QR Code
03-20560396
Παύλος Οδ. Σακελλαρίδης

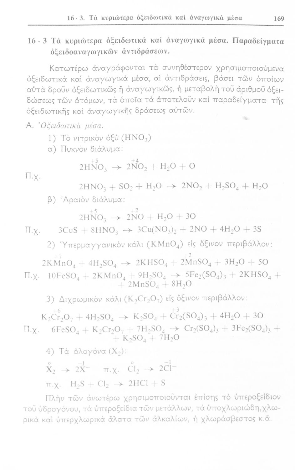
Γενική Χημεία τόμος Α΄
[1972]

Σχολικό εγχειρίδιο Χημείας για την Τεχνική Εκπαίδευση που αποτελεί μια γενική επισκόπηση της Χημείας, εστιάζει στις έννοιες της ύλης και της ενέργειας, και των χημικών στοιχείων και ενώσεων και εξετάζει τους νόμους της ατομικής και μοριακής θεωρίας.


TopΠΕΔΙΟ ΑΝΑΓΝΩΡΙΣΗΣ

Κωδικός αναγνώρισης: 03-20560396

Τίτλος: Γενική Χημεία τόμος Α΄

Συγγραφέας: Παύλος Οδ. Σακελλαρίδης

Μέγεθος και υπόστρωμα: Σχολικό εγχειρίδιο, μαλακό εξώφυλλο, 176 σελίδες.

TopΠΕΔΙΟ ΠΕΡΙΕΧΟΜΕΝΟΥ

Βαθμίδα εκπαίδευσης: Δευτεροβάθμια

Μάθημα: Χημεία

Γλώσσα: Απλή καθαρεύουσα

Παρουσίαση περιεχομένου: Σχολικό εγχειρίδιο Χημείας για την Τεχνική Εκπαίδευση που αποτελεί μια γενική επισκόπηση της Χημείας, εστιάζει στις έννοιες της ύλης και της ενέργειας, και των χημικών στοιχείων και ενώσεων και εξετάζει τους νόμους της ατομικής και μοριακής θεωρίας.

TopΠΕΔΙΟ ΠΛΗΡΟΦΟΡΙΩΝ ΕΚΔΟΣΗΣ

Εκδότης: Ίδρυμα Ευγενίδου

Έτος έκδοσης: 1972

Τόπος έκδοσης: Αθήνα

TopΠΕΔΙΟ ΠΑΡΑΤΗΡΗΣΕΩΝ

Εντοπισμός πρωτοτύπου: Βιβλιοθήκη της Βουλής των Ελλήνων

Κωδικός βιβλιοθήκης: 20560396

TopΕΥΡΕΤΗΡΙΟ ΘΕΜΑΤΙΚΩΝ ΟΡΩΝ

Σχετιζόμενα πρόσωπα:

Σχετιζόμενοι όροι:


196 εγγραφές [181 - 196]
Εξώφυλλο
Εξώφυλλο
Εξώφυλλο
Εξώφυλλο
Εξώφυλλο
Εξώφυλλο
Εξώφυλλο
Εξώφυλλο
Εξώφυλλο
Εξώφυλλο
Εξώφυλλο
Εξώφυλλο
Εξώφυλλο
Εξώφυλλο
Εξώφυλλο
Εξώφυλλο
  
[Παιδαγωγικό Βοήθημα]
Χρ. Παπαγεωργίου, Δημ. Κοτσιανίδης, Ιωαν. Μήτσιος
Μάθημα:  Φυσική
Παιδαγωγικό βοήθημα για το μάθημα της Φυσικής. Αρχικά, αναφέρεται στο σύστημα των φυσικών μονάδων μέτρησης. Στο δεύτερο μέρος περιέχει θεωρία της μηχανικής, της ακουστικής, της θερμότητας, του μαγνητισμού, της
[Σχολικό Εγχειρίδιο]
Βασίλειος Αιγινήτης
Τάξη:  Γ' Γυμνασίου
Μάθημα:  Φυσική, Χημεία
Σχολικό εγχειρίδιο Φυσικής και Χημείας Γ΄ Γυμνασίου που εστιάζει στα φυσικά και χημικά φαινόμενα και ειδικά στην φυσική κατάσταση των σωμάτων, στην αδράνεια και στην κίνηση. Περιέχει και στοιχεία μηχανικής.
[Σχολικό Εγχειρίδιο]
Λεωνίδας Σπ. Λιώκης
Τάξη:  Α' Λυκείου / Β' Λυκείου
Μάθημα:  Χημεία
Σχολικό εγχειρίδιο Χημείας Α΄ και Β΄ Λυκείου που περιλαμβάνει εισαγωγή στις έννοιες της Χημείας (ύλη, νόμοι χημείας, χημικές αντιδράσεις, εξισώσεις, ενώσεις), αναλυτική περιγραφή στοιχείων και των ενώσεών τους.
[Σχολικό Εγχειρίδιο]
Αχιλλέας Α. Τζάρτζανος
Μάθημα:  Νέα Ελληνικά
Σχολικό εγχειρίδιο Νέων Ελληνικών που παρουσιάζει το συντακτικό της κοινής δημοτικής μέσα από κανόνες και παραδείγματα.
[Μαθητικό Βοήθημα]
Αλέξανδρος Σπυράκης
Τάξη:  Α' Εμπορικών Σχολών
Μαθητικό βοήθημα της Α΄ Τάξης των Εξαταξίων Εμπορικών Σχολών. Περιέχει πληροφορίες για το μάθημα της φυσικής, ζωολογίας και ορυκτολογίας. Έχει ασκήσεις εμπέδωσης.
[Σχολικό Εγχειρίδιο]
Χαρ. Ι. Σημηριώτης, Νικ. Γ. Δρακόπουλος
Τάξη:  Α' Αστικού Σχολείου
Μάθημα:  Φυσική
Σχολικό εγχειρίδιο της Α΄ Τάξης των Αστικών Σχολείων για το μάθημα της Φυσικής. Παρέχει βασικές γνώσεις της Φυσικής επιστήμης και της Χημείας. Αναλύει τις ιδιότητες των σωμάτων, καθώς και της θερμότητας, του ...
[Σχολικό Εγχειρίδιο]
Θεόδωρος. Γ. Κύπριος
Τάξη:  Α' Γυμνασίου / Β' Αστικού Σχολείου Θηλέων / Γ' Αστικού Σχολείου Θηλέων
Μάθημα:  Γαλλικά
Σχετιζόμενοι όροι:  Le sou perdu, la jeune fille, le matin, la champagne, la grece
Σχολικό εγχειρίδιο Γαλλικών για την Α΄ Γυμνασίου και τις Β΄ και Γ τάξεις των Αστικών Σχολείων που περιλαμβάνει πεζά, ποιήματα, λεξιλόγιο, βιογραφικά σημειώματα των συγγραφέων και επεξηγηματικές σημειώσεις.
[Σχολικό Εγχειρίδιο]
Λεωνίδας Σπ. Λιώκης
Τάξη:  Α' Λυκείου / Β' Λυκείου
Μάθημα:  Χημεία
Σχολικό εγχειρίδιο Χημείας που απευθύνεται σε μαθητές Γυμνασίου με σκοπό τη περιγραφή εισαγωγικών εννοιών χημείας (ύλη, νόμοι χημείας, χημικές αντιδράσεις-εξισώσεις-ενώσεις). Στο βιβλίο γίνεται αναλυτική ...
[Σχολικό Εγχειρίδιο]
Γ. Μπούσγος, Ι. Ταμβακλής, Παν. Ηλιάδης (επιμέλεια)
Τάξη:  Γ' Γυμνασίου
Μάθημα:  Μαθηματικά
Σχολικό εγχειρίδιο Μαθηματικών Γ΄ Γυμνασίου που περιλαμβάνει θεωρία, παραδείγματα και ασκήσεις. Φέρει το σύμβολο της δικτατορίας.
[Σχολικό Εγχειρίδιο]
Θ. Βαβαλέτσκος, Γ. Μπούσγος
Τάξη:  Δ' Γυμνασίου
Μάθημα:  Μαθηματικά
Σχετιζόμενοι όροι:  εξισώσεις, συναρτήσεις, ανισώσεις
Σχολικό εγχειρίδιο Μαθηματικών Δ΄ Γυμνασίου χωρισμένο σε ορισμούς, παραδείγματα και ασκήσεις. Περιέχει στοιχεία Περιγραφικής Στατιστικής και Τριγωνομετρίας. Φέρει το σύμβολο της δικτατορίας.