QR Code
03-20632564
Νικόλαος Νικολάου

Τριγωνομετρία δια την Η' τάξιν των Γυμνασίων
[1965, 8η Έκδοση]

Σχολικό εγχειρίδιο Τριγωνομετρίας της ΣΤ΄ Γυμνασίου. Το βιβλίο περιέχει ασκήσεις τριγωνομετρίας. Εισάγει τους μαθητές στα διαφορετικά είδη τριγώνων, τις ιδιότητες και τα χαρακτηριστικά τους καθώς και στον τρόπο υπολογισμού διαφόρων στοιχείων τους όπως το εμβαδόν και η περιφέρεια.


TopΠΕΔΙΟ ΑΝΑΓΝΩΡΙΣΗΣ

Κωδικός αναγνώρισης: 03-20632564

Τίτλος: Τριγωνομετρία δια την Η' τάξιν των Γυμνασίων

Συγγραφέας: Νικόλαος Νικολάου

Μέγεθος και υπόστρωμα: Σχολικό εγχειρίδιο, μαλακό εξώφυλλο, 192 σελίδες.

TopΠΕΔΙΟ ΠΕΡΙΕΧΟΜΕΝΟΥ

Βαθμίδα εκπαίδευσης: Δευτεροβάθμια

Τάξη: Η' Γυμνασίου

Μάθημα: Μαθηματικά

Γλώσσα: Καθαρεύουσα

Παρουσίαση περιεχομένου: Σχολικό εγχειρίδιο Τριγωνομετρίας της ΣΤ΄ Γυμνασίου. Το βιβλίο περιέχει ασκήσεις τριγωνομετρίας. Εισάγει τους μαθητές στα διαφορετικά είδη τριγώνων, τις ιδιότητες και τα χαρακτηριστικά τους καθώς και στον τρόπο υπολογισμού διαφόρων στοιχείων τους όπως το εμβαδόν και η περιφέρεια.

TopΠΕΔΙΟ ΠΛΗΡΟΦΟΡΙΩΝ ΕΚΔΟΣΗΣ

Εκδότης: Οργανισμός Εκδόσεως Διδακτικών Βιβλίων

Έτος έκδοσης: 1965

Τόπος έκδοσης: Αθήνα

Έκδοση:

Υπουργική απόφαση / Σύμβαση: 1265/23-3-1965

Έτος έγκρισης: 1965

TopΠΕΔΙΟ ΠΑΡΑΤΗΡΗΣΕΩΝ

Εντοπισμός πρωτοτύπου: Βιβλιοθήκη της Βουλής των Ελλήνων

Κωδικός βιβλιοθήκης: 20632564

TopΕΥΡΕΤΗΡΙΟ ΘΕΜΑΤΙΚΩΝ ΟΡΩΝ

Σχετιζόμενα πρόσωπα:

Σχετιζόμενοι όροι:


198 εγγραφές [161 - 180]
Σελίδα #159
Σελίδα #160
Σελίδα #161
Σελίδα #162
Σελίδα #163
Σελίδα #164
Σελίδα #165
Σελίδα #166
Σελίδα #167
Σελίδα #168
Σελίδα #169
Σελίδα #170
Σελίδα #171
Σελίδα #172
Σελίδα #173
Σελίδα #174
Σελίδα #175
Σελίδα #176
Σελίδα #177
Σελίδα #178
Σελίδα #179
Σελίδα #180
Σελίδα #181
Σελίδα #182
[Σχολικό Εγχειρίδιο]
Νικόλαος Δ. Νικολάου, Χρ. Στυλιανόπουλος (επιμέλεια)
Τάξη:  Η' Γυμνασίου
Μάθημα:  Μαθηματικά
Σχολικό εγχειρίδιο Τριγωνομετρίας για την Η' Γυμνασίου που περιλαμβάνει θεωρία και ασκήσεις.
[Σχολικό Εγχειρίδιο]
Νικόλαος Δ. Νικολάου
Τάξη:  Η' Γυμνασίου
Μάθημα:  Μαθηματικά
Σχολικό εγχειρίδιο Τριγωνομετρίας για την Η' Γυμνασίου που περιλαμβάνει θεωρία και ασκήσεις.
[Σχολικό Εγχειρίδιο]
Νικόλαος Δ. Νικολάου
Τάξη:  Η' Γυμνασίου
Μάθημα:  Μαθηματικά
Σχολικό εγχειρίδιο Τριγωνομετρίας για την Η' Γυμνασίου που περιλαμβάνει θεωρία και ασκήσεις.
[Σχολικό Εγχειρίδιο]
Νικόλαος Δ. Νικολάου
Τάξη:  Η' Γυμνασίου
Μάθημα:  Μαθηματικά
Σχολικό εγχειρίδιο Τριγωνομετρίας για την Η' Γυμνασίου που περιλαμβάνει θεωρία και ασκήσεις.
[Σχολικό Εγχειρίδιο]
Νικόλαος Νικολάου
Τάξη:  Η' Γυμνασίου
Σχολικό εγχειρίδιο Τριγωνομετρίας της Η' Γυμνασίου. Το βιβλίο περιέχει ασκήσεις τριγωνομετρίας. Εισάγει τους μαθητές στα διαφορετικά είδη τριγώνων, τις ιδιότητες και τα χαρακτηριστικά τους καθώς και στον τρόπο
[Σχολικό Εγχειρίδιο]
Νικόλαος Δ. Νικολάου
Τάξη:  Δ' Γυμνασίου
Μάθημα:  Μαθηματικά
Σχολικό εγχειρίδιο Τριγωνομετρίας για τη Δ΄ Γυμνασίου που περιλαμβάνει θεωρία και ασκήσεις.
[Σχολικό Εγχειρίδιο]
Νικόλαος Δ. Νικολάου, Ι. Αγγελής (επιμέλεια)
Τάξη:  ΣΤ' Γυμνασίου
Μάθημα:  Μαθηματικά
Σχολικό εγχειρίδιο Τριγωνομετρίας για την ΣΤ΄ Γυμνασίου που περιλαμβάνει θεωρία και ασκήσεις.
[Σχολικό Εγχειρίδιο]
Αλκ. Ε Μάζης
Τάξη:  Η' Γυμνασίου
Μάθημα:  Φυσική
Σχολικό εγχειρίδιο της Η' Γυμνασίου για το μάθημα της Φυσικής. Παρέχει βασικές γνώσεις της φυσικής επιστήμης. Αναλύει το φαινόμενο της οπτικής, του φωτός, της διάθλασης, της φωτομετρίας, καθώς και του ...
[Μαθητικό Βοήθημα]
Κουίντος Οράτιος Φλάκκος (Q. Horati Flacci), Γεώργιος Ν. Παπανικολάου (μετάφραση/σχόλια)
Τάξη:  Η' Γυμνασίου
Μάθημα:  Λατινικά
Σχετιζόμενοι όροι:  Carmina selecta
Μαθητικό βοήθημα Λατινικών για την Η΄ τάξη των Οκταταξίων Γυμνασίων που περιέχει κείμενο, μετάφραση, γραμματικά, σημασιολογικά και συντακτικά σχόλια, νόημα και περίληψη.
[Μαθητικό Βοήθημα]
Μάρκος Τύλλιος Κικέρωνας (M. Tullius Cicero), Γεώργιος Ν. Παπανικολάου (μετάφραση, σχόλια)
Τάξη:  Η' Γυμνασίου
Μάθημα:  Λατινικά
Σχετιζόμενοι όροι:  Ενύπνιος Σκιπιώνος
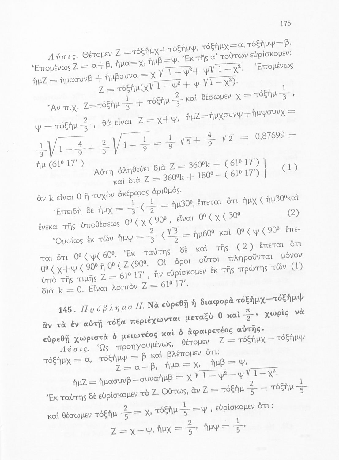
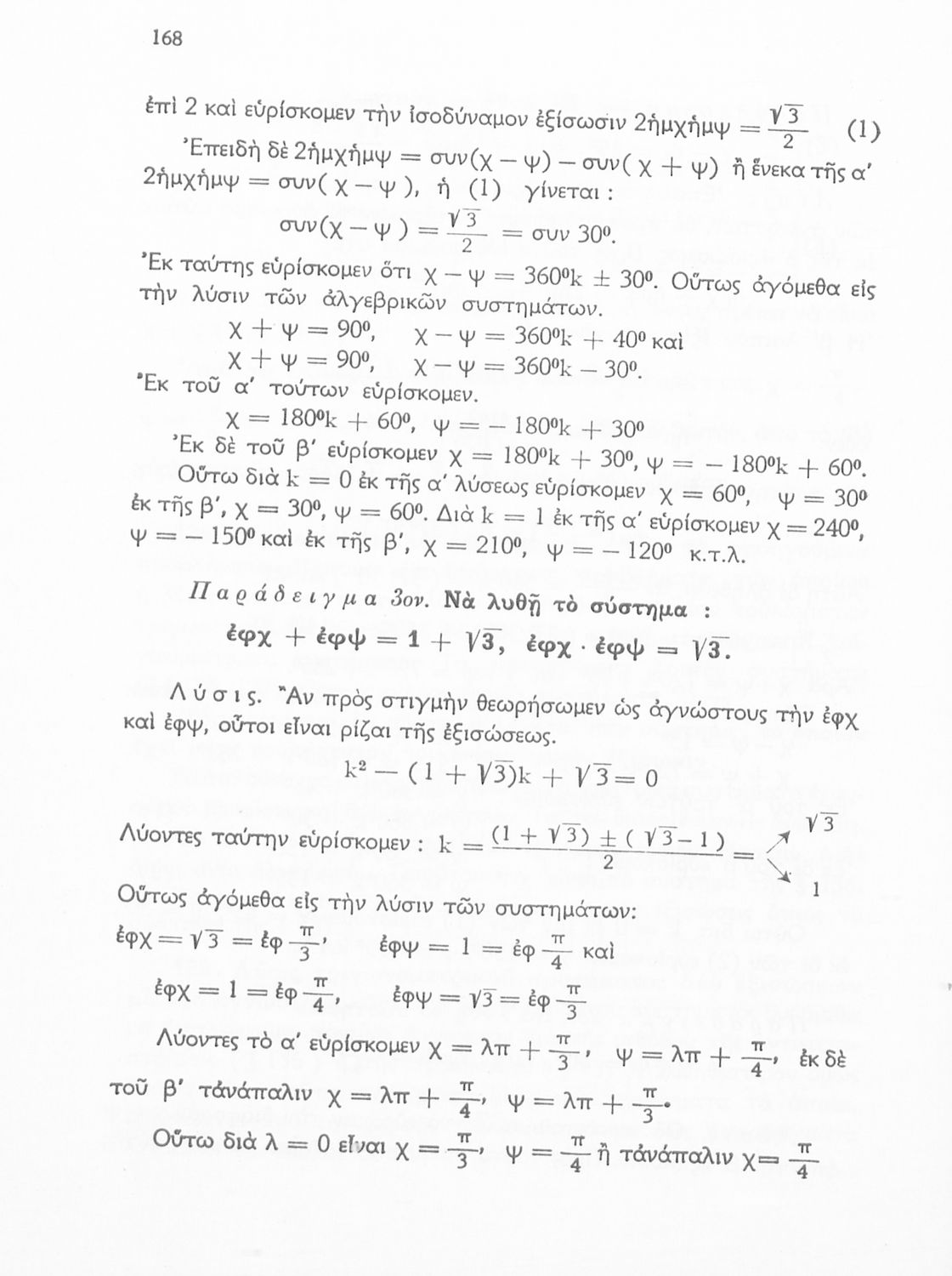
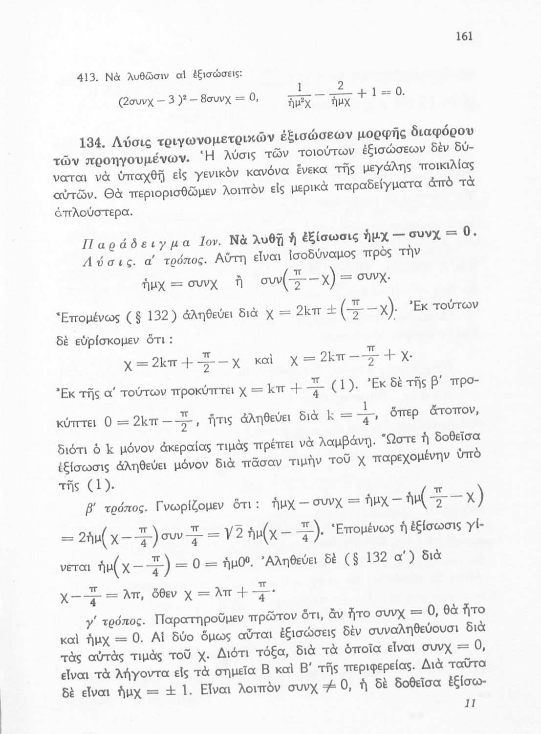
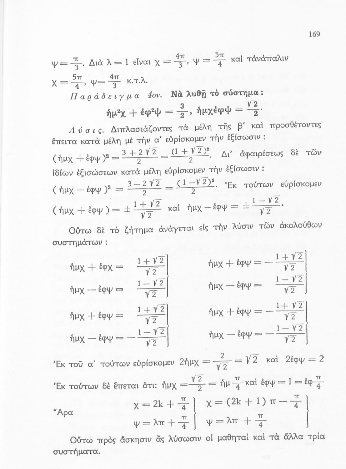
Μαθητικό βοήθημα Λατινικών για την Η΄ τάξη των Οκταταξίων Γυμνασίων που περιέχει κείμενο, μετάφραση, γραμματικά, σημασιολογικά και συντακτικά σχόλια, νόημα και περίληψη.