QR Code
03-20558248
Γεώργιος Κ. Κοκκινάκης, Γεώργιος Καρύδης

Ηλεκτροτεχνία Β' τάξη Τεχνικού Λυκείου
[1979]

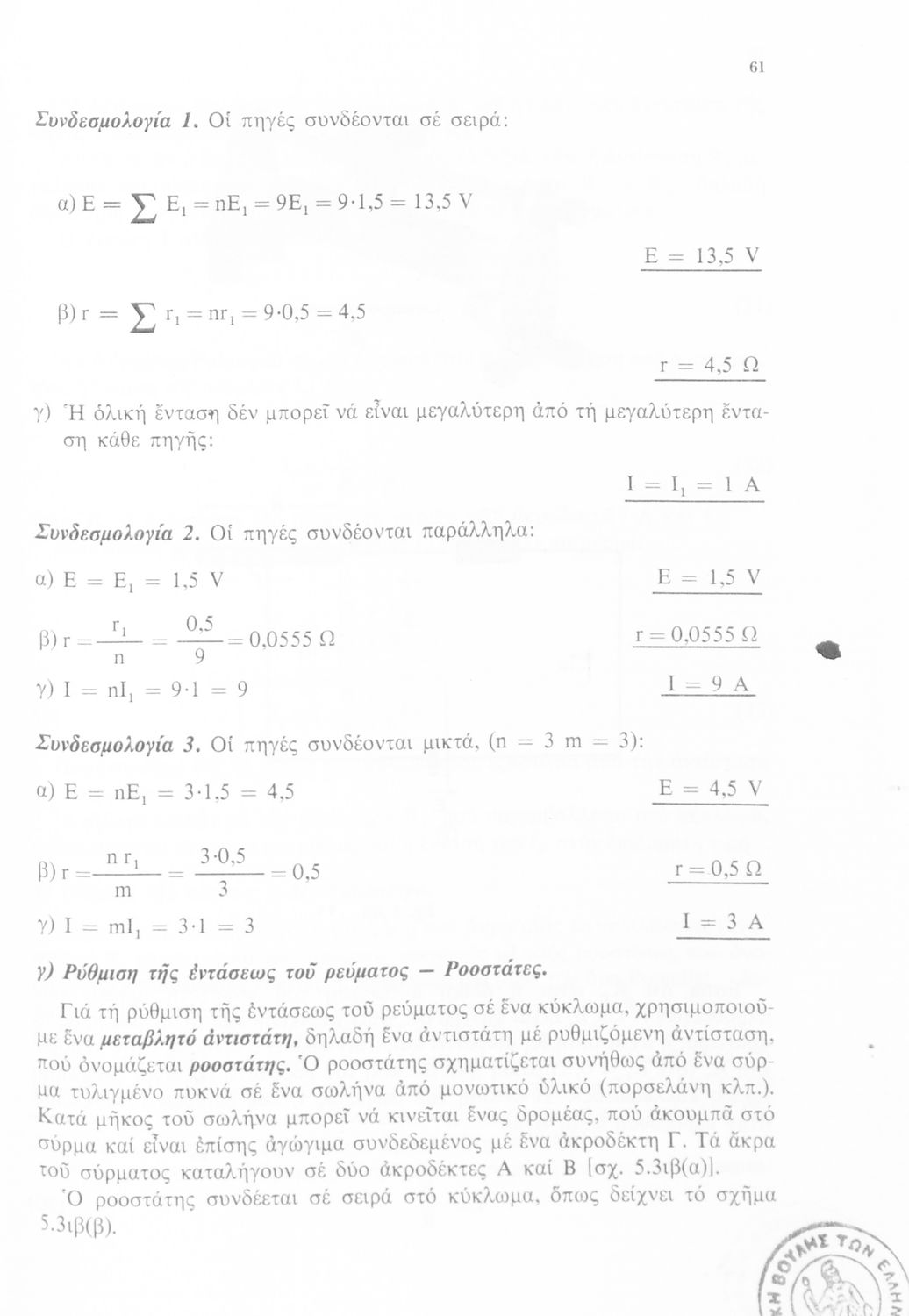
Σχολικό εγχειρίδιο Ηλεκτροτεχνία Β' Τεχνικού Λυκείου που παρουσιάζει τις βασικές έννοιες του ηλεκτρισμού και ειδικά θέματα ηλεκτροτεχνίας


TopΠΕΔΙΟ ΑΝΑΓΝΩΡΙΣΗΣ

Κωδικός αναγνώρισης: 03-20558248

Τίτλος: Ηλεκτροτεχνία Β' τάξη Τεχνικού Λυκείου

Συγγραφέας: Γεώργιος Κ. Κοκκινάκης, Γεώργιος Καρύδης

Μέγεθος και υπόστρωμα: Σχολικό εγχειρίδιο, μαλακό εξώφυλλο, 216 σελίδες. Εικόνες, σκίτσα ασπρόμαυρα.

TopΠΕΔΙΟ ΠΕΡΙΕΧΟΜΕΝΟΥ

Βαθμίδα εκπαίδευσης: Δευτεροβάθμια

Τάξη: Β' Τεχνικού Λυκείου

Μάθημα: Ηλεκτροτεχνία

Γλώσσα: Δημοτική

Παρουσίαση περιεχομένου: Σχολικό εγχειρίδιο Ηλεκτροτεχνία Β' Τεχνικού Λυκείου που παρουσιάζει τις βασικές έννοιες του ηλεκτρισμού και ειδικά θέματα ηλεκτροτεχνίας

TopΠΕΔΙΟ ΠΛΗΡΟΦΟΡΙΩΝ ΕΚΔΟΣΗΣ

Εκδότης: Ίδρυμα Ευγενίδου

Έτος έκδοσης: 1979

Τόπος έκδοσης: Αθήνα

TopΠΕΔΙΟ ΠΑΡΑΤΗΡΗΣΕΩΝ

Εντοπισμός πρωτοτύπου: Βιβλιοθήκη της Βουλής των Ελλήνων

Κωδικός βιβλιοθήκης: 20558248

TopΕΥΡΕΤΗΡΙΟ ΘΕΜΑΤΙΚΩΝ ΟΡΩΝ

Σχετιζόμενα πρόσωπα:

Σχετιζόμενοι όροι:


226 εγγραφές [61 - 80]
Σελίδα #061
Σελίδα #062
Σελίδα #063
Σελίδα #064
Σελίδα #065
Σελίδα #066
Σελίδα #067
Σελίδα #068
Σελίδα #069
Σελίδα #070
Σελίδα #071
Σελίδα #072
Σελίδα #073
Σελίδα #074
Σελίδα #075
Σελίδα #076
Σελίδα #077
Σελίδα #078
Σελίδα #079
Σελίδα #080
Σελίδα #081
Σελίδα #082
Σελίδα #083
Σελίδα #084
[Σχολικό Εγχειρίδιο]
Βασίλειος Γ. Βαλαώρας
Τάξη:  Β' Μέσων Τεχνικών – Επαγγελματικών Σχολών
Μάθημα:  Υγιεινή
Σχολικό εγχειρίδιο Υγιεινής για τους μαθητές της Β' Μέσων Τεχνικών Επαγγελματικών Σχολών που πραγματεύεται τους περιβαλλοντολογικούς και κοινωνικούς παράγοντες που επηρεάζουν την υγεία των ανθρώπων.
[Σχολικό Εγχειρίδιο]
Γ. Φ. Δανιήλ
Τάξη:  Β' Τεχνικού Λυκείου
Μάθημα:  Μηχανική
Σχολικό εγχειρίδιο Μηχανικής Β' Τεχνικού Λυκείου που εστιάζει στη λειτουργία των θερμικών κινητηρίων μηχανών, ατμολέβητων, ατμομηχανών και αεριοστρόβιλων.
[Σχολικό Εγχειρίδιο]
Λάζαρος Λαζαρίδης
Τάξη:  Β' Μέσων Τεχνικών – Επαγγελματικών Σχολών
Μάθημα:  Μηχανική
Σχολικό εγχειρίδιο Μηχανικής για τους μαθητές της Β' τάξης των Μέσων Τεχνικών Επαγγελματικών Σχολών. Σκοπός του βιβλίου είναι να προσφέρει στους σπουδαστές τη γνώση των διαφόρων μηχανών και να τους κατατοπίσει
[Μαθητικό Βοήθημα]
Πέτρος Πετρόπουλος
Τάξη:  Β' Τεχνικού Λυκείου
Μαθητικό βοήθημα Β' Τεχνικού Λυκείου το οποίο παρουσιάζει τις κατεργασίες κοπής μετάλλου και εργαλειομηχανών κοπής. Επίσης αναφέρεται στις μηχανουργικές μετρήσεις και τα μηχανουργικά υλικά. Το βιβλίο χωρίζεται
[Μαθητικό Βοήθημα]
Κωνσταντίνος Καγκαράκης
Τάξη:  Β' Τεχνικού Λυκείου
Μάθημα:  Χημεία
Σχολικό εγχειρίδιο Χημικής Τεχνολογίας Β΄ Τεχνικού Λυκείου που εισάγει τους μαθητές στην βιομηχανική εφαρμογή των χημικών αντιδράσεων και των φυσικών μεταβολών των σωμάτων. Ασχολείται με την ποιότητα των ...
[Μαθητικό Βοήθημα]
Ανδρέας Βασιλόπουλος
Τάξη:  Β' Μέσων Τεχνικών - Επαγγελματικών Σχολών
Μάθημα:  Χημεία
Σχολικό εγχειρίδιο Χημείας Β΄ Μέσων Τεχνικών και Επαγγελματικών Σχολών που αναφέρεται στα είδη, δομή και λειτουργία των εργαστηρίων Χημείας τα οποία διαχωρίζει σε αναλυτικά, χημικά και ερευνητικά.
[Σχολικό Εγχειρίδιο]
Χρυσ. Καβουνίδης
Τάξη:  Β' Τεχνικού Λυκείου
Σχολικό εγχειρίδιο Ηλεκτρολογικού Σχεδίου Β' Τεχνικού Λυκείου που αποτελεί εισαγωγή στο τεχνικό και ηλεκτρολογικό σχέδιο και παρουσιάζει τη σύνθεση και διάταξη των διαφόρων ηλεκτρικών κυκλωμάτων.
[Σχολικό Εγχειρίδιο]
Κυριάκος Τζιβανόπουλος
Τάξη:  Β' Μέσων Τεχνικών - Επαγγελματικών Σχολών
Μάθημα:  Φυτολογία
Σχολικό εγχειρίδιο Ανθοκηπευτικής της Β΄ τάξης Μέσων Τεχνικών και Επαγγελματικών Σχολών που παρουσιάζει το μηχανολογικό μέρος των γεωργικών μηχανημάτων και κάνει μια ιστορική ανασκόπηση των διαφόρων ...
[Σχολικό Εγχειρίδιο]
Μωυσής Μ. Μόσχοβιτς
Τάξη:  Β' Μέσων Τεχνικών - Επαγγελματικών Σχολών
Μάθημα:  Ηλεκτρολογία
Σχολικό εγχειρίδιο Β΄ Μέσων Τεχνικών και Επαγγελματικών Σχολών το οποίο εισάγει τους μαθητές στις βασικές έννοιες των ηλεκτρικών εγκαταστάσεων, αναλύει τα μέρη τους, και δίνει οδηγίες για την κατασκευή τους ...
[Σχολικό Εγχειρίδιο]
Γεώργιος Κ. Κοκκινάκης, Γεώργιος Καρύδης
Τάξη:  Γ' Τεχνικού Λυκείου
Σχολικό εγχειρίδιο ΗλεκτροτεχνίαΓ' Τεχνικού Λυκείου που παρουσιάζει τις βασικές έννοιες του ηλεκτρισμού και ειδικά θέματα ηλεκτροτεχνίας