QR Code
03-20558238
Τηλέμαχος Ιωαν. Καλβουρίδης

Ηλεκτρονικοί Υπολογιστές, Προγραμματισμός, Αριθμομηχανές Β' Τάξη Επαγγελματικού Λυκείου
[1979]

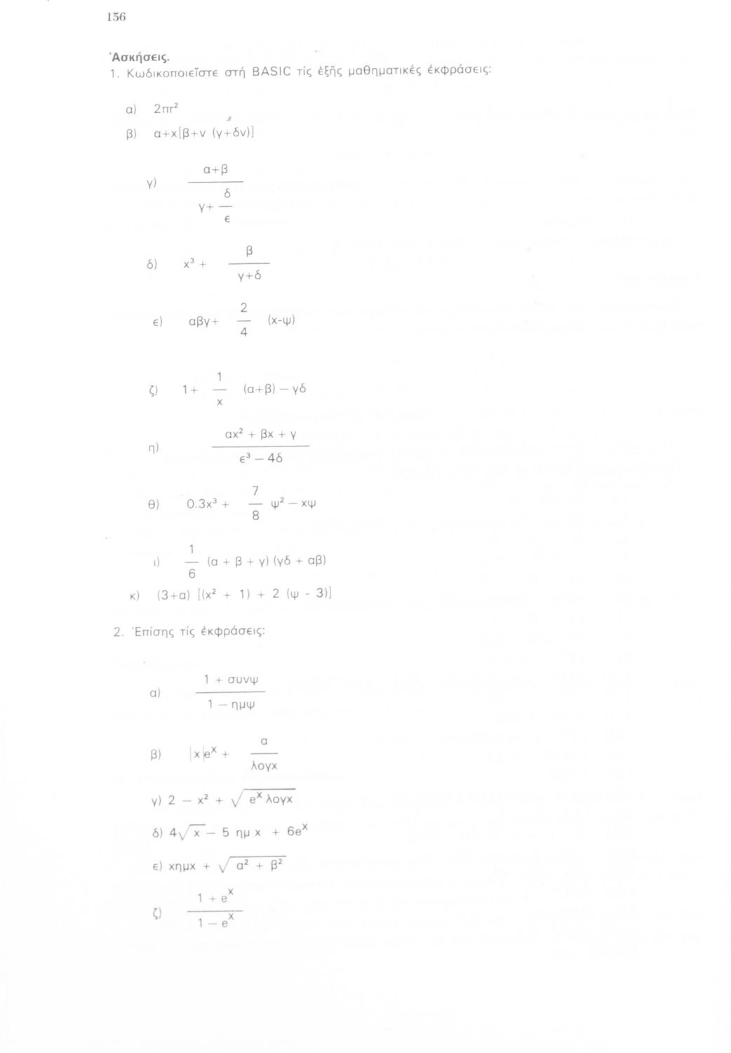
Σχολικό εγχειρίδιο Πληροφορικής Β΄ Επαγγελματικού Λυκείου το οποίο εισάγει τους μαθητές στη λογική του προγραμματισμού και των ηλεκτρονικών υπολογιστών με έμφαση με τις γλώσσες προγραμματισμού.


TopΠΕΔΙΟ ΑΝΑΓΝΩΡΙΣΗΣ

Κωδικός αναγνώρισης: 03-20558238

Τίτλος: Ηλεκτρονικοί Υπολογιστές, Προγραμματισμός, Αριθμομηχανές Β' Τάξη Επαγγελματικού Λυκείου

Συγγραφέας: Τηλέμαχος Ιωαν. Καλβουρίδης

Μέγεθος και υπόστρωμα: Σχολικό εγχειρίδιο, μαλακό εξώφυλλο, 264 σελίδες. Εικόνες, σκίτσα (ασπρόμαυρα).

TopΠΕΔΙΟ ΠΕΡΙΕΧΟΜΕΝΟΥ

Βαθμίδα εκπαίδευσης: Δευτεροβάθμια

Τάξη: Β' Επαγγελματικού Λυκείου

Μάθημα: Πληροφορική

Γλώσσα: Δημοτική

Παρουσίαση περιεχομένου: Σχολικό εγχειρίδιο Πληροφορικής Β΄ Επαγγελματικού Λυκείου το οποίο εισάγει τους μαθητές στη λογική του προγραμματισμού και των ηλεκτρονικών υπολογιστών με έμφαση με τις γλώσσες προγραμματισμού.

TopΠΕΔΙΟ ΠΛΗΡΟΦΟΡΙΩΝ ΕΚΔΟΣΗΣ

Εκδότης: Ίδρυμα Ευγενίδου

Έτος έκδοσης: 1979

Τόπος έκδοσης: Αθήνα

TopΠΕΔΙΟ ΠΑΡΑΤΗΡΗΣΕΩΝ

Εντοπισμός πρωτοτύπου: Βιβλιοθήκη της Βουλής των Ελλήνων

Κωδικός βιβλιοθήκης: 20558238

TopΕΥΡΕΤΗΡΙΟ ΘΕΜΑΤΙΚΩΝ ΟΡΩΝ

Σχετιζόμενα πρόσωπα:

Σχετιζόμενοι όροι:


264 εγγραφές [161 - 180]
Σελίδα #151
Σελίδα #152
Σελίδα #153
Σελίδα #154
Σελίδα #155
Σελίδα #156
Σελίδα #157
Σελίδα #158
Σελίδα #159
Σελίδα #160
Σελίδα #161
Σελίδα #162
Σελίδα #163
Σελίδα #164
Σελίδα #165
Σελίδα #166
Σελίδα #167
Σελίδα #168
Σελίδα #169
Σελίδα #170
Σελίδα #171
Σελίδα #172
Σελίδα #173
Σελίδα #174
[Σχολικό Εγχειρίδιο]
Βασίλειος Γ. Βαλαώρας
Τάξη:  Β' Μέσων Τεχνικών – Επαγγελματικών Σχολών
Μάθημα:  Υγιεινή
Σχολικό εγχειρίδιο Υγιεινής για τους μαθητές της Β' Μέσων Τεχνικών Επαγγελματικών Σχολών που πραγματεύεται τους περιβαλλοντολογικούς και κοινωνικούς παράγοντες που επηρεάζουν την υγεία των ανθρώπων.
[Σχολικό Εγχειρίδιο]
Γεώργιος Σ. Ανδρεάκος
Τάξη:  Β' Επαγγελματικού Λυκείου
Μάθημα:  Λογιστική
Σχολικό εγχειρίδιο Λογιστικής Β' Επαγγελματικού Λυκείου που περιέχει τις γενικές αρχές της λογιστικής και εστιάζει στη λογιστική των υποκαταστημάτων και τα συστήματα των εγγραφών.
[Σχολικό Εγχειρίδιο]
Λάζαρος Λαζαρίδης
Τάξη:  Β' Μέσων Τεχνικών – Επαγγελματικών Σχολών
Μάθημα:  Μηχανική
Σχολικό εγχειρίδιο Μηχανικής για τους μαθητές της Β' τάξης των Μέσων Τεχνικών Επαγγελματικών Σχολών. Σκοπός του βιβλίου είναι να προσφέρει στους σπουδαστές τη γνώση των διαφόρων μηχανών και να τους κατατοπίσει
[Σχολικό Εγχειρίδιο]
Βησσαρίωνας Π. Παπασπύρου
Τάξη:  Β' Μέσων Τεχνικών – Επαγγελματικών Σχολών
Μάθημα:  Δίκαιο
Σχολικό εγχειρίδιο Εμπορικού Δικαίου για τους μαθητές της Β' τάξης των Μέσων Τεχνικών Επαγγελματικών Σχολών. Παρουσιάζονται γενικές έννοιες όλων των κλάδων του εμπορικού δικαίου και στοιχεία του δικαίου των ...
[Μαθητικό Βοήθημα]
Ανδρέας Βασιλόπουλος
Τάξη:  Β' Μέσων Τεχνικών - Επαγγελματικών Σχολών
Μάθημα:  Χημεία
Σχολικό εγχειρίδιο Χημείας Β΄ Μέσων Τεχνικών και Επαγγελματικών Σχολών που αναφέρεται στα είδη, δομή και λειτουργία των εργαστηρίων Χημείας τα οποία διαχωρίζει σε αναλυτικά, χημικά και ερευνητικά.
[Σχολικό Εγχειρίδιο]
Αγαθοκλής Υφούλης
Τάξη:  Β' Επαγγελματικού Λυκείου
Μάθημα:  Φυτολογία
Σχολικό εγχειρίδιο Εδαφολογίας και Φυτικής Παραγωγής για τη Β΄ Επαγγελματικού Λυκείου.
[Σχολικό Εγχειρίδιο]
Ζ. Παπαδόπουλος – Ναϊφώτης, Θρασύβουλος Αθ. Κεφαλάς
Τάξη:  Β' Επαγγελματικού Λυκείου
Μάθημα:  Φαρμακολογία
Σχολικό εγχειρίδιο Φαρμακολογίας για τους μαθητές της Β΄ τάξης των Επαγγελματικών Λυκείων. Το βιβλίο παρουσιάζει τις γενικές αρχές Φαρμακολογίας και χωρίζεται σε δύο μέρη. Στο πρώτο μέρος, περιέχει τη Γενικής ...
[Σχολικό Εγχειρίδιο]
Αχιλλέας Α. Τζάρτζανος
Τάξη:  Α' Λυκείου / Β' Λυκείου / Γ' Λυκείου
Σχολικό εγχειρίδιο Αρχαίων Ελληνικών για τις Α΄, Β΄ και Γ΄ Λυκείου που εξετάζει τα μέρη του λόγου και την σύνταξή τους.
[Σχολικό Εγχειρίδιο]
Πανταζής Κων. Οικονόμου
Τάξη:  Β' Γυμνασίου / Β΄ Πρακτικών Λυκείων / Β' Ανώτερων Παρθεναγωγείων
Μάθημα:  Θρησκευτικά
Σχολικό εγχειρίδιο Θρησκευτικών Β΄ Γυμνασίου, Πρακτικού Λυκείου και Παρθεναγωγείου που περιλαμβάνει τη ζωή, το έργο και τη διδασκαλία του Ιησού.
[Σχολικό Εγχειρίδιο]
Χρ. Γ. Παπανικολάου
Τάξη:  Α' Λυκείου / Β' Λυκείου / Γ' Λυκείου
Μάθημα:  Μαθηματικά
Σχολικό εγχειρίδιο Γεωμετρίας για τις Α΄, Β΄ και Γ΄ Λυκείου που περιλαμβάνει θεωρία και ασκήσεις και είναι χωρισμένο σε Επιπεδομετρία και Στερεομετρία.