QR Code
03-20632496
Νείλος Σακελλαρίου

Άλγεβρα Δ', Ε' και ΣΤ΄ Γυμνασίου
[1976, 18η Έκδοση]

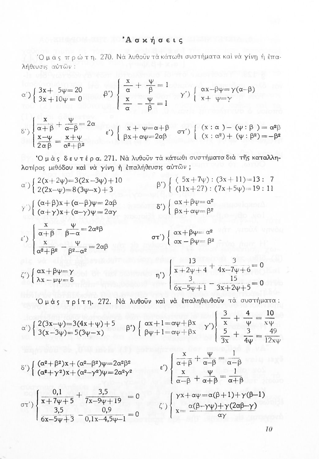
Σχολικό εγχειρίδιο Μαθηματικών Δ', Ε' και ΣΤ΄ τάξεων του Γυμνασίου που παρουσιάζει τις βασικές έννοιες της Άλγεβρας, εστιάζει τις ιδιότητες των αριθμών και περιέχει ασκήσεις εξισώσεων, λογαρίθμων και παραγώγων.


TopΠΕΔΙΟ ΑΝΑΓΝΩΡΙΣΗΣ

Κωδικός αναγνώρισης: 03-20632496

Τίτλος: Άλγεβρα Δ', Ε' και ΣΤ΄ Γυμνασίου

Συγγραφέας: Νείλος Σακελλαρίου

Μέγεθος και υπόστρωμα: Σχολικό εγχειρίδιο, μαλακό εξώφυλλο, 360 σελίδες.

TopΠΕΔΙΟ ΠΕΡΙΕΧΟΜΕΝΟΥ

Βαθμίδα εκπαίδευσης: Δευτεροβάθμια

Τάξη: Δ' Γυμνασίου / Ε' Γυμνασίου / ΣΤ' Γυμνασίου

Μάθημα: Μαθηματικά

Γλώσσα: Απλή καθαρεύουσα

Παρουσίαση περιεχομένου: Σχολικό εγχειρίδιο Μαθηματικών Δ', Ε' και ΣΤ΄ τάξεων του Γυμνασίου που παρουσιάζει τις βασικές έννοιες της Άλγεβρας, εστιάζει τις ιδιότητες των αριθμών και περιέχει ασκήσεις εξισώσεων, λογαρίθμων και παραγώγων.

TopΠΕΔΙΟ ΠΛΗΡΟΦΟΡΙΩΝ ΕΚΔΟΣΗΣ

Εκδότης: Οργανισμός Εκδόσεως Διδακτικών Βιβλίων

Έτος έκδοσης: 1976

Τόπος έκδοσης: Αθήνα

Έκδοση: 18η

Υπουργική απόφαση / Σύμβαση: 2717/28-4-1976

Έτος έγκρισης: 1976

TopΠΕΔΙΟ ΠΑΡΑΤΗΡΗΣΕΩΝ

Εντοπισμός πρωτοτύπου: Βιβλιοθήκη της Βουλής των Ελλήνων

Κωδικός βιβλιοθήκης: 20632496

TopΕΥΡΕΤΗΡΙΟ ΘΕΜΑΤΙΚΩΝ ΟΡΩΝ

Σχετιζόμενα πρόσωπα:

Σχετιζόμενοι όροι:


364 εγγραφές [141 - 160]
Σελίδα #137
Σελίδα #138
Σελίδα #139
Σελίδα #140
Σελίδα #141
Σελίδα #142
Σελίδα #143
Σελίδα #144
Σελίδα #145
Σελίδα #146
Σελίδα #147
Σελίδα #148
Σελίδα #149
Σελίδα #150
Σελίδα #151
Σελίδα #152
Σελίδα #153
Σελίδα #154
Σελίδα #155
Σελίδα #156
Σελίδα #157
Σελίδα #158
Σελίδα #159
Σελίδα #160
[Σχολικό Εγχειρίδιο]
Νείλος Σακελλαρίου
Τάξη:  Δ' Γυμνασίου / Ε' Γυμνασίου / ΣΤ' Γυμνασίου
Μάθημα:  Μαθηματικά
Σχολικό εγχειρίδιο Μαθηματικών Δ', Ε' και ΣΤ΄ τάξεων του Γυμνασίου που παρουσιάζει τις βασικές έννοιες της Άλγεβρας, εστιάζει τις ιδιότητες των αριθμών και περιέχει ασκήσεις εξισώσεων, λογαρίθμων και παραγώγων.
[Σχολικό Εγχειρίδιο]
Νείλος Σακελλαρίου
Τάξη:  Δ' Γυμνασίου / Ε' Γυμνασίου / ΣΤ' Γυμνασίου
Μάθημα:  Μαθηματικά
Σχολικό εγχειρίδιο Μαθηματικών Δ', Ε' και ΣΤ΄ τάξεων του Γυμνασίου που παρουσιάζει τις βασικές έννοιες της Άλγεβρας, εστιάζει τις ιδιότητες των αριθμών και περιέχει ασκήσεις εξισώσεων, λογαρίθμων και παραγώγων.
[Σχολικό Εγχειρίδιο]
Νείλος Σακελλαρίου
Τάξη:  Δ' Γυμνασίου / Ε' Γυμνασίου / ΣΤ' Γυμνασίου
Μάθημα:  Μαθηματικά
Σχολικό εγχειρίδιο Μαθηματικών Δ', Ε' και ΣΤ΄ τάξεων του Γυμνασίου που παρουσιάζει τις βασικές έννοιες της Άλγεβρας, εστιάζει τις ιδιότητες των αριθμών και περιέχει ασκήσεις εξισώσεων, λογαρίθμων και παραγώγων.
[Σχολικό Εγχειρίδιο]
Θουκυδίδης, Χρίστος Παπαναστασίου (σχόλια)
Τάξη:  Δ' Γυμνασίου / Ε' Γυμνασίου / ΣΤ' Γυμνασίου
Σχολικό εγχειρίδιο Αρχαίων Ελληνικών Δ΄, Ε΄ και ΣΤ΄ Γυμνασίου που περιέχει εισαγωγή στη ζωή και το έργο του Θουκυδίδη, αποσπάσματα από τα Πλαταιϊκά, τα Λεσβιακά και τον Επιτάφιο του Περικλή και ερμηνευτικές ...
[Σχολικό Εγχειρίδιο]
Θουκυδίδης, Χρισ. Παπαναστασίου (σχόλια)
Τάξη:  Δ' Γυμνασίου / Ε' Γυμνασίου / ΣΤ' Γυμνασίου
Σχολικό εγχειρίδιο Αρχαίων Ελληνικών Δ΄, Ε΄ και ΣΤ΄ Γυμνασίου που περιέχει εισαγωγή στη ζωή και το έργο του Θουκυδίδη, αποσπάσματα από τα Πλαταιϊκά, τα Λεσβιακά και τον Επιτάφιο του Περικλή και ερμηνευτικές ...
[Σχολικό Εγχειρίδιο]
Θουκυδίδης, Χρισ. Παπαναστασίου (σχόλια)
Τάξη:  Δ' Γυμνασίου / Ε' Γυμνασίου / ΣΤ' Γυμνασίου
Σχολικό εγχειρίδιο Αρχαίων Ελληνικών Δ΄, Ε΄ και ΣΤ΄ Γυμνασίου που περιέχει εισαγωγή στη ζωή και το έργο του Θουκυδίδη, αποσπάσματα από τα Πλαταιϊκά, τα Λεσβιακά και τον Επιτάφιο του Περικλή και ερμηνευτικές ...
[Σχολικό Εγχειρίδιο]
Θουκυδίδης, Χρισ. Παπαναστασίου (σχόλια)
Τάξη:  Δ' Γυμνασίου / Ε' Γυμνασίου / ΣΤ' Γυμνασίου
Σχολικό εγχειρίδιο Αρχαίων Ελληνικών Δ΄, Ε΄ και ΣΤ΄ Γυμνασίου που περιέχει αποσπάσματα από το έργο του Θουκυδίδη Ιστορία, ερμηνευτικά και πραγματολογικά σχόλια, και γραμματικές παρατηρήσεις. Φέρει το σύμβολο ...
[Σχολικό Εγχειρίδιο]
Θουκυδίδης, Χρ. Παπαναστασίου (σχόλια)
Τάξη:  Δ' Γυμνασίου / Ε' Γυμνασίου / ΣΤ' Γυμνασίου
Σχολικό εγχειρίδιο Αρχαίων Ελληνικών Δ΄, Ε΄ και ΣΤ΄ Γυμνασίου που περιέχει εισαγωγή στη ζωή και το έργο του Θουκυδίδη, αποσπάσματα από τα Πλαταιϊκά, τα Λεσβιακά και τον Επιτάφιο του Περικλή και ερμηνευτικές ...
[Σχολικό Εγχειρίδιο]
Θουκυδίδης, Χρ. Παπαναστασίου (σχόλια)
Τάξη:  Δ' Γυμνασίου / Ε' Γυμνασίου / ΣΤ' Γυμνασίου
Σχολικό εγχειρίδιο Αρχαίων Ελληνικών Δ΄, Ε΄ και ΣΤ΄ Γυμνασίου που περιέχει εισαγωγή στη ζωή και το έργο του Θουκυδίδη, αποσπάσματα από τα Πλαταιϊκά, τα Λεσβιακά και τον Επιτάφιο του Περικλή και ερμηνευτικές ...
[Σχολικό Εγχειρίδιο]
Αχιλλέας Τζάρτζανος
Τάξη:  Δ' Γυμνασίου / Ε' Γυμνασίου / ΣΤ' Γυμνασίου
Μάθημα:  Νέα Ελληνικά
Σχολικό εγχειρίδιο Λατινικών Δ΄, Ε΄ και ΣΤ΄ Γυμνασίου που περιλαμβάνει γραμματική και συντακτικό και είναι χωρισμένο σε φθογγολογικό, τυπολογικό και ετυμολογικό μέρος. Φέρει το σύμβολο της δικτατορίας.