QR Code
03-20558241
Λάζαρος Λαζαρίδης

Στοιχεία Μηχανών Β ́τάξη Τεχνικού και Επαγγελματικού Λυκείου
[1979]

Σχολικό εγχειρίδιο Μηχανικής για τους μαθητές της Β' τάξης των Μέσων Τεχνικών Επαγγελματικών Σχολών. Σκοπός του βιβλίου είναι να προσφέρει στους σπουδαστές τη γνώση των διαφόρων μηχανών και να τους κατατοπίσει σχετικά με τη λειτουργία κάθε στοιχείου. Αναφέρεται στον τρόπο συντήρησης και επισκευής των μηχανών μέσα από την παράθεση εικόνων και πινάκων με τεχνικά δεδομένα.


TopΠΕΔΙΟ ΑΝΑΓΝΩΡΙΣΗΣ

Κωδικός αναγνώρισης: 03-20558241

Τίτλος: Στοιχεία Μηχανών Β ́τάξη Τεχνικού και Επαγγελματικού Λυκείου

Συγγραφέας: Λάζαρος Λαζαρίδης

Μέγεθος και υπόστρωμα: Σχολικό εγχειρίδιο, μαλακό εξώφυλλο, 272 σελίδες. Εικόνες, σκίτσα ασπρόμαυρα.

TopΠΕΔΙΟ ΠΕΡΙΕΧΟΜΕΝΟΥ

Βαθμίδα εκπαίδευσης: Δευτεροβάθμια

Τάξη: Β' Μέσων Τεχνικών – Επαγγελματικών Σχολών

Μάθημα: Μηχανική

Γλώσσα: Δημοτική

Παρουσίαση περιεχομένου: Σχολικό εγχειρίδιο Μηχανικής για τους μαθητές της Β' τάξης των Μέσων Τεχνικών Επαγγελματικών Σχολών. Σκοπός του βιβλίου είναι να προσφέρει στους σπουδαστές τη γνώση των διαφόρων μηχανών και να τους κατατοπίσει σχετικά με τη λειτουργία κάθε στοιχείου. Αναφέρεται στον τρόπο συντήρησης και επισκευής των μηχανών μέσα από την παράθεση εικόνων και πινάκων με τεχνικά δεδομένα.

TopΠΕΔΙΟ ΠΛΗΡΟΦΟΡΙΩΝ ΕΚΔΟΣΗΣ

Εκδότης: Ίδρυμα Ευγενίδου

Έτος έκδοσης: 1979

Τόπος έκδοσης: Αθήνα

Έτος έγκρισης: 1979

TopΠΕΔΙΟ ΠΑΡΑΤΗΡΗΣΕΩΝ

Εντοπισμός πρωτοτύπου: Βιβλιοθήκη της Βουλής των Ελλήνων

Κωδικός βιβλιοθήκης: 20558241

TopΕΥΡΕΤΗΡΙΟ ΘΕΜΑΤΙΚΩΝ ΟΡΩΝ

Σχετιζόμενα πρόσωπα:

Σχετιζόμενοι όροι:


280 εγγραφές [221 - 240]
Σελίδα #211
Σελίδα #212
Σελίδα #213
Σελίδα #214
Σελίδα #215
Σελίδα #216
Σελίδα #217
Σελίδα #218
Σελίδα #219
Σελίδα #220
Σελίδα #221
Σελίδα #222
Σελίδα #223
Σελίδα #224
Σελίδα #225
Σελίδα #226
Σελίδα #227
Σελίδα #228
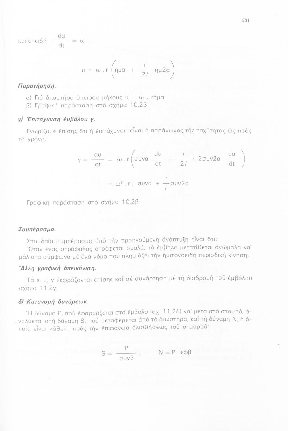
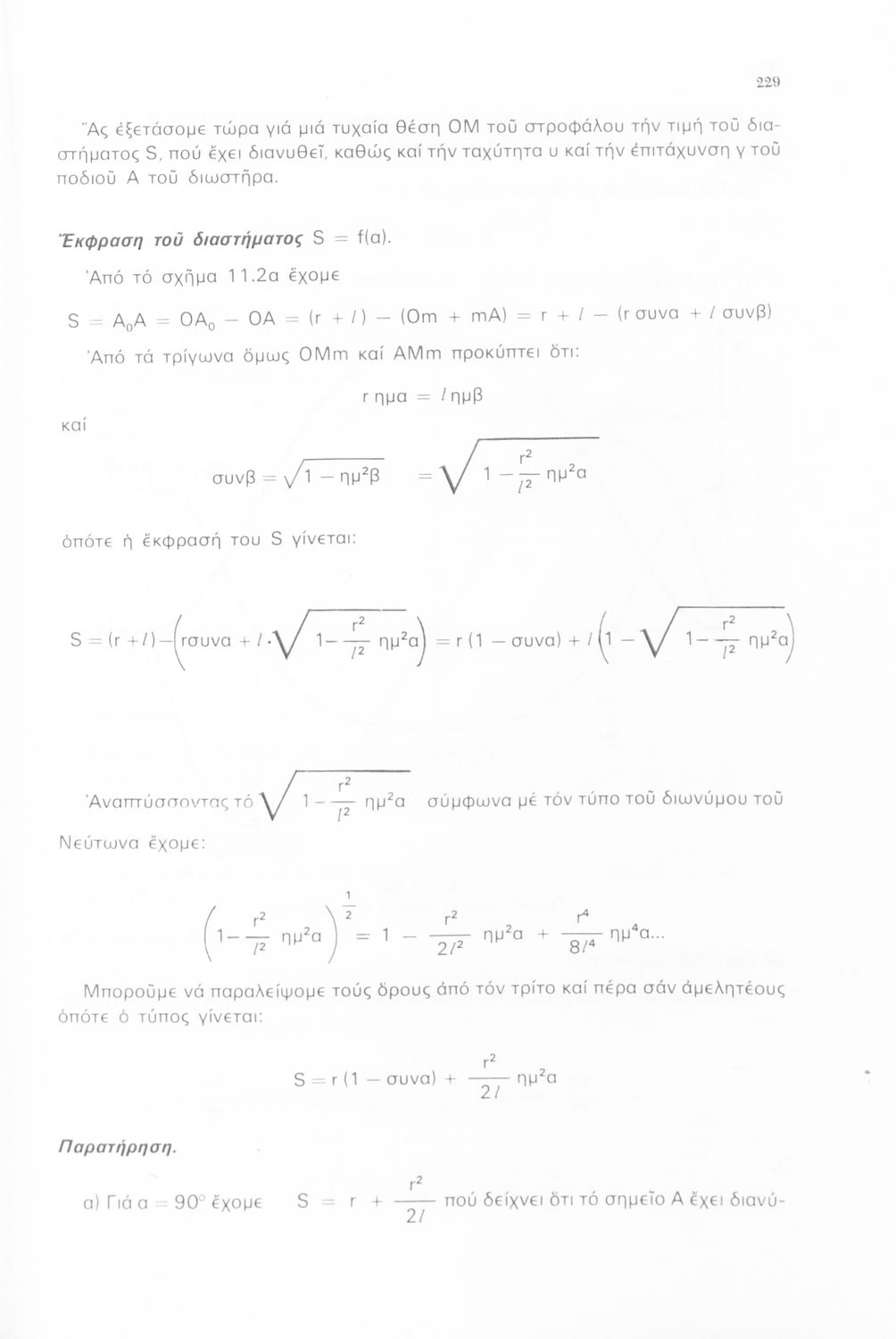
Σελίδα #229
Σελίδα #230
Σελίδα #231
Σελίδα #232
Σελίδα #233
Σελίδα #234
[Σχολικό Εγχειρίδιο]
Αγαθοκλής Υφούλης
Τάξη:  Α' Μέσων Τεχνικών - Επαγγελματικών Σχολών
Μάθημα:  Βιολογία
Σχολικό εγχειρίδιο για τους μαθητές της Α' τάξης των Μέσων Τεχνικών Επαγγελματικών Σχολών. Εισάγει τους μαθητές στις βασικές έννοιες και αρχές της Γενετικής και παρουσιάζει την ανάπτυξη των φυτών και των ζώων ...
[Σχολικό Εγχειρίδιο]
Σταύρος Ανδρουλιδάκης, Νίνα Παπαδοπούλου-Ανδρουλιδάκη, Κυριάκος Τζιβανόπουλος
Τάξη:  Α' Μέσων Τεχνικών - Επαγγελματικών Σχολών
Μάθημα:  Φυτολογία
Σχολικό εγχειρίδιο για τους μαθητές της Α' τάξης των Μέσων Τεχνικών Επαγγελματικών Σχολών. Το βιβλίο ασχολείται με τις ιδιότητες του εδάφους, τη σύσταση, τις φυσικές και χημικές ιδιότητες τα επίπεδα υγρασίας, ...
[Σχολικό Εγχειρίδιο]
Βασίλειος Γ. Βαλαώρας
Τάξη:  Α' Μέσων Τεχνικών - Επαγγελματικών Σχολών
Σχολικό εγχειρίδιο για τους μαθητές της Α' τάξης των Μέσων Τεχνικών Επαγγελματικών Σχολών. Αποτελεί μια εισαγωγή για τη σχέση μεταξύ φυσικού και κοινωνικού περιβάλλοντος και της ανθρώπινης υγείας. Περιγράφει ...
[Σχολικό Εγχειρίδιο]
Βασίλειος Γ. Βαλαώρας
Τάξη:  Β' Μέσων Τεχνικών – Επαγγελματικών Σχολών
Μάθημα:  Υγιεινή
Σχολικό εγχειρίδιο Υγιεινής για τους μαθητές της Β' Μέσων Τεχνικών Επαγγελματικών Σχολών που πραγματεύεται τους περιβαλλοντολογικούς και κοινωνικούς παράγοντες που επηρεάζουν την υγεία των ανθρώπων.
[Σχολικό Εγχειρίδιο]
Μωυσής Μ. Μόσχοβιτς
Τάξη:  Α' Μέσων Τεχνικών - Επαγγελματικών Σχολών
Μάθημα:  Ηλεκτρολογία
Σχολικό εγχειρίδιο Α' Μέσων Τεχνικών και Επαγγελματικών Σχολών που εστιάζει στον ηλεκτρισμό, τον μαγνητισμό και τον ηλεκτρομαγνητισμό και τις εφαρμογές τους.
[Σχολικό Εγχειρίδιο]
Σ. Κοντοράβδης
Τάξη:  Α' Τεχνικού και Επαγγελματικού Λυκείου
Μάθημα:  Ηλεκτρολογία
Σχολικό εγχειρίδιο Μηχανικής Α' Τεχνικού και Επαγγελματικού Λυκείου που αποσκοπεί στην παροχή τεχνικών γνώσεων στη χρήση των οργάνων και της συνδεσμολογίας κυκλωμάτων καθώς και στη δημιουργία τεχνικής ...
[Μαθητικό Βοήθημα]
Πύρρος Παπαδημητρίου
Τάξη:  Α' Τεχνικού και Επαγγελματικού Λυκείου
Μάθημα:  Φυσική
Σχολικό εγχειρίδιο της Α΄ Τάξις των Επαγγελματικών και Τεχνικών Λυκείων. Περιλαμβάνει στοιχειώδεις γνώσεις φυσικής, της μηχανικής, της βαρύτητας, της τριβής, της υδροστατικής, αεροστατικής. Συνεχίζει με τις ...
[Σχολικό Εγχειρίδιο]
Παν. Θ. Χατζηιωάννου
Τάξη:  Α' Τεχνικού και Επαγγελματικού Λυκείου
Μάθημα:  Τεχνολογία
Σχολικό εγχειρίδιο Α΄ Τεχνικού και Επαγγελματικού Λυκείου που εξετάζει την γέννηση και την εξέλιξη της τεχνολογίας και το ρόλο της στην εξέλιξη της ανθρωπότητας.
[Σχολικό Εγχειρίδιο]
Σταύρος Ι. Ανδρουλιδάκης
Τάξη:  Α' Τεχνικού και Επαγγελματικού Λυκείου
Μάθημα:  Φυτολογία
Σχολικό εγχειρίδιο Α΄ Τεχνικού και Επαγγελματικού Λυκείου που εξετάζει τη το ρόλο της γεωργίας από την αρχαιότητα μέχρι και τις μέρες μας και παρουσιάζει το ρόλο της γεωργίας στη σύγχρονη ελληνική οικονομία. ...
[Σχολικό Εγχειρίδιο]
Ευστάθιος Ζάχαρης
Τάξη:  Α' Τεχνικού και Επαγγελματικού Λυκείου
Σχολικό εγχειρίδιο Επαγγελματικού Προσανατολισμού για την Α΄ τάξη του Τεχνικού και Επαγγελματικού Λυκείου που παρουσιάζει στους μαθητές τις επαγγελματικές επιλογές στους τομείς της φυτικής και ζωικής παραγωγής