QR Code
03-20558240
Γ. Φ. Δανιήλ

Κινητήριες Μηχανές Β' τάξη Τεχνικού Λυκείου
[1979]

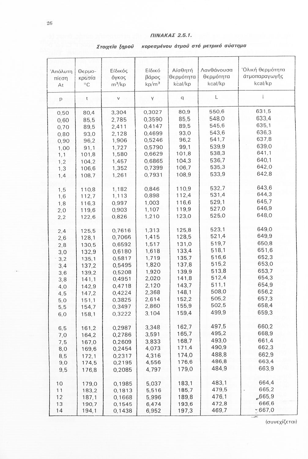
Σχολικό εγχειρίδιο Μηχανικής Β' Τεχνικού Λυκείου που εστιάζει στη λειτουργία των θερμικών κινητηρίων μηχανών, ατμολέβητων, ατμομηχανών και αεριοστρόβιλων.


TopΠΕΔΙΟ ΑΝΑΓΝΩΡΙΣΗΣ

Κωδικός αναγνώρισης: 03-20558240

Τίτλος: Κινητήριες Μηχανές Β' τάξη Τεχνικού Λυκείου

Συγγραφέας: Γ. Φ. Δανιήλ

Μέγεθος και υπόστρωμα: Σχολικό εγχειρίδιο, μαλακό εξώφυλλο, 276 σελίδες. Εικόνες, σκίτσα ασπρόμαυρα.

TopΠΕΔΙΟ ΠΕΡΙΕΧΟΜΕΝΟΥ

Βαθμίδα εκπαίδευσης: Δευτεροβάθμια

Τάξη: Β' Τεχνικού Λυκείου

Μάθημα: Μηχανική

Γλώσσα: Δημοτική

Παρουσίαση περιεχομένου: Σχολικό εγχειρίδιο Μηχανικής Β' Τεχνικού Λυκείου που εστιάζει στη λειτουργία των θερμικών κινητηρίων μηχανών, ατμολέβητων, ατμομηχανών και αεριοστρόβιλων.

TopΠΕΔΙΟ ΠΛΗΡΟΦΟΡΙΩΝ ΕΚΔΟΣΗΣ

Εκδότης: Ίδρυμα Ευγενίδου

Έτος έκδοσης: 1979

Τόπος έκδοσης: Αθήνα

Έτος έγκρισης: 1979

TopΠΕΔΙΟ ΠΑΡΑΤΗΡΗΣΕΩΝ

Εντοπισμός πρωτοτύπου: Βιβλιοθήκη της Βουλής των Ελλήνων

Κωδικός βιβλιοθήκης: 20558240

TopΕΥΡΕΤΗΡΙΟ ΘΕΜΑΤΙΚΩΝ ΟΡΩΝ

Σχετιζόμενα πρόσωπα:

Σχετιζόμενοι όροι:


288 εγγραφές [21 - 40]
Σελίδα #011
Σελίδα #012
Σελίδα #013
Σελίδα #014
Σελίδα #015
Σελίδα #016
Σελίδα #017
Σελίδα #018
Σελίδα #019
Σελίδα #020
Σελίδα #021
Σελίδα #022
Σελίδα #023
Σελίδα #024
Σελίδα #025
Σελίδα #026
Σελίδα #027
Σελίδα #028
Σελίδα #029
Σελίδα #030
Σελίδα #031
Σελίδα #032
Σελίδα #033
Σελίδα #034
[Μαθητικό Βοήθημα]
Πέτρος Πετρόπουλος
Τάξη:  Β' Τεχνικού Λυκείου
Μαθητικό βοήθημα Β' Τεχνικού Λυκείου το οποίο παρουσιάζει τις κατεργασίες κοπής μετάλλου και εργαλειομηχανών κοπής. Επίσης αναφέρεται στις μηχανουργικές μετρήσεις και τα μηχανουργικά υλικά. Το βιβλίο χωρίζεται
[Σχολικό Εγχειρίδιο]
Χρυσ. Καβουνίδης
Τάξη:  Β' Τεχνικού Λυκείου
Σχολικό εγχειρίδιο Ηλεκτρολογικού Σχεδίου Β' Τεχνικού Λυκείου που αποτελεί εισαγωγή στο τεχνικό και ηλεκτρολογικό σχέδιο και παρουσιάζει τη σύνθεση και διάταξη των διαφόρων ηλεκτρικών κυκλωμάτων.
[Σχολικό Εγχειρίδιο]
Κυριάκος Τζιβανόπουλος
Τάξη:  Β' Μέσων Τεχνικών - Επαγγελματικών Σχολών
Μάθημα:  Φυτολογία
Σχολικό εγχειρίδιο Ανθοκηπευτικής της Β΄ τάξης Μέσων Τεχνικών και Επαγγελματικών Σχολών που παρουσιάζει το μηχανολογικό μέρος των γεωργικών μηχανημάτων και κάνει μια ιστορική ανασκόπηση των διαφόρων ...
[Σχολικό Εγχειρίδιο]
Βασίλειος Γ. Βαλαώρας
Τάξη:  Β' Μέσων Τεχνικών – Επαγγελματικών Σχολών
Μάθημα:  Υγιεινή
Σχολικό εγχειρίδιο Υγιεινής για τους μαθητές της Β' Μέσων Τεχνικών Επαγγελματικών Σχολών που πραγματεύεται τους περιβαλλοντολογικούς και κοινωνικούς παράγοντες που επηρεάζουν την υγεία των ανθρώπων.
[Σχολικό Εγχειρίδιο]
Μωυσής Μ. Μόσχοβιτς
Τάξη:  Α' Μέσων Τεχνικών - Επαγγελματικών Σχολών
Μάθημα:  Ηλεκτρολογία
Σχολικό εγχειρίδιο Α' Μέσων Τεχνικών και Επαγγελματικών Σχολών που εστιάζει στον ηλεκτρισμό, τον μαγνητισμό και τον ηλεκτρομαγνητισμό και τις εφαρμογές τους.
[Σχολικό Εγχειρίδιο]
Τηλέμαχος Ιωαν. Καλβουρίδης
Τάξη:  Β' Επαγγελματικού Λυκείου
Μάθημα:  Πληροφορική
Σχολικό εγχειρίδιο Πληροφορικής Β΄ Επαγγελματικού Λυκείου το οποίο εισάγει τους μαθητές στη λογική του προγραμματισμού και των ηλεκτρονικών υπολογιστών με έμφαση με τις γλώσσες προγραμματισμού.
[Σχολικό Εγχειρίδιο]
Λάζαρος Λαζαρίδης
Τάξη:  Β' Μέσων Τεχνικών – Επαγγελματικών Σχολών
Μάθημα:  Μηχανική
Σχολικό εγχειρίδιο Μηχανικής για τους μαθητές της Β' τάξης των Μέσων Τεχνικών Επαγγελματικών Σχολών. Σκοπός του βιβλίου είναι να προσφέρει στους σπουδαστές τη γνώση των διαφόρων μηχανών και να τους κατατοπίσει
[Μαθητικό Βοήθημα]
Κωνσταντίνος Καγκαράκης
Τάξη:  Β' Τεχνικού Λυκείου
Μάθημα:  Χημεία
Σχολικό εγχειρίδιο Χημικής Τεχνολογίας Β΄ Τεχνικού Λυκείου που εισάγει τους μαθητές στην βιομηχανική εφαρμογή των χημικών αντιδράσεων και των φυσικών μεταβολών των σωμάτων. Ασχολείται με την ποιότητα των ...
[Μαθητικό Βοήθημα]
Ανδρέας Βασιλόπουλος
Τάξη:  Β' Μέσων Τεχνικών - Επαγγελματικών Σχολών
Μάθημα:  Χημεία
Σχολικό εγχειρίδιο Χημείας Β΄ Μέσων Τεχνικών και Επαγγελματικών Σχολών που αναφέρεται στα είδη, δομή και λειτουργία των εργαστηρίων Χημείας τα οποία διαχωρίζει σε αναλυτικά, χημικά και ερευνητικά.
[Σχολικό Εγχειρίδιο]
Γεώργιος Κ. Κοκκινάκης, Γεώργιος Καρύδης
Τάξη:  Β' Τεχνικού Λυκείου
Σχολικό εγχειρίδιο Ηλεκτροτεχνία Β' Τεχνικού Λυκείου που παρουσιάζει τις βασικές έννοιες του ηλεκτρισμού και ειδικά θέματα ηλεκτροτεχνίας