης: Δευτεροβάθμια

Τάξη: Β' Λυκείου

Μάθημα: Χημεία

Γλώσσα: Δημοτική

Παρουσίαση περιεχομένου: Σχολικό εγχειρίδιο Χημείας Β' Λυκείου που εστιάζει στο περιοδικό σύστημα, τα οξέα, τα άλατα και τις βάσεις, τα μέταλλα και τις χημικές αντιδράσεις.

TopΠΕΔΙΟ ΠΛΗΡΟΦΟΡΙΩΝ ΕΚΔΟΣΗΣ

Εκδότης: Ίδρυμα Ευγενίδου

Έτος έκδοσης: 1981

Τόπος έκδοσης: Αθήνα

Έτος έγκρισης: 1981

TopΠΕΔΙΟ ΠΑΡΑΤΗΡΗΣΕΩΝ

Εντοπισμός πρωτοτύπου: Βιβλιοθήκη της Βουλής των Ελλήνων

Κωδικός βιβλιοθήκης: 20557823

TopΕΥΡΕΤΗΡΙΟ ΘΕΜΑΤΙΚΩΝ ΟΡΩΝ

Σχετιζόμενα πρόσωπα:

Σχετιζόμενοι όροι:


238 εγγραφές [161 - 180]
Σελίδα #149
Σελίδα #150
Σελίδα #151
Σελίδα #152
Σελίδα #153
Σελίδα #154
Σελίδα #155
Σελίδα #156
Σελίδα #157
Σελίδα #158
Σελίδα #159
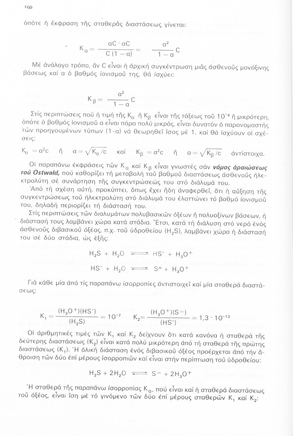
Σελίδα #160
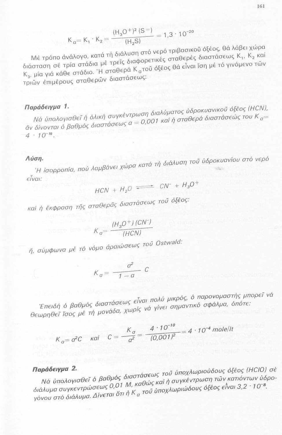
Σελίδα #161
Σελίδα #162
Σελίδα #163
Σελίδα #164
Σελίδα #165
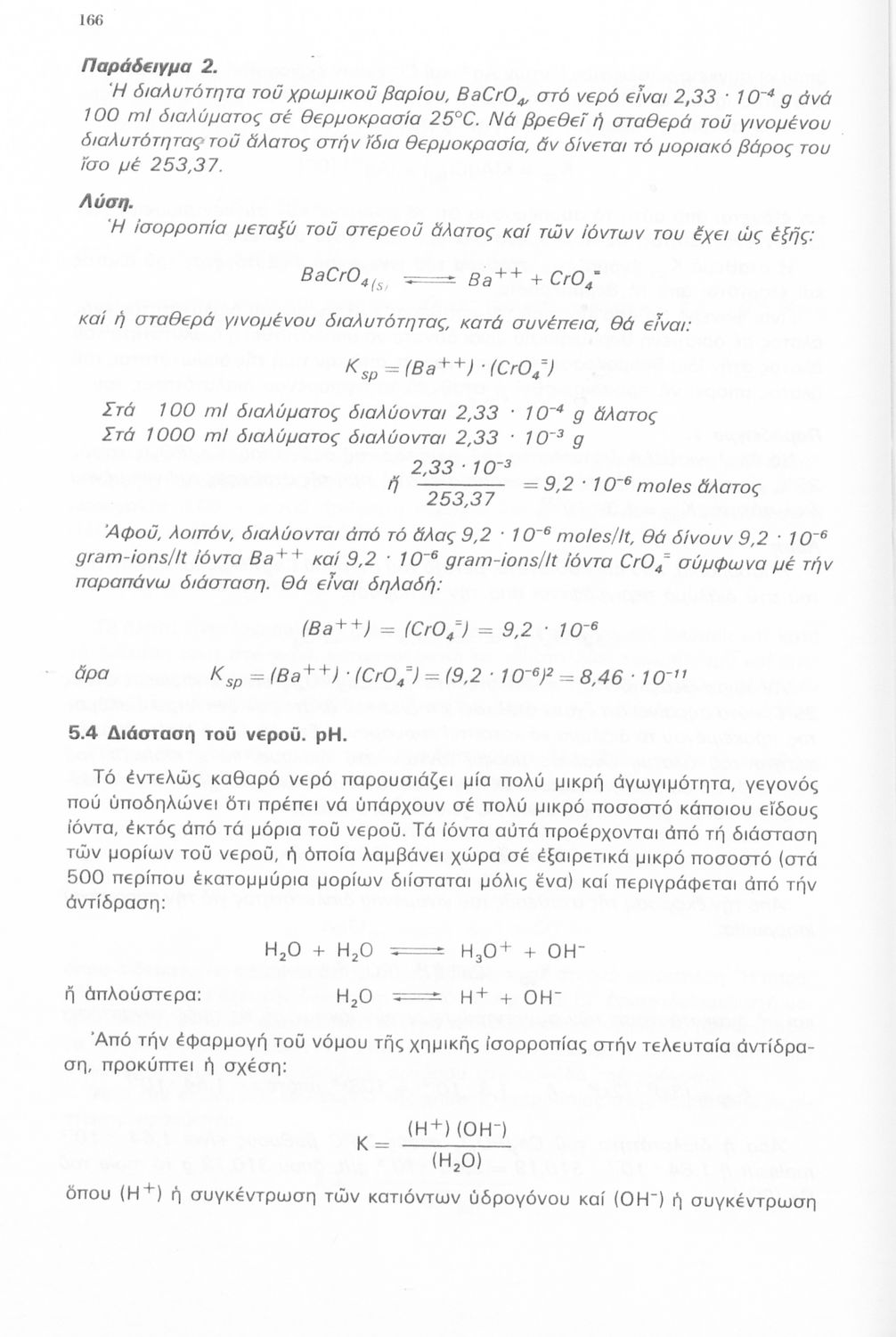
Σελίδα #166
Σελίδα #167
Σελίδα #168
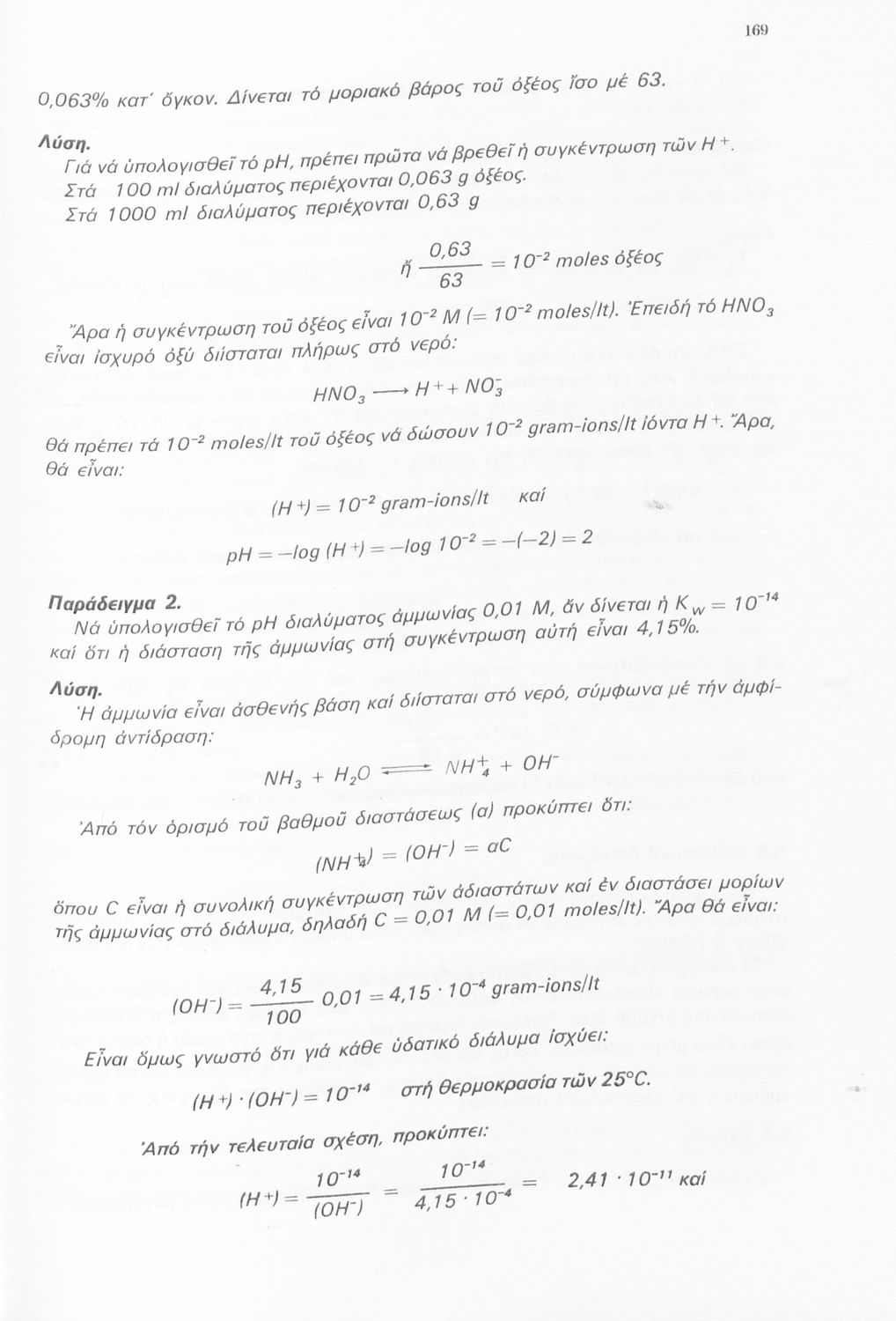
Σελίδα #169
Σελίδα #170
Σελίδα #171
Σελίδα #172
[Μαθητικό Βοήθημα]
Κωνσταντίνος Καγκαράκης
Τάξη:  Β' Τεχνικού Λυκείου
Μάθημα:  Χημεία
Σχολικό εγχειρίδιο Χημικής Τεχνολογίας Β΄ Τεχνικού Λυκείου που εισάγει τους μαθητές στην βιομηχανική εφαρμογή των χημικών αντιδράσεων και των φυσικών μεταβολών των σωμάτων. Ασχολείται με την ποιότητα των ...
[Μαθητικό Βοήθημα]
Ανδρέας Βασιλόπουλος
Τάξη:  Β' Μέσων Τεχνικών - Επαγγελματικών Σχολών
Μάθημα:  Χημεία
Σχολικό εγχειρίδιο Χημείας Β΄ Μέσων Τεχνικών και Επαγγελματικών Σχολών που αναφέρεται στα είδη, δομή και λειτουργία των εργαστηρίων Χημείας τα οποία διαχωρίζει σε αναλυτικά, χημικά και ερευνητικά.
[Σχολικό Εγχειρίδιο]
Λεωνίδας Σπ. Λιώκης
Τάξη:  Α' Λυκείου / Β' Λυκείου
Μάθημα:  Χημεία
Σχολικό εγχειρίδιο Χημείας Α΄ και Β΄ Λυκείου που περιλαμβάνει εισαγωγή στις έννοιες της Χημείας (ύλη, νόμοι χημείας, χημικές αντιδράσεις, εξισώσεις, ενώσεις), αναλυτική περιγραφή στοιχείων και των ενώσεών τους.
[Σχολικό Εγχειρίδιο]
Αχιλλέας Α. Τζάρτζανος
Τάξη:  Α' Λυκείου / Β' Λυκείου / Γ' Λυκείου
Σχολικό εγχειρίδιο Αρχαίων Ελληνικών για τις Α΄, Β΄ και Γ΄ Λυκείου που εξετάζει τα μέρη του λόγου και την σύνταξή τους.
[Σχολικό Εγχειρίδιο]
Πανταζής Κων. Οικονόμου
Τάξη:  Β' Γυμνασίου / Β΄ Πρακτικών Λυκείων / Β' Ανώτερων Παρθεναγωγείων
Μάθημα:  Θρησκευτικά
Σχολικό εγχειρίδιο Θρησκευτικών Β΄ Γυμνασίου, Πρακτικού Λυκείου και Παρθεναγωγείου που περιλαμβάνει τη ζωή, το έργο και τη διδασκαλία του Ιησού.
[Σχολικό Εγχειρίδιο]
Λεωνίδας Σπ. Λιώκης
Τάξη:  Α' Λυκείου / Β' Λυκείου
Μάθημα:  Χημεία
Σχολικό εγχειρίδιο Χημείας που απευθύνεται σε μαθητές Γυμνασίου με σκοπό τη περιγραφή εισαγωγικών εννοιών χημείας (ύλη, νόμοι χημείας, χημικές αντιδράσεις-εξισώσεις-ενώσεις). Στο βιβλίο γίνεται αναλυτική ...
[Σχολικό Εγχειρίδιο]
Χρ. Γ. Παπανικολάου
Τάξη:  Α' Λυκείου / Β' Λυκείου / Γ' Λυκείου
Μάθημα:  Μαθηματικά
Σχολικό εγχειρίδιο Γεωμετρίας για τις Α΄, Β΄ και Γ΄ Λυκείου που περιλαμβάνει θεωρία και ασκήσεις και είναι χωρισμένο σε Επιπεδομετρία και Στερεομετρία.
[Σχολικό Εγχειρίδιο]
Διον. Λεονταρίτης
Τάξη:  Β' Γυμνασίου
Μάθημα:  Χημεία
Το συγκεκριμένο εγχειρίδιο αφορά το μάθημα της Χημείας και αναφέρεται σε μαθητές της Β΄ τάξης των Οκταταξίων Γυμνασίων. Περιγράφει τις χημικές ενώσεις των σωμάτων και τα μείγματα τους, φυσικούς και τεχνικούς ...
[Σχολικό Εγχειρίδιο]
Πλάτων, Χρίστος Α. Παπαναστασίου (εισαγωγή, ερμηνευτικές σημειώσεις)
Τάξη:  Β' Λυκείου
Σχολικό εγχειρίδιο Αρχαίων Ελληνικών. Στο βιβλίο περιλαμβάνεται εισαγωγικό σημείωμα σχετικά με το έργο του Πλάτωνα "Κρίτων" τοποθετώντας τον αναγνώστη στο χώρο και στο χρόνο. Στη συνέχεια παρατίθεται το έργο ...
[Σχολικό Εγχειρίδιο]
Αλκίνοος Ε. Μάζης
Τάξη:  Β' Γυμνασίου
Μάθημα:  Χημεία
Σχετιζόμενοι όροι:  άνθρακας, οξέα, βάσεις, μόρια
Σχολικό εγχειρίδιο Χημείας Β΄ Γυμνασίου που εστιάζει στα χημικά φαινόμενα και τον αναλυτικό προσδιορισμό των ιδιοτήτων και ενώσεων των οξέων, του άνθρακα και του υδρογόνου.