QR Code
03-20560392
Α. Γ. Παπαπαύλου

Θερμοδυναμική
[1972]

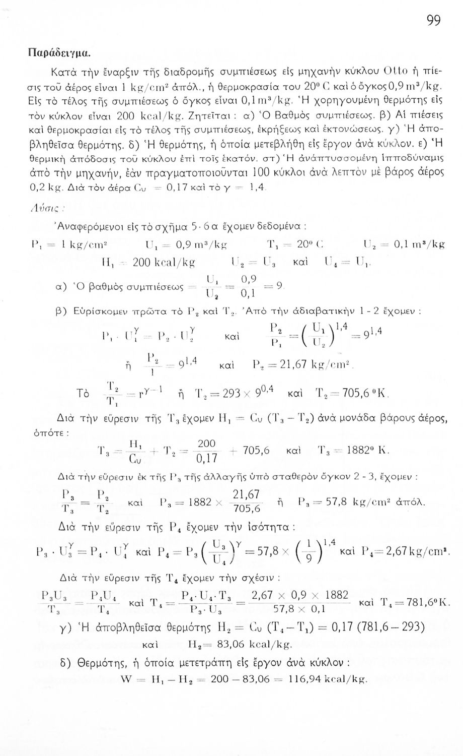
Σχολικό εγχειρίδιο Θερμοδυναμικής για τις Δημόσιες Σχολές του Υπουργείου Εμπορικής Ναυτιλίας που περιέχει ασκήσεις και θεωρία, πίνακες και διαγράμματα


TopΠΕΔΙΟ ΑΝΑΓΝΩΡΙΣΗΣ

Κωδικός αναγνώρισης: 03-20560392

Τίτλος: Θερμοδυναμική

Συγγραφέας: Α. Γ. Παπαπαύλου

Μέγεθος και υπόστρωμα: Σχολικό εγχειρίδιο, μαλακό εξώφυλλο, 380 σελίδες. Σκίτσα, εικόνες, σχεδιαγράμματα (ασπρόμαυρα).

TopΠΕΔΙΟ ΠΕΡΙΕΧΟΜΕΝΟΥ

Βαθμίδα εκπαίδευσης: Δευτεροβάθμια

Τάξη: Τεχνικές Σχολές

Μάθημα: Θερμοδυναμική

Γλώσσα: Δημοτική

Παρουσίαση περιεχομένου: Σχολικό εγχειρίδιο Θερμοδυναμικής για τις Δημόσιες Σχολές του Υπουργείου Εμπορικής Ναυτιλίας που περιέχει ασκήσεις και θεωρία, πίνακες και διαγράμματα

TopΠΕΔΙΟ ΠΛΗΡΟΦΟΡΙΩΝ ΕΚΔΟΣΗΣ

Εκδότης: Ίδρυμα Ευγενίδου

Έτος έκδοσης: 1972

Τόπος έκδοσης: Αθήνα

TopΠΕΔΙΟ ΠΑΡΑΤΗΡΗΣΕΩΝ

Εντοπισμός πρωτοτύπου: Βιβλιοθήκη της Βουλής των Ελλήνων

Κωδικός βιβλιοθήκης: 20560392

TopΕΥΡΕΤΗΡΙΟ ΘΕΜΑΤΙΚΩΝ ΟΡΩΝ

Σχετιζόμενα πρόσωπα:

Σχετιζόμενοι όροι:


400 εγγραφές [101 - 120]
Σελίδα #101
Σελίδα #102
Σελίδα #103
Σελίδα #104
Σελίδα #105
Σελίδα #106
Σελίδα #107
Σελίδα #108
Σελίδα #109
Σελίδα #110
Σελίδα #111
Σελίδα #112
Σελίδα #113
Σελίδα #114
Σελίδα #115
Σελίδα #116
Σελίδα #117
Σελίδα #118
Σελίδα #119
Σελίδα #120
Σελίδα #121
Σελίδα #122
Σελίδα #123
Σελίδα #124
[Σχολικό Εγχειρίδιο]
Σαλτερής Γ. Περιστεράκης
Τάξη:  Γ' Γυμνασίου
Μάθημα:  Φυσική
Σχολικό εγχειρίδιο Φυσικής Πειραματικής Γ΄ Γυμνασίου που εστιάζει στα φυσικά φαινόμενα της μηχανικής, της θερμοδυναμικής, του ηλεκτρισμού, του μαγνητισμού, και της οπτικής.
[Σχολικό Εγχειρίδιο]
Σαλτερής Γ. Περιστεράκης
Τάξη:  Γ' Γυμνασίου
Μάθημα:  Φυσική
Σχολικό εγχειρίδιο Φυσικής Γ΄ Γυμνασίου που εστιάζει στα φυσικά φαινόμενα της μηχανικής, της θερμοδυναμικής, του ηλεκτρισμού, του μαγνητισμού, και της οπτικής. Φέρει το σύμβολο της δικτατορίας.
[Μαθητικό Βοήθημα]
Κων. Λάζος
Μάθημα:  Φυσική
Μαθητικό βοήθημα για το μάθημα της Φυσικής. Το σύγγραμμα ήταν μελέτη του συγγραφέα με σημειώσεις για τη Θερμοδυναμικής για τους σπουδαστές. Ο συγγραφέας ήταν Καθηγητής Διπλωματούχος ΕΜΠ Μηχανολόγος ...
[Σχολικό Εγχειρίδιο]
Σαλτερής Γ. Περιστεράκης
Τάξη:  Γ' Γυμνασίου
Μάθημα:  Φυσική
Σχολικό εγχειρίδιο Φυσικής Πειραματικής Γ΄ Γυμνασίου που εστιάζει στα φυσικά φαινόμενα της μηχανικής, της θερμοδυναμικής, του ηλεκτρισμού, του μαγνητισμού, και της οπτικής.
[Σχολικό Εγχειρίδιο]
Σαλτερής Γ. Περιστεράκης
Τάξη:  Γ' Γυμνασίου
Μάθημα:  Φυσική
Σχολικό εγχειρίδιο Φυσικής Πειραματικής Γ΄ Γυμνασίου που εστιάζει στα φυσικά φαινόμενα της μηχανικής, της θερμοδυναμικής, του ηλεκτρισμού, του μαγνητισμού, και της οπτικής.
[Σχολικό Εγχειρίδιο]
Αλκίνοος Μάζης
Τάξη:  Β' Λυκείου
Μάθημα:  Φυσική
Σχολικό εγχειρίδιο Φυσικής Β΄ Λυκείου που περιλαμβάνει θεωρία, παραδείγματα και ασκήσεις στα πεδία της μηχανικής, της θερμότητας, του ηλεκτρισμού, του μαγνητισμού και της οπτικής.
[Σχολικό Εγχειρίδιο]
Σαλτερής Γ. Περιστεράκης
Τάξη:  Γ' Γυμνασίου
Μάθημα:  Φυσική
Σχολικό εγχειρίδιο Φυσικής Πειραματικής Γ΄ Γυμνασίου που εστιάζει στα φυσικά φαινόμενα της μηχανικής, της θερμοδυναμικής, του ηλεκτρισμού, του μαγνητισμού, και της οπτικής.
[Σχολικό Εγχειρίδιο]
Σαλτερής Γ. Περιστεράκης
Τάξη:  Γ' Γυμνασίου
Μάθημα:  Φυσική
Σχολικό εγχειρίδιο Φυσικής Πειραματικής Γ΄ Γυμνασίου που εστιάζει στα φυσικά φαινόμενα της μηχανικής, της θερμοδυναμικής, του ηλεκτρισμού, του μαγνητισμού, και της οπτικής.
[Μαθητικό Βοήθημα]
Πύρρος Παπαδημητρίου
Τάξη:  Α' Τεχνικού και Επαγγελματικού Λυκείου
Μάθημα:  Φυσική
Σχολικό εγχειρίδιο της Α΄ Τάξις των Επαγγελματικών και Τεχνικών Λυκείων. Περιλαμβάνει στοιχειώδεις γνώσεις φυσικής, της μηχανικής, της βαρύτητας, της τριβής, της υδροστατικής, αεροστατικής. Συνεχίζει με τις ...
[Σχολικό Εγχειρίδιο]
Γ. Φ. Δανιήλ
Τάξη:  Β' Τεχνικού Λυκείου
Μάθημα:  Μηχανική
Σχολικό εγχειρίδιο Μηχανικής Β' Τεχνικού Λυκείου που εστιάζει στη λειτουργία των θερμικών κινητηρίων μηχανών, ατμολέβητων, ατμομηχανών και αεριοστρόβιλων.