QR Code
03-20558282
Γιώργης Ρ. Παλαιολόγος, Ελένη Φ. Φιλιππίδου

Βιοχημεία, Γ΄ τάξη Επαγγελματικού Λυκείου
[1954]

Σχολικό εγχειρίδιο Βιοχημείας της Γ' τάξης Μέσων Τεχνικών και Επαγγελματικών Σχολών το οποίο ασχολείται με τη δομή και τη λειτουργία της ύλης που έχει ζωή σε μοριακό επίπεδο εστιάζοντας στην ανάλυση του νερού.


TopΠΕΔΙΟ ΑΝΑΓΝΩΡΙΣΗΣ

Κωδικός αναγνώρισης: 03-20558282

Τίτλος: Βιοχημεία, Γ΄ τάξη Επαγγελματικού Λυκείου

Συγγραφέας: Γιώργης Ρ. Παλαιολόγος, Ελένη Φ. Φιλιππίδου

Μέγεθος και υπόστρωμα: Μαθητικό βοήθημα, μαλακό εξώφυλλο, 216 σελίδες. Εικόνες, σκίτσα ασπρόμαυρα.

TopΠΕΔΙΟ ΠΕΡΙΕΧΟΜΕΝΟΥ

Βαθμίδα εκπαίδευσης: Δευτεροβάθμια

Τάξη: Γ' Μέσων Τεχνικών - Επαγγελματικών Σχολών

Μάθημα: Χημεία

Γλώσσα: Δημοτική

Παρουσίαση περιεχομένου: Σχολικό εγχειρίδιο Βιοχημείας της Γ' τάξης Μέσων Τεχνικών και Επαγγελματικών Σχολών το οποίο ασχολείται με τη δομή και τη λειτουργία της ύλης που έχει ζωή σε μοριακό επίπεδο εστιάζοντας στην ανάλυση του νερού.

TopΠΕΔΙΟ ΠΛΗΡΟΦΟΡΙΩΝ ΕΚΔΟΣΗΣ

Εκδότης: Ίδρυμα Ευγενίδου

Έτος έκδοσης: 1954

Τόπος έκδοσης: Αθήνα

TopΠΕΔΙΟ ΠΑΡΑΤΗΡΗΣΕΩΝ

Εντοπισμός πρωτοτύπου: Βιβλιοθήκη της Βουλής των Ελλήνων

Κωδικός βιβλιοθήκης: 20558282

TopΕΥΡΕΤΗΡΙΟ ΘΕΜΑΤΙΚΩΝ ΟΡΩΝ

Σχετιζόμενα πρόσωπα:

Σχετιζόμενοι όροι:


228 εγγραφές [101 - 120]
Σελίδα #091
Σελίδα #092
Σελίδα #093
Σελίδα #094
Σελίδα #095
Σελίδα #096
Σελίδα #097
Σελίδα #098
Σελίδα #099
Σελίδα #100
Σελίδα #101
Σελίδα #102
Σελίδα #103
Σελίδα #104
Σελίδα #105
Σελίδα #106
Σελίδα #107
Σελίδα #108
Σελίδα #109
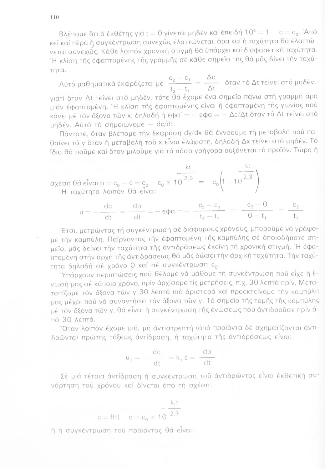
Σελίδα #110
Σελίδα #111
Σελίδα #112
Σελίδα #113
Σελίδα #114
[Σχολικό Εγχειρίδιο]
Αγαθοκλής Υφούλης, Παντούσης Καλτσίκης
Τάξη:  Γ' Επαγγελματικού Λυκείου
Μάθημα:  Φυτολογία
Σχολικό εγχειρίδιο Γ΄ Επαγγελματικού Λυκείου που ασχολείται με την καλλιέργεια φυτών με τη χρήση ζώων ή μηχανικών μέσων.
[Σχολικό Εγχειρίδιο]
Αχιλλέας Α. Τζάρτζανος
Τάξη:  Α' Λυκείου / Β' Λυκείου / Γ' Λυκείου
Σχολικό εγχειρίδιο Αρχαίων Ελληνικών για τις Α΄, Β΄ και Γ΄ Λυκείου που εξετάζει τα μέρη του λόγου και την σύνταξή τους.
[Σχολικό Εγχειρίδιο]
Χρ. Γ. Παπανικολάου
Τάξη:  Α' Λυκείου / Β' Λυκείου / Γ' Λυκείου
Μάθημα:  Μαθηματικά
Σχολικό εγχειρίδιο Γεωμετρίας για τις Α΄, Β΄ και Γ΄ Λυκείου που περιλαμβάνει θεωρία και ασκήσεις και είναι χωρισμένο σε Επιπεδομετρία και Στερεομετρία.
[Σχολικό Εγχειρίδιο]
Α.Β. Μουμτζάκης
Τάξη:  Α' Λυκείου / Β' Λυκείου / Γ' Λυκείου
Σχολικό εγχειρίδιο Αρχαίων Ελληνικών για τις Α΄, Β΄ και Γ΄ Λυκείου που εξετάζει τα μέρη του λόγου και την σύνταξή τους.
[Σχολικό Εγχειρίδιο]
Αχιλλέας Τζάρτζανος
Τάξη:  Γ' Γυμνασίου / Α' Λυκείου
Σχολικό εγχειρίδιο Αρχαίων Ελληνικών Γ΄ Γυμνασίου και Α΄ Λυκείου που εξετάζει τα μέρη του λόγου και την σύνταξή τους.
[Σχολικό Εγχειρίδιο]
Χρ. Γ. Παπανικολάου
Τάξη:  Α' Λυκείου / Β' Λυκείου / Γ' Λυκείου
Μάθημα:  Μαθηματικά
Σχετιζόμενοι όροι:  πολύγωνα, κύκλος, εμβαδόν, όγκος, προβολή
Σχολικό εγχειρίδιο Γεωμετρίας για τις Α΄, Β΄ και Γ΄ Λυκείου που περιλαμβάνει θεωρία και ασκήσεις και είναι χωρισμένο σε Επιπεδομετρία και Στερεομετρία.
[Σχολικό Εγχειρίδιο]
Ευάγγελος Θεοδώρου
Τάξη:  Α' Λυκείου / Β' Λυκείου / Γ' Λυκείου
Μάθημα:  Θρησκευτικά
Σχολικό εγχειρίδιο Θρησκευτικών Α΄, Β΄, Γ΄ Λυκείου που περιλαμβάνει κείμενα των Πατέρων της Εκκλησίας, τις μεταφράσεις τους και βιογραφικά σημειώματα των συγγραφέων. Ο συγγραφέας ήταν τακτικός καθηγητής του ...
[Μαθητικό Βοήθημα]
Χρήστος Γ. Παπανικολάου
Τάξη:  Α' Λυκείου
Μάθημα:  Μαθηματικά
Σχετιζόμενοι όροι:  σχήματα, τρίγωνα, κριτήρια, θεώρημα
Μαθητικό βοήθημα Γεωμετρίας Α΄ Λυκείου που περιέχει τις λύσεις των ασκήσεων 149-305 του βιβλίου Ευκλείδειος Γεωμετρία για τις τάξεις Α΄, Β΄ και Γ΄ Λυκείου του Ο.Ε.Δ.Β που είχε συγγράψει ο Χρήστος Γ. ...
[Σχολικό Εγχειρίδιο]
Θεόδωρος Ι. Μαλδογιάννης
Τάξη:  Β' Γυμνασίου / Γ' Γυμνασίου
Σχολικό εγχειρίδιο Επαγγελματικού Προσανατολισμού για τις Β΄ και Γ΄ Γυμνασίου που περιέχει γενικές αρχές επαγγελματικής σταδιοδρομίας και συγκεκριμένες πληροφορίες για την επιστημονική εξέλιξη και ...
[Μαθητικό Βοήθημα]
Ιωάννης Θ. Ρώσσης (μετάφραση, σχόλια)
Τάξη:  Γ' Λυκείου
Σχετιζόμενοι όροι:  Βάττος, Κορύδων, Αλιείς, Μενάλκας
Μαθητικό βοήθημα Αρχαίων Ελληνικών Γ΄ Λυκείου που περιέχει τα Ειδύλλια ου Θεόκριτου, μετάφραση, και γραμματικά και συντακτικά σχόλια.